Mechanism of Bonding Reactive Dyes with Copolymer (chloromethyl)oxirane-1H-imidazole cationised Cellulose
Abstract
:1. Introduction
2. Materials and Methods
2.1. Materials
2.2. Characteristics of [IME]+Cl−
2.3. Cationisation of Cellulose with [IME]+Cl−
2.4. Eco-Friendly Dyeing of [Cell-O-IME]+Cl−
2.5. Characterisation Methods
2.5.1. Nitrogen Content
- —mL of hydrochloric acid used for titration;
- c—concentration of hydrochloric acid 0.1 M [mol/L];
- m—weight of the sample for analysis [g];
- 14—atomic mass for Nitrogen.
2.5.2. Specific Charge Measurement
- 0—mL of polyelectrolyte PES-Na for titration of 10 mL polyelectrolyte poly-DADMAC (blind test);
- 1—mL of polyelectrolyte PES-Na for titration of 10 mL of filtrate after treatment;
- c—polyelectrolyte concentration of poly-DADMAC;
- c—mL of polyelectrolyte poly-DADMAC used for treatment;
- a—mL of filtrate used for titration;
- m—test sample weight [g].
2.5.3. Cationicity
- —mL of polyelectrolyte PES-Na for titration of 10 mL of [IME]+Cl− solution;
- C—concentration of poly-DADMAC polyelectrolyte (eq/L);
- —mL of the [IME]+Cl− solution used for titration;
- m—test sample weight [g].
2.5.4. Reactivity
- —mL of hydrochloric acid used for titration blind sample of 0.1 N NaOH;
- —mL of hydrochloric acid used for titration analysed sample;
- —test sample weight [g].
2.5.5. Copolymerisation Degree and Macromolecular Weight of [IME]+Cl−
- —reactivity of [IME]+Cl−;
- —copolymerisation degree of [IME]+Cl−;
- 0.5 N—number of imidazole molecules in 1 g [IME]+Cl−;
- —weight of 1 macromolecule [IME]+Cl−;
- 160.6—molecular weight of 1 mer of copolymer macromolecule [IME]+Cl−.
2.6. Characterisation of Reaction between Reactive Dye and Modification Agent
2.7. Resistancy for DMF Extraction of Dyed Cationised Cellulose
2.8. FT-IR Analysis
2.9. Density Electron Calculations
3. Results and Discussion
3.1. Characterisation of Copolymer [IME]+Cl−
3.2. Characterisation of [Cell-O-IME]+Cl−
- where:
- ΔN—difference in nitrogen content between cationised and uncationised samples,
- —difference in specific surface charge between cationised and uncationised samples.
3.3. Characterisation of [Cell-O-IME]+Cl− Dyeing
3.4. Evaluation and Confirmation of the Type of Binding between the Reactive Dye and Cationised Cellulose
3.4.1. Resistance of Dyed [Cell-O-IME]+Cl− for Extraction with DMF
3.4.2. Reaction between Reactive Dyes and Modification Agent
3.4.3. Density Electron Calculations
3.4.4. Mixed Dyeing of [Cell-O-IME]+Cl− with Reactive and Acid Dyes
4. Conclusions
Author Contributions
Funding
Institutional Review Board Statement
Informed Consent Statement
Data Availability Statement
Conflicts of Interest
Abbreviations
| AB 62 | Nylanthrene Brilliant Blue 2RFF (Acid Blue 62) |
| Cell-OH | cellulose |
| [CHPTA]+Cl− | 3-chloro-2-hydroxymethyltrimethylammonium chloride (CHPTAC) |
| [Cell-O-IME]+Cl− | cellulose cationised with copolymer (chloromethyl)oxirane-1H-imidazole |
| DMF | N,N-dimethylformamide |
| DMSO | dimethyl sulfoxide |
| Glu | glucopiranose ring |
| [IME]+Cl−) | copolymer (chloromethyl)oxirane-1H-imidazole |
| Kayacelon React | brand name monochlorotriazine type of reactive dyes with nicotinic group |
| LR | liquor ratio |
| MCT | monochlorotriazine type of reactive dyes |
| owf | on weight fibre |
| PhSO3H | benzenesulfonic acid |
| PES-Na | polystyrene sulfonic acid natrium salt |
| poly-DADMAC | polydiallyldimethylammonium chloride |
| Poly(St-BA-VBT) | poly(styrene-butyl acrylate-vinylbenzyl trimethylammonium chloride) |
| RB 19 | Remazol Brilliant Blue R (Reactive Blue 19) |
| RB 160 | Kalpactive Blue HE-BR (Reactive Blue 160) |
| RR 24:1 | Helaktyn Red D-BN (Reactive Red 24:1) |
| RR 221 | Papizolon Red HT-3BN (Reactive Red 221) |
| RR 274 | Eriofast Red 2B (Reactive Red 274) |
| TLC | thin layer chromatography |
| VS | vinylosulfone type of reactive dyes |
References
- Farrell, M.J.; Ormond, R.B.; Gabler, W.J. Quantitative analysis of trimethylamine in cotton fabrics cationised with 3-chloro-2-hydroxypropyltrimethylammonium chloride. Cellulose 2015, 22, 3435–3439. Available online: https://link.springer.com/article/10.1007/s10570-015-0692-1 (accessed on 22 February 2022).
