Magneto-Thermo-Elastic Theoretical Solution for Functionally Graded Thick-Walled Tube under Magnetic, Thermal and Mechanical Loads Based on Voigt Method
Abstract
:1. Introduction
2. Material Models and Properties
3. Magneto-Thermo-Elastic Theoretical Solution
4. Results and Discussion
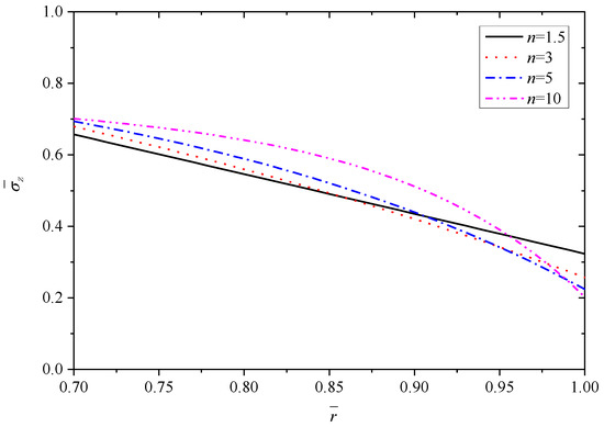
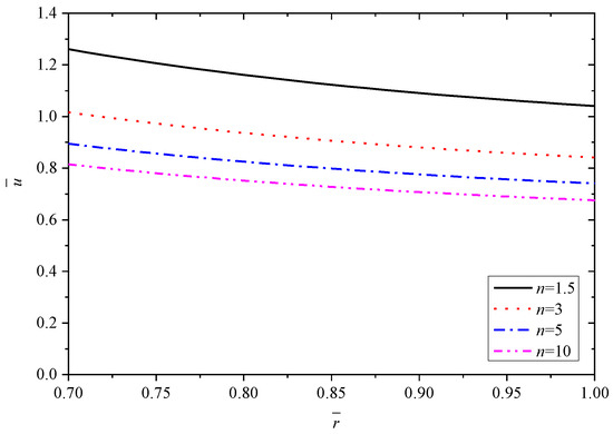
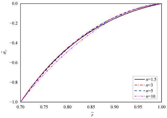
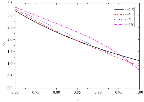
4.1. Effects of Parameter n
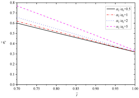
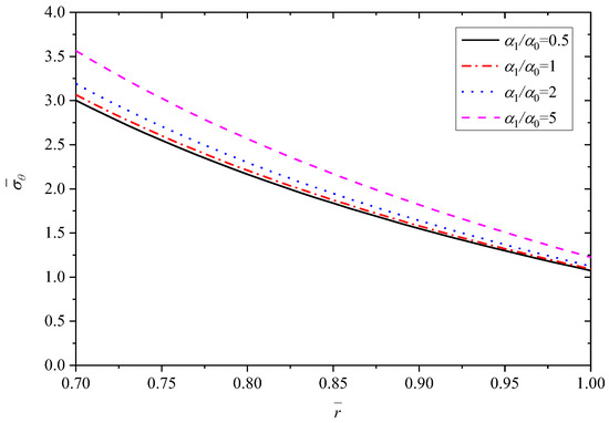
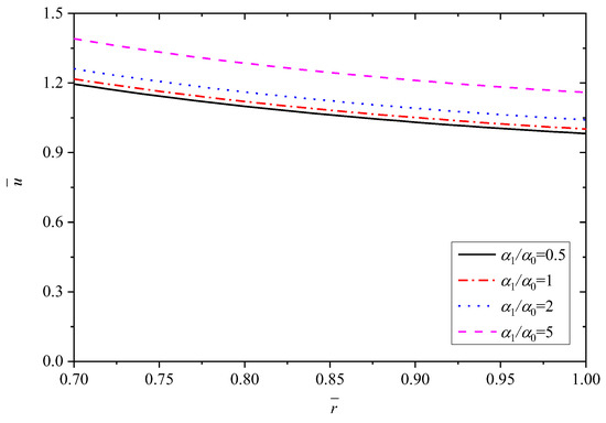
4.2. Effects of Thermal Expansion Coefficient
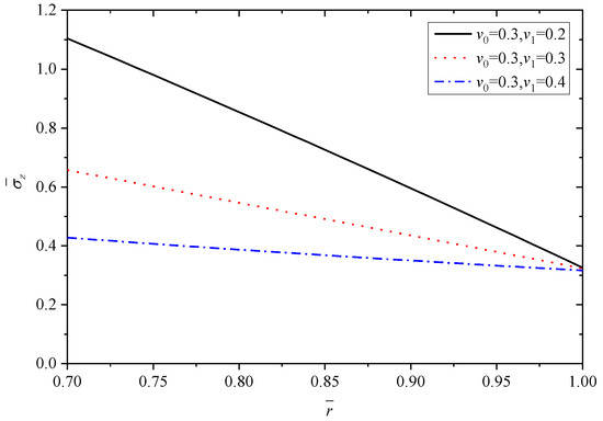
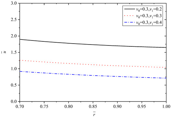
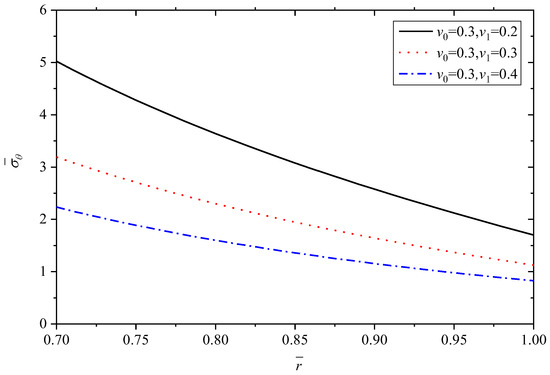
4.3. Effects of Poisson’s Ratio
4.4. Some Special Cases
5. Conclusions
Author Contributions
Funding
Institutional Review Board Statement
Informed Consent Statement
Data Availability Statement
Conflicts of Interest
References
- Khan, T.; Ning, Z.; Abdullah, A. State of the art review of functionally graded materials. In Proceedings of the 2nd International Conference on Computing, Mathematics and Engineering Technologies, Sukkur, Pakistan, 30–31 January 2019. [Google Scholar]
- Saleh, B.; Jiang, J.; Fathi, R.; Tareq, A.; Xu, Q.; Wang, L.; Song, D.; Ma, A. 30 years of functionally graded materials: An overview of manufacturing methods, applications and future challenges. Compos. Part B Eng. 2020, 201, 108376. [Google Scholar] [CrossRef]
- Pasha, A.; Rajaprakash, B.M. Functionally graded materials (FGM) fabrication and its potential challenges and applications. Mater. Today Proc. 2022, 52, 413–418. [Google Scholar] [CrossRef]
- Khanna, K.; Gupta, V.K.; Grover, N. Influence of anisotropy on creep in functionally graded variable thickness rotating disc. J. Strain Anal. Eng. Des. 2022, 57, 95–103. [Google Scholar] [CrossRef]
- Demirbas, M.D.; Ekici, R.; Apalak, M.K. Thermoelastic analysis of temperature-dependent functionally graded rectangular plates using finite element and finite difference methods. Mech. Adv. Mater. Struct. 2018, 27, 1–18. [Google Scholar] [CrossRef]
- Demirbas, M.D.; Apalak, M.K. Thermal Residual Stresses Analyses of Two-Dimensional Functionally Graded Circular Plates with Temperature-Dependent Material Properties. Int. J. Eng. Res. Dev. 2018, 10, 202–213. [Google Scholar]
- Neves, A.M.A.; Ferreira, A.J.M.; Carrera, E.; Cinefra, M.; Roque, C.M.C.; Jorge, R.M.N.; Soares, C.M.M. Static, free vibration and buckling analysis of isotropic and sandwich functionally graded plates using a quasi-3D higher-order shear deformation theory and a meshless technique. Compos. Part. B Eng. 2013, 44, 657–674. [Google Scholar] [CrossRef]
