Experimental and Numerical Analyses of Stud Shear Connectors in Steel–SFRCC Composite Beams
Abstract
:1. Introduction
2. Experimental Program
2.1. Specimens Design
2.2. Specimen Fabrication
2.3. Measurement of Material Properties
2.4. Test Setup
3. Experimental Results
3.1. Failure Mode
3.2. Load-Slip Relationship
3.3. Shear Stiffness
3.4. Stud Strain
4. FE Analysis
4.1. FE Model
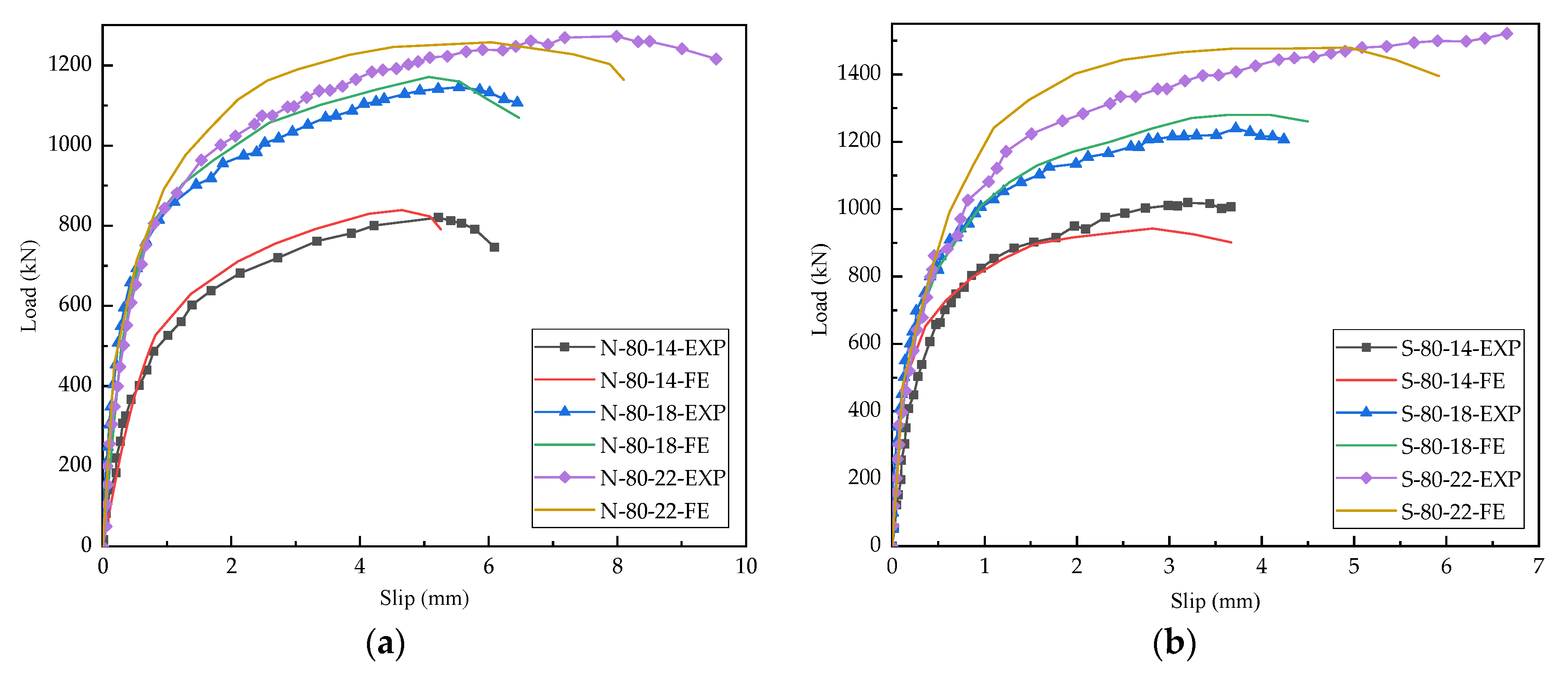
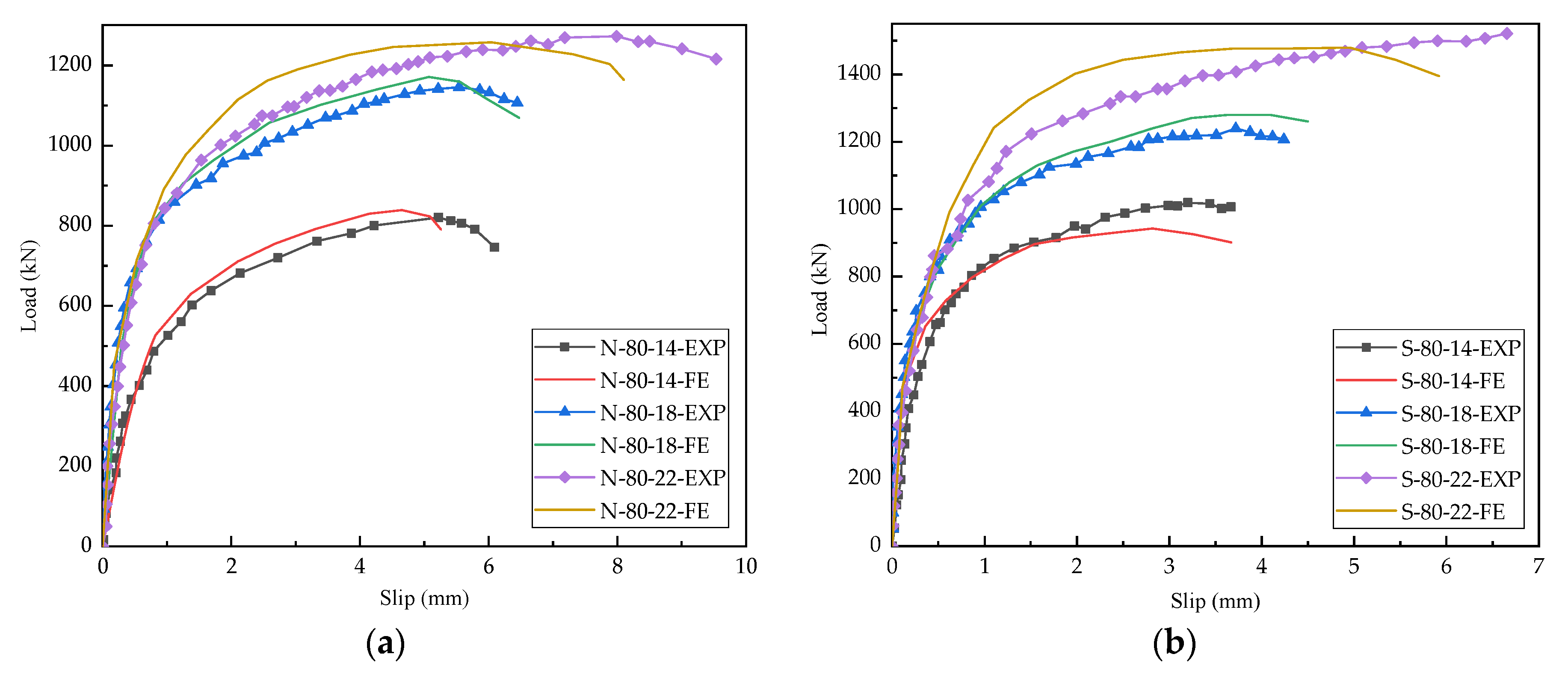
4.2. Validation of FE Model
4.3. Influences of Different Parameters
5. Theoretical Analysis
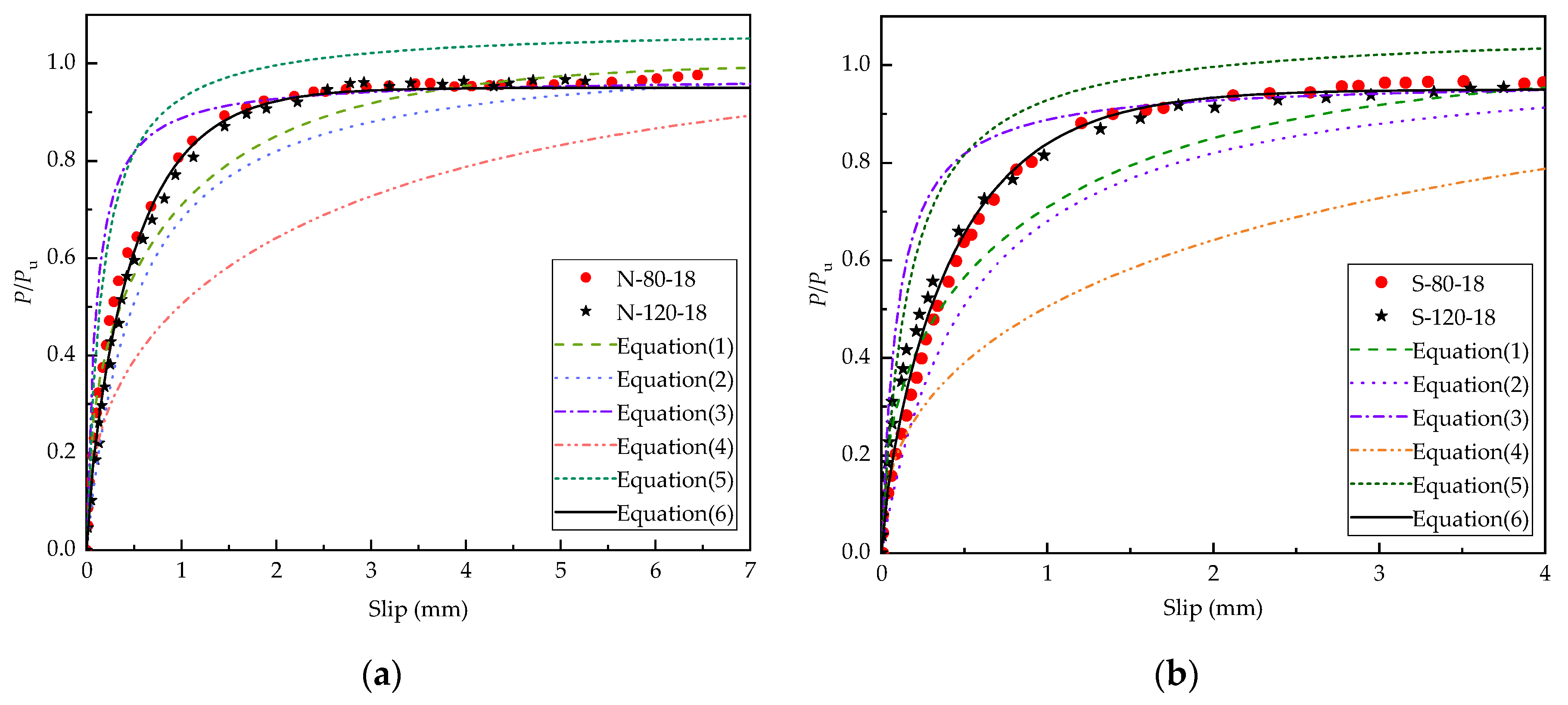
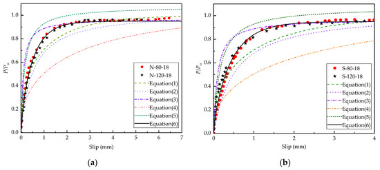
5.1. Load-Slip Curve
5.2. Shear Resistance
6. Conclusions
Author Contributions
Funding
Institutional Review Board Statement
Informed Consent Statement
Data Availability Statement
Acknowledgments
Conflicts of Interest
References
- Nethercot, D.A. Composite steel and concrete structural members: Fundamental behaviour. Eng. Struct. 1996, 18, 886. [Google Scholar] [CrossRef]
- Lowe, D.L.; Roy, K.; Das, R.; Clifton, C.G.; Lim, J.B.P. Full scale experiments on splitting behaviour of concrete slabs in steel concrete composite beams with shear stud connection. Structures 2020, 23, 126–138. [Google Scholar] [CrossRef]
- Nie, J.G.; Cai, C.S. Steel–concrete composite beams considering shear slip effects. J. Struct. Eng. 2003, 129, 495–506. [Google Scholar] [CrossRef] [Green Version]
- Pavlovic, M.; Markovic, Z.; Veljkovic, M.; Budevac, D. Bolted shear connectors vs. headed studs behaviour in push-out tests. J. Constr. Steel Res. 2013, 88, 134–149. [Google Scholar] [CrossRef]
- Han, Q.H.; Wang, Y.H.; Xu, J.; Xing, Y. Static behavior of stud shear connectors in elastic concrete–steel composite beams. J. Constr. Steel Res. 2015, 113, 115–126. [Google Scholar] [CrossRef]