- European Union Risk Assessment Report (2021), (3-chloro-2-hydroxypropyl)trimethylammonium chloride (CHPTAC) (Final Approved Version). Available online: https://echa.europa.eu/documents/10162/7ce22d7d-8793-4da1-903d-60fbf738aacd (accessed on 20 February 2020).
- Zhang, T.; Zhang SQian, W.; He, J.; Dong, X. Reactive Dyeing of Cationized Cotton Fabric: The Effect of Cationization Level. ACS Sustain. Chem. Eng. 2021, 9, 12355–12364. [Google Scholar] [CrossRef]
- Acharya, S.; Abidi, N.; Rajbhandari, R.; Meulewaeter, F. Chemical cationisation of cotton fabric for improved dye uptake. Cellulose 2014, 21, 4693–4706. [Google Scholar] [CrossRef]
- Aktek, T.; Millat, A.K. Salt free dyeing of cotton fiber—A critical review. Int. J. Text Sci. 2017, 6, 21–33. [Google Scholar] [CrossRef]
- Fung, K.; Shu, D.; Liu, X.; Cai, Y.; An, F.; Zhang, X. Reactive pad-steam dyeing of cotton fabric modified with cationic P(St-BA-VBT) nanospheres. Polymers 2018, 10, 564. Available online: https://www.mdpi.com/2073-4360/10/6/564 (accessed on 2 October 2020). [PubMed] [Green Version]
- Wolela, A.D. An overview on surface modification of cotton using cationic reagents for salt-free or low salt dyeing. Curr. Trends Fash. Technol. Text. Eng. 2019, 5, 37–46, ISSN 2577-2927. Available online: https://ideas.repec.org/a/adp/ctftte/v5y2019i1p37-46.html (accessed on 2 October 2020). [CrossRef]
- Niu, T.; Wang, X.; Wu Ch Sun, D.; Zhang, X.; Chen, Z.; Fang, L. Chemical modification of cotton fabrics by a bifunctional cationic polymer for salt-free reactive dyeing. ACS Omega 2020, 5, 15409–15416. [Google Scholar] [CrossRef]
- Zhang, S.; Ma, W.; Ju, B.; Dang, N.; Zhang, M.; Wu, S.; Yang, J. Continuous dyeing cationised cotton with reactive dyes. Color. Technol. 2005, 121, 183–186. [Google Scholar] [CrossRef]
- Correia, J.; Rainert, K.T.; Oliveira, F.R.; Curto Valle, R.; Valle, J.A.B. Cationisation of cotton fiber—An integrated view of cationic agents, processes variables, properties, market and future prospects. Cellulose 2020, 27, 8527–8550. [Google Scholar] [CrossRef]
- Texamin ECE New. Safety Data Sheet in Accordance with the Regulation (EC) No 1907/2006; The European Parliament and of the Council from Inotex: Dvửr Králové n/Labem, Czech Republic, 2018.
- Textile Auxiliary Agent for Dyeing and Printing. Available online: http://www.inotex.cz/docs/TPP_en.pdf (accessed on 12 August 2019).