- Wang, Y.; Yang, C.; Zhang, Y.; Dong, S.; Li, L. Dynamics of a rotating hollow FGM beam in the temperature field. Rev. Adv. Mater. Sci. 2021, 60, 643–662. [Google Scholar] [CrossRef]
- Dorduncu, M.; Apalak, M.K.; Reddy, J.N. Stress wave propagation in adhesively bonded functionally graded cylinders: An improved model. J. Adhes. Sci. Technol. 2019, 33, 156–186. [Google Scholar] [CrossRef]
- Abd-El-Salam, M.R.; Abd-Alla, A.M.; Hosham, H.A. A numerical solution of magneto-thermoelastic problem in non-homogeneous isotropic cylinder by the finite-difference method. Appl. Math. Model. 2007, 31, 1662–1670. [Google Scholar] [CrossRef]
- Chi, L. Research on Vector Hysteresis Model of Electrical Steel Sheets under Coupling Effect of Magneto-Force-Thermal; Shenyang University of Technology: Shenyang, China, 2020. (In Chinese) [Google Scholar]
- Mukhopadhyay, S.B.; Roychoudhurj, S.K. Magneto-thermo-elastic interactions in an infinite isotropic elastic cylinder subjected to a periodic loading. Int. J. Eng. Sci. 1997, 35, 437–444. [Google Scholar] [CrossRef]
- Akbarzadeh, A.; Chen, Z. Thermo-Magneto-Electro-Elastic responses of rotating hollow cylinders. Mech. Adv. Mater. Struct. 2012, 21, 67–80. [Google Scholar] [CrossRef]
- Wu, D.; Yu, L.; Zhao, B.; Yang, L.; Gao, Y. The exact theory of axisymmetric electro-magneto-thermo-elastic circular cylinder. J. Intell. Mater. Syst. Struct. 2015, 26, 770–780. [Google Scholar] [CrossRef]
- Saidi, A.; Abouelregal, A. Thermoelastic Model with Higher-order Time-derivatives and Two Phase-lags for an Infinitely Long Cylinder under Initial Stress and Heat Source. J. Appl. Comput. Mech. 2021, 7, 277–291. [Google Scholar]
- Dai, H.; Fu, Y. Magnetothermoelastic interactions in hollow structures of functionally graded material subjected to mechanical loads. Int. J. Press. Vessel. Pip. 2007, 84, 132–138. [Google Scholar] [CrossRef]
- Arefi, M.; Rahimi, G.H.; Khoshgoftar, M.J. Exact solution of a thick walled functionally gradedpiezoelectric cylinder under mechanical, thermal andelectrical loads in the magnetic field. Smart Struct. Syst. 2012, 9, 427–439. [Google Scholar] [CrossRef]
- Heydari, E.; Hashemi, S.J.; Roknizadeh, S. Stress Analysis of Functionally Graded Cylindrical Shells under Magneto-Thermo-Elastic Loads. Am. J. Adv. Sci. Res. 2013, 2, 132–139. [Google Scholar]