- Qi, J.N.; Hu, Y.Q.; Wang, J.Q.; Li, W.C. Behavior and strength of headed stud shear connectors in ultra-high performance concrete of composite bridges. Front. Struct. Civ. Eng. 2019, 13, 1138–1149. [Google Scholar] [CrossRef]
- Wu, F.W.; Tang, W.L. Experimental investigation on the static performance of stud connectors in steel-HSFRC composite beams. Materials 2021, 14, 2744. [Google Scholar] [CrossRef]
- Tong, L.W.; Liu, Y.; Sun, B.; Chen, Y.Y.; Zhou, F.; Tian, H.; Sun, X.D. Experimental investigation on mechanical behavior of steel-concrete composite beams under negative bending. J. Build. Struct. 2014, 35, 1–9. [Google Scholar]
- Fan, J.S.; Nie, J.G. Effects of slips on load-carrying capacity of composite beams under negative bending. Eng. Mech. 2005, 22, 177–182. [Google Scholar]
- Song, J.D.; Duy, L.N.; Manathamsombat, C.; Kim, D.J. Effect of fiber volume content on electromechanical behavior of strain-hardening steel-fiber-reinforced cementitious composites. J. Compos. Mater. 2015, 49, 3621–3634. [Google Scholar] [CrossRef]
- Xu, C.; Su, Q.T.; Masuya, H. Static and fatigue performance of stud shear connector in steel fiber reinforced concrete. Steel Compos. Struct. 2017, 24, 467–479. [Google Scholar]
- He, Y.L.; Wu, X.D.; Xiang, Y.Q.; Wang, Y.H.; Liu, L.S.; He, Z.H. Mechanical behavior of stud shear connectors embedded in HFRC. Steel Compos. Struct. 2017, 24, 177–189. [Google Scholar]
- Fuseini, M.; Zaghloul, M.M.Y.; Elkady, M.F.; El-Shazly, A.H. Evaluation of synthesized polyaniline nanofibres as corrosion protection film coating on copper substrate by electrophoretic deposition. J. Mater. Sci. 2022, 57, 6085–6101. [Google Scholar] [CrossRef]
- Buttry, K.E. Behaviour of Stud Shear Connectors in Lightweight and Normal-Weight Concrete. Ph.D. Thesis, University of Missouri-Columbia, Columbia, MI, USA, 1965. [Google Scholar]