- Marek, J. Towards Cleaner, Efficient Production; Cationisation of Natural Fibres. Available online: http://eiha.org/media/2019/08/Jan_Marek-INOTEX-EIHA_2019.pdf (accessed on 10 December 2019).
- Marek, J.; Dvorský, D. Cationisation of Natural Fibres. INOTEX spol. s r.o. Available online: https://aeett.files.wordpress.com/2017/01/p19_dvorsky_cationisation.pdf (accessed on 10 December 2019).
- Magsood, H.S.; Bashir, U.; Zubair, M.; Werner, J.; Militky, J. Cationization of cellulose fibers for composites. J. Text. Inst. 2017, 108, 1302–1307. [Google Scholar] [CrossRef]
- Marszałek, J.; Żyłła, R. Recovery of water from textile dyeing using membrane filtration processes. Processes 2021, 9, 1833. [Google Scholar] [CrossRef]
- Sójka-Ledakowicz, J.; Lewartowska, J.; Gajdzicki, B.; Olczyk, J.; Walawska, A. Innovative UV Barrier Materials Made of Organic cotton Dyed with Natural Dyestuffs. Available online: https://www.academia.edu/47259428/Sem_Investigations_on_Old_Maps_with_Canvas_Support (accessed on 2 February 2020).
- GreenScreen® For SaferChemicals. Available online: https://www.greenscreenchemicals.org/certified/products (accessed on 7 September 2021).
- Export code of the Czech Republic. Available online: https://www.zauba.com/import-/hs-code-38099110/fp-czech+republic-hs-code.html (accessed on 2 February 2020).
- Import code of the Netherlands. Available online: https://en.52wmb.com/cs-netherlands/textile_auxiliary (accessed on 2 February 2020).
- Pruś, S.; Kulpiński, P.; Matyjas-Zgondek, E.; Wojciechowski, K. Eco-friendly dyeing of cationised cotton with reactive dyes—Mechanism of bonding reactive dyes with CHPTAC cationised cellulose. Cellulose 2022, 29, 4167–4182. [Google Scholar] [CrossRef]
- Kucharska, M.; Wyrębska, Ł.; Kwiecień, A.; Gosławski, S. Eriofast—Reactive dyes for dyeing of polyamide. In Proceedings of the XXV Seminar of the Polish Chemists Colourists, Tarnów, Poland; 2009; pp. 52–69, ISBN 978-83-927176-1-4. Available online: http://kolorysci.org.pl/stara-strona/download/mat-sem/kolorysci_2009.pdf (accessed on 10 August 2021).
- Pruś, S.; Kulpiński, P.; Matyjas-Zgondek, E. Changes in the specific charge amount on the surface of cotton fibres during the alkali pre-treatment process. Fibres Text. East. Eur. 2019, 27, 30–37. Available online: https://fibtex.lodz.pl/article2109.html (accessed on 2 February 2020).
- Pruś, S.; Kulpiński, P.; Matyjas-Zgondek, E. Comparison of the effects of the cationization of raw, bio- and alkali-scoured cotton knitted fabric with different surface charge density. Autex. Res. J. 2021, 2, 255–264. [Google Scholar] [CrossRef]
- Stewart, J.J.P. Optimisation of parameters for semi-empirical methods I. Method. Comput. Chem. 1989, 10, 209. [Google Scholar] [CrossRef] [Green Version]