- Loghman, A.; Parsa, H. Exact solution for magneto-thermo-elastic behaviour of double-walled cylinder made of an inner FGM and an outer homogeneous layer. Int. J. Mech. Sci. 2014, 88, 93–99. [Google Scholar] [CrossRef]
- Heydari, E.; Hashemi, S.J.; Roknizadeh, S.A. Magneto-Thermo-Electro-Elastic analysis of functionally graded intelligent cylindrical shells. Am. J. Adv. Sci. Res. 2014, 2, 140–147. [Google Scholar]
- Bayat, M.; Rahimi, M.; Saleem, M.; Mohazzab, A.H.; Wudtke, I.; Talebi, H. One-dimensional analysis for magneto-thermo-mechanical response in a functionally graded annular variable-thickness rotating disk. Appl. Math. Model. 2014, 38, 4625–4639. [Google Scholar] [CrossRef]
- Atrian, A.; Fesharaki, J.J.; Nourbakhsh, S.H. Thermo-electromechanical behavior of functionally graded piezoelectric hollow cylinder under non-axisymmetric loads. Appl. Math. Mech. 2015, 35, 939–954. [Google Scholar] [CrossRef]
- Dini, A.; Abolbashari, M.H. Hygro-thermo-electro-elastic response of a fun-ctionally graded piezoelectric cylinder resting on an elastic foundation subjected to non-axisymmetric loads. Int. J. Press. Vessel. Pip. 2016, 147, 21–40. [Google Scholar] [CrossRef]
- Mehditabar, A.; Rahimi, G.H.; Sadrabadi, S.A. Three-dimensional magne to-thermo-elastic analysis of functionally graded cylindrical shell. Appl. Math. Mech. 2017, 38, 479–494. [Google Scholar] [CrossRef]
- Bidgoli, M.O.; Loghman, A.; Arefi, M. Three-dimensional thermo-elastic analysis of a rotating cylindrical functionally graded shell subjected to mechanical and thermal loads based on the FSDT formulation. J. Appl. Mech. Tech. Phys. 2019, 60, 899–907. [Google Scholar] [CrossRef]
- Fesharaki, J.J.; Roghani, M. Thermo-mechanical behavior of a functionally graded hollow cylinder with an elliptic hole. Braz. Soc. Mech. Sci. 2020, 42, 66–81. [Google Scholar] [CrossRef]
- Saadatfar, M.; Aghaie-Khafri, M. Thermoelastic analysis of a rotating functionally graded cylindrical shell with functionally graded sensor and actuator layers on an elastic foundation placed in a constant magnetic field. J. Intell. Mater. Syst. Struct. 2016, 27, 512–527. [Google Scholar] [CrossRef]
- Dini, A.; Nematollahi, M.A.; Hosseini, M. Analytical solution for magne-to-thermo-elastic responses of an annular functionally graded sandwich disk by considering internal heat generation and convective boundary condition. J. Sandw. Struct. Mater. 2021, 23, 542–567. [Google Scholar] [CrossRef]
- Alavi, F.; Karimi, D.; Bagri, A. An investigation on thermoelastic behaviour of functionally graded thick spherical vessels under combined thermal and mechanical loads. J. Achiev. Mater. Manuf. Eng. 2008, 31, 422–428. [Google Scholar]