- Ding, F.X.; Yin, G.A.; Wang, H.B.; Wang, L.P.; Guo, Q. Static behavior of stud connectors in bi-direction push-off tests. Thin-Wall. Struct. 2017, 120, 307–318. [Google Scholar] [CrossRef]
- Xue, W.C.; Ding, M.; Wang, H.; Luo, Z.W. Static behavior and theoretical model of stud shear connectors. J. Bridge Eng. 2010, 15, 346–348. [Google Scholar] [CrossRef]
- Lee, P.; Shim, C.; Chang, S. Static and fatigue behavior of large stud shear connectors for steel–concrete composite bridges. J. Constr. Steel Res. 2005, 61, 1270–1285. [Google Scholar] [CrossRef]
- Shen, M.H.; Chung, K.F. Structural behaviour of stud shear connections with solid and composite slabs under co-existing shear and tension forces. Structures 2017, 9, 79–90. [Google Scholar] [CrossRef]
- Tong, L.W.; Chen, L.H.; Wen, M.; Xu, C. Static behavior of stud shear connectors in high-strength-steel–UHPC composite beams. Eng. Struct. 2020, 218, 110827. [Google Scholar] [CrossRef]
- Liu, Y.M.; Zhang, Q.H.; Bao, Y.; Bu, Y.Z. Static and fatigue push-out tests of short headed shear studs embedded in engineered cementitious composites (ECC). Eng. Struct. 2019, 182, 29–38. [Google Scholar] [CrossRef]
- Wang, J.Y.; Guo, J.Y.; Jia, L.J.; Chen, S.M.; Dong, Y. Push-out tests of demountable headed stud shear connectors in steel-UHPC composite structures. Compos. Struct. 2017, 170, 69–79. [Google Scholar] [CrossRef]
- Zhu, L.; Wang, J.J.; Li, X.; Tang, L.; Yu, B.Y. Experimental and numerical study of curved SFRC and ECC composite beams with various connectors. Thin-Wall. Struct. 2020, 155, 106938. [Google Scholar] [CrossRef]
- Guan, Y.H.; Wu, J.J.; Sun, R.J.; Ge, Z.; Bi, Y.F.; Zhu, D.Y. Shear behavior of short headed studs in steel-ECC composite structure. Eng. Struct. 2022, 250, 113423. [Google Scholar] [CrossRef]
- Wang, J.Q.; Qi, J.N.; Tong, T.; Xu, Q.Z.; Xiu, H.L. Static behavior of large stud shear connectors in steel-UHPC composite structures. Eng. Struct. 2019, 178, 534–542. [Google Scholar] [CrossRef]