- Łukoś, A.; Ornaf, W. Barwniki Reaktywne—Budowa i Zastosowanie; WPLiS: Warszawa, Poland, 1966. (In Polish) [Google Scholar]
- Nishiyama, Y.; Langan, P.; Chanzy, H. Crystal Structure and Hydrogen-Bonding System in Cellulose Iβ from Synchrotron X-ray and Neutron Fiber Diffraction. J. Am. Chem. Soc. 2002, 124, 9074–9082. [Google Scholar] [CrossRef] [PubMed]
















| Modification Agent | Chemical Formula | |
|---|---|---|
| [IME]+Cl− | 1H-imidazole, copolymer with (chloromethyl)oxirane (Texamin ECE New) CAS: 68797-57-9 Molecular weight of 1 mer of copolymer macromolecule [IME]+Cl−: 160.6 | ![]() adduct |
| Dyestuff | Chemical Data | Chemical Formula | |
|---|---|---|---|
| RR 24:1 | Helaktyn Red D-BN Reactive Red 24:1 C.I. 18208:1 CAS: 72829-25-5 | MCT Molecular Formula C27H19ClN7O10S3.Na3 Molecular weight: 802.10 | ![]() |
| RB 160 | Kalpactive Blue HE-BR Reactive Blue 160 C.I. - CAS: 71872-76-9 | bis-MCT formazan class dyes Molecular Formula C38H23Cl2N14O18S5Cu.Na5 Molecular Weight: 1309.9 | ![]() |
| RR 221 | Papizolon Red HT-3BN Reactive Red 221 C.I. - CAS: 96726-27-1 | bis-mononicotinntriazine dyes Molecular Formula C57H35N16O24S6.Na6 Molecular Weight: 1699.34 | ![]() |
| RR 274 | Eriofast Red 2B (1) Reactive Red 274 C.I. - CAS: - | MCT-VS (heterobifunctional) Molecular Formula C27H20N8O9S3Cl.Na2 Molecular Weight: 777.5 | ![]() |
| RB 19 | Remazol Brilliant Blue R Reactive Blue 19 C.I. 61200 CAS: 2580-78-1 | VS (vinylsulphone) Molecular Formula C22H16N2O11S3.Na2 Molecular Weight 626.5 | ![]() |
| AB 62 | Acid Blue 62 C.I. 62045 CAS: 4368-56-3 | Molecular Formula C20H20N2O5S.Na Molecular Weight 422.43 | ![]() |
| Nitrogen Content | ||
|---|---|---|
| [eq/g] | ||
| 5.16 × 10−3 | 2.1 × 10−3 | 0.515 × 10−3 |
| Cotton Sample | Nitrogen | |||
|---|---|---|---|---|
| Calculated | ΔN | Calculated | ||
| [10−6 eq/g] | [10−6 eq/g] | |||
| Cell-OH | 25 | - | +0.44 | - |
| [Cell-O-IME]+Cl− | 126 | 101 | +14.2 | +13.76 |
| Dye | Dyeing in Eco-Friendly Conditions | |||||||||||||
|---|---|---|---|---|---|---|---|---|---|---|---|---|---|---|
| Cell-OH | Cell-O-[IME]+Cl− | |||||||||||||
| After Dyeing | After DMF Extraction | RDMF [%] | After Dyeing | After DMF Extraction | RDMF [%] | |||||||||
| L | a | b | L | a | b | L | a | b | L | a | b | |||
| RR 24:1 | 80.18 | 25.28 | −2.40 | 92.39 | 2.71 | 1.82 | 8.10 | 46.40 | 64.93 | 13.46 | 43.11 | 61.22 | 7.81 | 92.47 |
![]() | ![]() | ![]() | ![]() | |||||||||||
| RB 160 | 59.81 | −5.30 | −22.07 | 76.98 | −3.83 | −12.33 | 21.1 | 43.85 | −3.77 | −27.92 | 44.20 | −3.03 | −27.78 | 94.90 |
![]() | ![]() | ![]() | ![]() | |||||||||||
| RR 221 | 64.26 | 43.92 | −4.07 | 74.97 | 29.49 | −3.27 | 33.9 | 45.86 | 57.29 | 3.53 | 46.25 | 57.35 | 3.18 | 96.37 |