- Nie, G.; Zhong, Z.; Batra, R.C. Material tailoring for functionally graded hollow cylinders and spheres. Compos. Sci. Technol. 2011, 71, 666–673. [Google Scholar] [CrossRef]
- Li, X.; Peng, X. A pressurized functionally graded hollow cylinder with arbitrarily varying material properties. J. Elast. 2009, 96, 81–95. [Google Scholar] [CrossRef]
- Xin, L.; Dui, G.; Yang, S.; Zhou, D. Solutions for behavior of a functionally graded thick-walled tube subjected to mechanical and thermal loads. Int. J. Mech. Sci. 2015, 98, 70–79. [Google Scholar] [CrossRef]
- Xin, L.; Li, Y.; Pan, D.; Dui, G.; Ju, C. Revisiting the elastic solution for an inner-pressured functionally graded thick-walled tube within a uniform magnetic field. Appl. Math. Mech. 2018, 39, 1485–1498. [Google Scholar] [CrossRef]
- Xin, L.; Dui, G.; Yang, S.; Zhang, J. An elasticity solution for functionally graded thick-walled tube subjected to internal pressure. Int. J. Mech. Sci. 2014, 89, 344–349. [Google Scholar] [CrossRef]

















| Research Contents | Assumptions |
|---|---|
| response under mechanical loads | elastic modulus, Poisson’s ratio |
| response under thermal loads | thermal expansion coefficient, thermal conductivity |
| response within magnetic fields | magnetic permeability |
| n | 1.5 | 3 | 5 | 10 | |
|---|---|---|---|---|---|
| 1.2608 | 1.0163 | 0.8946 | 0.8150 | ||
| 1.0410 | 0.8407 | 0.7409 | 0.6756 | ||
| −1 | −1 | −1 | −1 | ||
| 0 | 0 | 0 | 0 | ||
| 3.1908 | 3.2635 | 3.3125 | 3.3376 | ||
| 1.1239 | 0.9039 | 0.7942 | 0.7225 | ||
| 0.6572 | 0.6790 | 0.6937 | 0.7012 | ||
| 0.3231 | 0.2571 | 0.2242 | 0.2027 | ||
| −0.6229 | −0.5086 | −0.4514 | −0.4129 | ||
| −0.6287 | −0.5064 | −0.4494 | −0.4121 | ||
| 0.5 | 1 | 2 | 5 | ||
|---|---|---|---|---|---|
| 1.1956 | 1.2173 | 1.2608 | 1.3910 | ||
| 0.9818 | 1.0015 | 1.0410 | 1.1593 | ||
| −1 | −1 | −1 | −1 | ||
| 0 | 0 | 0 | 0 | ||
| 3.0039 | 3.0662 | 3.1908 | 3.5647 | ||
| 1.0739 | 1.0906 | 1.1239 | 1.2239 | ||
| 0.6011 | 0.6198 | 0.6572 | 0.7694 | ||
| 0.3187 | 0.3202 | 0.3231 | 0.3321 | ||
| −0.5698 | −0.5875 | −0.6229 | −0.7293 | ||
| −0.5675 | −0.5853 | −0.6208 | −0.7274 | ||
| 0.2 | 0.3 | 0.4 | ||
|---|---|---|---|---|
| 1.8983 | 1.2608 | 0.9198 | ||
| 1.6490 | 1.0410 | 0.7133 | ||
| −1 | −1 | −1 | ||
| 0 | 0 | 0 | ||
| 5.0206 | 3.1908 | 2.2340 | ||
| 1.7002 | 1.1239 | 0.8259 | ||
| 1.1041 | 0.6572 | 0.4278 | ||
| 0.3260 | 0.3231 | 0.3163 | ||
| −1.2549 | −0.6229 | −0.2753 | ||
| −1.2577 | −0.6208 | −0.2704 | ||
| Case/Refer | Parameters | Load Conditions |