- Huang, Y.; Chen, S.M.; Gu, P. Static and fatigue behavior of shear stud connection embedded in UHPC. Structures 2021, 34, 2777–2788. [Google Scholar] [CrossRef]
- Hossain, K.M.A.; Alam, S.; Anwar, M.S.; Julkarnine, K.M.Y. High performance composite slabs with profiled steel deck and engineered cementitious composite—Strength and shear bond characteristics. Constr. Build. Mater. 2016, 125, 227–240. [Google Scholar] [CrossRef]
- Shao, X.D.; Deng, L.; Cao, J.H. Innovative steel-UHPC composite bridge girders for long-span bridges. Front. Struct. Civ. Eng. 2019, 13, 981–989. [Google Scholar] [CrossRef]
- Zaghloul, M.M.Y.; Mohamed, Y.S.; El-Gamal, H. Fatigue and tensile behaviors of fiber-reinforced thermosetting composites embedded with nanoparticles. J. Compos. Mater. 2019, 53, 709–718. [Google Scholar] [CrossRef]
- Zaghloul, M.M.Y.M. Mechanical properties of linear low-density polyethylene fire-retarded with melamine polyphosphate. J. Appl. Polym. Sci. 2018, 135, 46770. [Google Scholar] [CrossRef]
- Liao, W.; Perceka, W.; Liu, E. Compressive Stress-Strain Relationship of High Strength Steel Fiber Reinforced Concrete. J. Adv. Concr. Technol. 2015, 13, 379–392. [Google Scholar] [CrossRef] [Green Version]
- Perceka, W.; Liao, W.; Wu, Y. Shear Strength Prediction Equations and Experimental Study of High Strength Steel Fiber-Reinforced Concrete Beams with Different Shear Span-to-Depth Ratios. Appl. Sci. 2019, 9, 4790. [Google Scholar] [CrossRef] [Green Version]
- Wu, K.R.; Li, S.J. Mechanical behaviors of hybrid steel fiber reinforced cementitious composites. J. Tongji Univ. 2006, 34, 1075–1078. [Google Scholar]
- Yang, H.X.; Li, J.; Huang, Y.S. Study on the mechanical properties of high performance hybrid fiber reinforced cementitious composite (HFRCC) under impact loading. Key Eng. Mater. 2015, 629–630, 79–84. [Google Scholar] [CrossRef]