![]() | ![]() | ![]() | ![]() | |||||||||||
| RR 274 | 57.13 | 42.15 | −6.10 | 82.06 | 15.90 | −3.87 | 8.80 | 42.15 | 50.99 | −1.09 | 40.63 | 52.62 | −1.15 | 103.3 |
![]() | ![]() | ![]() | ![]() | |||||||||||
| RB 19 | 60.30 | −6.06 | −14.98 | 86.24 | −1.88 | −2.97 | 6.85 | 31.13 | −5.06 | −20.03 | 31.41 | −5.22 | −21.17 | 98.30 |
![]() | ![]() | ![]() | ![]() | |||||||||||
| Compound | Electron Density on An Oxygen Atoms | ||||
|---|---|---|---|---|---|
| O(6) | O(2) | O(3) | O(β1) | O(β2) | |
| [IME]+Cl− | --- | --- | --- | −0.325 | −0.315 |
| Cell-OH = (Glu)3 | −0.341 | −0.287 | −0.291 | --- | --- |
| [Cell-O(6)-IME]+Cl− | −0.275 | −0.286 | −0.315 | −0.319 | −0.311 |
| Atom | Electron Density |
|---|---|
| N(1) | 0.445 |
| N(2) | 0.407 |
| N(3) | 0.236 |
| N(4) | −0.085 |
| Compound | O(3) | O(4) | O(5) |
|---|---|---|---|
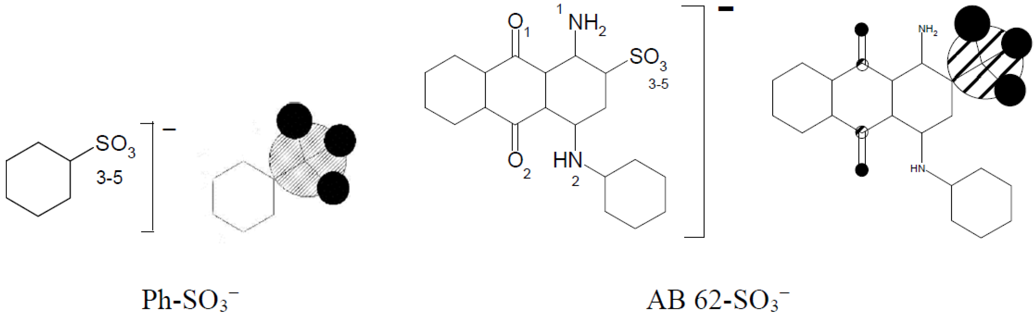
| Ph-SO3− | −0.939 | −0.939 | −0.942 |
| AB 62-SO3− | −0.956 | −0.916 | −0.940 |
| Compound | Electron Density on Oxygen and Nitrogen Atoms | |||||
|---|---|---|---|---|---|---|
| O(2) | O(3) | O(β1) | O(β2) | N(1) | N(2) | |
| [Cell-O(6)-IME]+Cl− | −0.286 | −0.315 | −0.319 | −0.311 | 0.445 | 0.407 |
| [Cell-O(6)-IME]+∙PhSO3− | −0.292 | −0.311 | −0.311 | −0.318 | 0.410 | 0.368 |
Publisher’s Note: MDPI stays neutral with regard to jurisdictional claims in published maps and institutional affiliations. |
© 2022 by the authors. Licensee MDPI, Basel, Switzerland. This article is an open access article distributed under the terms and conditions of the Creative Commons Attribution (CC BY) license (https://creativecommons.org/licenses/by/4.0/).
Share and Cite
Pruś, S.; Kulpiński, P.; Matyjas-Zgondek, E.; Wojciechowski, K. Mechanism of Bonding Reactive Dyes with Copolymer (chloromethyl)oxirane-1H-imidazole cationised Cellulose. Materials 2022, 15, 4664. https://doi.org/10.3390/ma15134664
Pruś S, Kulpiński P, Matyjas-Zgondek E, Wojciechowski K. Mechanism of Bonding Reactive Dyes with Copolymer (chloromethyl)oxirane-1H-imidazole cationised Cellulose. Materials. 2022; 15(13):4664. https://doi.org/10.3390/ma15134664
Chicago/Turabian StylePruś, Stanisław, Piotr Kulpiński, Edyta Matyjas-Zgondek, and Krzysztof Wojciechowski. 2022. "Mechanism of Bonding Reactive Dyes with Copolymer (chloromethyl)oxirane-1H-imidazole cationised Cellulose" Materials 15, no. 13: 4664. https://doi.org/10.3390/ma15134664
APA StylePruś, S., Kulpiński, P., Matyjas-Zgondek, E., & Wojciechowski, K. (2022). Mechanism of Bonding Reactive Dyes with Copolymer (chloromethyl)oxirane-1H-imidazole cationised Cellulose. Materials, 15(13), 4664. https://doi.org/10.3390/ma15134664




