|---|---|---|
| 1/[32] | Pa = 1 GPa, Pb = 0 GPa, Ta = 0 °C, Tb = 100 °C, Hz = 0 A/m | mechanical and thermal loads |
| 2/[33] | Pa = 1 GPa, Pb = 0 GPa, Ta = 0 °C, Tb = 0 °C, Hz = 2.23 × 109 A/m | mechanical load and magnetic field |
| 3/[34] | Pa = 1 GPa, Pb = 0 GPa, Ta = 0 °C, Tb = 0 °C, Hz = 0 A/m | mechanical load |
| Locations | Case | Theoretical Reference | |||||
|---|---|---|---|---|---|---|---|
| Case 1 | This paper | 1.3861 | −1.0000 | 3.5505 | 0.7652 | 0 | |
| [32] | |||||||
| This paper | 1.2364 | −0.3321 | 2.1348 | 0.5317 | 0 | ||
| [32] | |||||||
| This paper | 1.1423 | −0.0350 | 1.2202 | 0.3416 | 0 | ||
| [32] | |||||||
| Case 2 | This paper | 1.1740 | −1.0000 | 2.9417 | 0.5825 | −0.5521 | |
| [33] | |||||||
| This paper | 1.0422 | −0.2898 | 1.8061 | 0.4549 | −0.5504 | ||
| [33] | |||||||
| This paper | 0.9622 | 0.0000 | 1.0573 | 0.3172 | −0.5498 | ||
| [33] | |||||||
| Case 3 | This paper | 1.4399 | −1.0000 | 3.7051 | 0.8115 | 0 | |
| [34] | |||||||
| This paper | 1.2860 | −0.3085 | 2.2498 | 0.5824 | 0 | ||
| [34] | |||||||
| This paper | 1.1886 | 0.0000 | 1.3061 | 0.3918 | 0 | ||
| [34] |
Publisher’s Note: MDPI stays neutral with regard to jurisdictional claims in published maps and institutional affiliations. |
© 2022 by the authors. Licensee MDPI, Basel, Switzerland. This article is an open access article distributed under the terms and conditions of the Creative Commons Attribution (CC BY) license (https://creativecommons.org/licenses/by/4.0/).
Share and Cite
Li, T.; Li, J.; Liu, X.; Luo, Y. Magneto-Thermo-Elastic Theoretical Solution for Functionally Graded Thick-Walled Tube under Magnetic, Thermal and Mechanical Loads Based on Voigt Method. Materials 2022, 15, 6345. https://doi.org/10.3390/ma15186345
Li T, Li J, Liu X, Luo Y. Magneto-Thermo-Elastic Theoretical Solution for Functionally Graded Thick-Walled Tube under Magnetic, Thermal and Mechanical Loads Based on Voigt Method. Materials. 2022; 15(18):6345. https://doi.org/10.3390/ma15186345
Chicago/Turabian StyleLi, Tiane, Jiabao Li, Xuekang Liu, and Yaozhi Luo. 2022. "Magneto-Thermo-Elastic Theoretical Solution for Functionally Graded Thick-Walled Tube under Magnetic, Thermal and Mechanical Loads Based on Voigt Method" Materials 15, no. 18: 6345. https://doi.org/10.3390/ma15186345
APA StyleLi, T., Li, J., Liu, X., & Luo, Y. (2022). Magneto-Thermo-Elastic Theoretical Solution for Functionally Graded Thick-Walled Tube under Magnetic, Thermal and Mechanical Loads Based on Voigt Method. Materials, 15(18), 6345. https://doi.org/10.3390/ma15186345