- CECS 13: 2009; Standard Test Methods for Fiber Reinforced Concrete. China Association for Engineering Construction Standardization: Beijing, China, 2009. (In Chinese)
- Langarudi, P.A.; Ebrahimnejad, M. Numerical study of the behavior of bolted shear connectors in composite slabs with steel deck. Structures 2020, 26, 501–515. [Google Scholar] [CrossRef]
- Ye, H.W.; Huang, R.; Tang, S.Q.; Zhou, Y.; Liu, J.L. Determination of shear stiffness for headed-stud shear connectors using energy balance approach. Steel Compos. Struct. 2022, 42, 477–487. [Google Scholar]
- Qi, J.N.; Wang, J.Q.; Li, M.; Chen, L.L. Shear capacity of stud shear connectors with initial damage: Experiment, fem model and theoretical formulation. Steel Compos. Struct. 2017, 25, 79–92. [Google Scholar]
- Huo, J.S.; Wang, H.T.; Li, L.; Liu, Y.Z. Experimental study on impact behaviour of stud shear connectors in composite beams with profiled steel sheeting. J. Constr. Steel Res. 2019, 161, 436–449. [Google Scholar] [CrossRef]
- Ollgaard, J.G.; Sluttter, R.G.; Fisher, J.W. Shear strength of stud connectors in lightweight and normal-weight concrete. AISC Eng. J. 1971, 8, 55–64. [Google Scholar]
- Zhang, Y.J.; Liu, A.; Chen, B.C.; Zhang, J.P.; Pi, Y.; Bradford, M.A. Experimental and numerical study of shear connection in composite beams of steel and steel-fibre reinforced concrete. Eng. Struct. 2020, 215, 110707. [Google Scholar] [CrossRef]
- EN 1994-1-1; Eurocode4: Design of Composite Steel and Concrete Structures. CEN-European Committee for Standardization: Brussels, Belgium, 2004.
- AASHTO LRFDUS-2017; AASHTO LRFD Bridge Design Specifications, 8th ed. American Association of State Highway and Transportation Officials: Washington, DC, USA, 2017.
- GB 50017-2017; Standard for Design of Steel Structures. Ministry of Housing and Urban-Rural Development of the People’s of China: Beijing, China, 2017. (In Chinese)
- Wang, J.F.; Zhang, A.P.; Wang, W.H. Effects of stud height on shear behavior of stud connectors. J. Zhejiang Univ. 2020, 54, 2076–2084. [Google Scholar]















| Component | Mix Quantity (kg/m3) | |
|---|---|---|
| NC | SFRCC | |
| Cement P.O 52.5 | 453 | 669 |
| Water | 174 | 182 |
| Broken stone 5~20 mm | 1109 | 987 |
| Sand 0~5 mm | 597 | 524 |
| Superplasticizer | 4.23 | 6.98 |
| Silica fume | - | 80 |
| Steel fiber (%) | - | 148 (2%) |
| Fiber Type | L (mm) | D (mm) | L/D | Tensile Strength (MPa) | Elastic Modulus (GPa) | Density (kg/m3) |
|---|---|---|---|---|---|---|
| Hooked end steel fiber | 16 | 0.2 | 80 | 2840 | 200 | 7800 |
| Concrete | Compressive Strength (MPa) | Tensile Strength (MPa) | Elastic Modulus (GPa) | Poisson’s Ratio |
|---|---|---|---|---|
| NC | 51.2 | 1.83 | 36.5 | 0.2 |
| SFRCC | 115.4 | 17.6 | 45.3 | 0.2 |
| Material | Elastic Modulus (GPa) | Yield Strength (MPa) | Tensile Strength (MPa) | Poisson’s Ratio |
|---|---|---|---|---|
| Q345 | 206 | 349 | 468 | 0.3 |
| HRB400 | 200 | 400 | 570 | 0.3 |
| Studs of 16 mm | 206 | 380 | 530 | 0.3 |
| Studs of 19 mm | 206 | 380 | 540 | 0.3 |
| Studs of 22 mm | 206 | 380 | 550 | 0.3 |
| Specimens | Pmax (kN) | Pu (kN) | Su (mm) | Load0.2 (kN) | k0.2 (kN/mm) | Load2 (kN) | k2 (kN/mm) |
|---|---|---|---|---|---|---|---|
| N-80-14 | 820.24 | 102.53 | 6.16 | 22.93 | 114.64 | 85.07 | 42.54 |
| N-80-18 | 1152.48 | 144.06 | 6.45 | 56.67 | 283.36 | 122.39 | 61.20 |
| N-80-22 | 1272.46 | 159.06 | 9.24 | 47.40 | 236.98 | 127.91 | 63.96 |
| N-120-14 | 824.85 | 103.11 | 5.87 | 47.64 | 238.18 | 89.50 | 44.75 |
| N-120-18 | 1183.63 | 147.95 | 5.26 | 65.52 | 327.59 | 127.67 | 63.84 |
| N-120-22 | 1272.86 | 159.11 | 6.79 | 65.13 | 325.65 | 141.75 | 70.88 |
| S-80-14 | 1018.66 | 127.33 | 3.67 | 53.55 | 267.74 | 118.68 | 59.34 |
| S-80-18 | 1239.01 | 154.88 | 4.24 | 75.13 | 375.66 | 141.75 | 70.88 |
| S-80-22 | 1520.93 | 190.12 | 6.66 | 72.45 | 362.26 | 160.41 | 80.21 |
| S-120-14 | 1023.54 | 127.94 | 4.69 | 62.01 | 310.04 | 117.29 | 58.65 |
| S-120-18 | 1349.36 | 168.67 | 3.75 | 75.42 | 377.09 | 156.31 | 78.16 |
| S-120-22 | 1493.69 | 186.71 | 7.07 | 86.67 | 433.34 | 175.64 | 87.82 |
| Expansion Angle | Eccentricity | K | Viscosity Coefficient | |
|---|---|---|---|---|
| 38 | 0.1 | 1.16 | 0.6667 | 0.0005 |
Publisher’s Note: MDPI stays neutral with regard to jurisdictional claims in published maps and institutional affiliations. |
© 2022 by the authors. Licensee MDPI, Basel, Switzerland. This article is an open access article distributed under the terms and conditions of the Creative Commons Attribution (CC BY) license (https://creativecommons.org/licenses/by/4.0/).
Share and Cite
Peng, K.; Liu, L.; Wu, F.; Wang, R.; Lei, S.; Zhang, X. Experimental and Numerical Analyses of Stud Shear Connectors in Steel–SFRCC Composite Beams. Materials 2022, 15, 4665. https://doi.org/10.3390/ma15134665
Peng K, Liu L, Wu F, Wang R, Lei S, Zhang X. Experimental and Numerical Analyses of Stud Shear Connectors in Steel–SFRCC Composite Beams. Materials. 2022; 15(13):4665. https://doi.org/10.3390/ma15134665
Chicago/Turabian StylePeng, Kai, Laijun Liu, Fangwen Wu, Ruizheng Wang, Song Lei, and Xiaoyu Zhang. 2022. "Experimental and Numerical Analyses of Stud Shear Connectors in Steel–SFRCC Composite Beams" Materials 15, no. 13: 4665. https://doi.org/10.3390/ma15134665
APA StylePeng, K., Liu, L., Wu, F., Wang, R., Lei, S., & Zhang, X. (2022). Experimental and Numerical Analyses of Stud Shear Connectors in Steel–SFRCC Composite Beams. Materials, 15(13), 4665. https://doi.org/10.3390/ma15134665
