Investigation of Adhesion Properties of Tire—Asphalt Pavement Interface Considering Hydrodynamic Lubrication Action of Water Film on Road Surface
Abstract
1. Introduction
2. Materials and Methods
2.1. Acquisition of Pavement Texture Information
2.2. Textured Pavement Modeling in ABAQUS
2.2.1. FE Model of Textured Pavement
- (1)
- Generation of 3D digital pavement model
- (2)
- Unit standardization of grid data
- (3)
- Sparsity of grid data
- (4)
- Extension processing of coordinate data
- (5)
- Materialized processing of textured pavement
2.2.2. Tire Hydroplaning FE Model
3. Results
3.1. Pavement State Demarcation
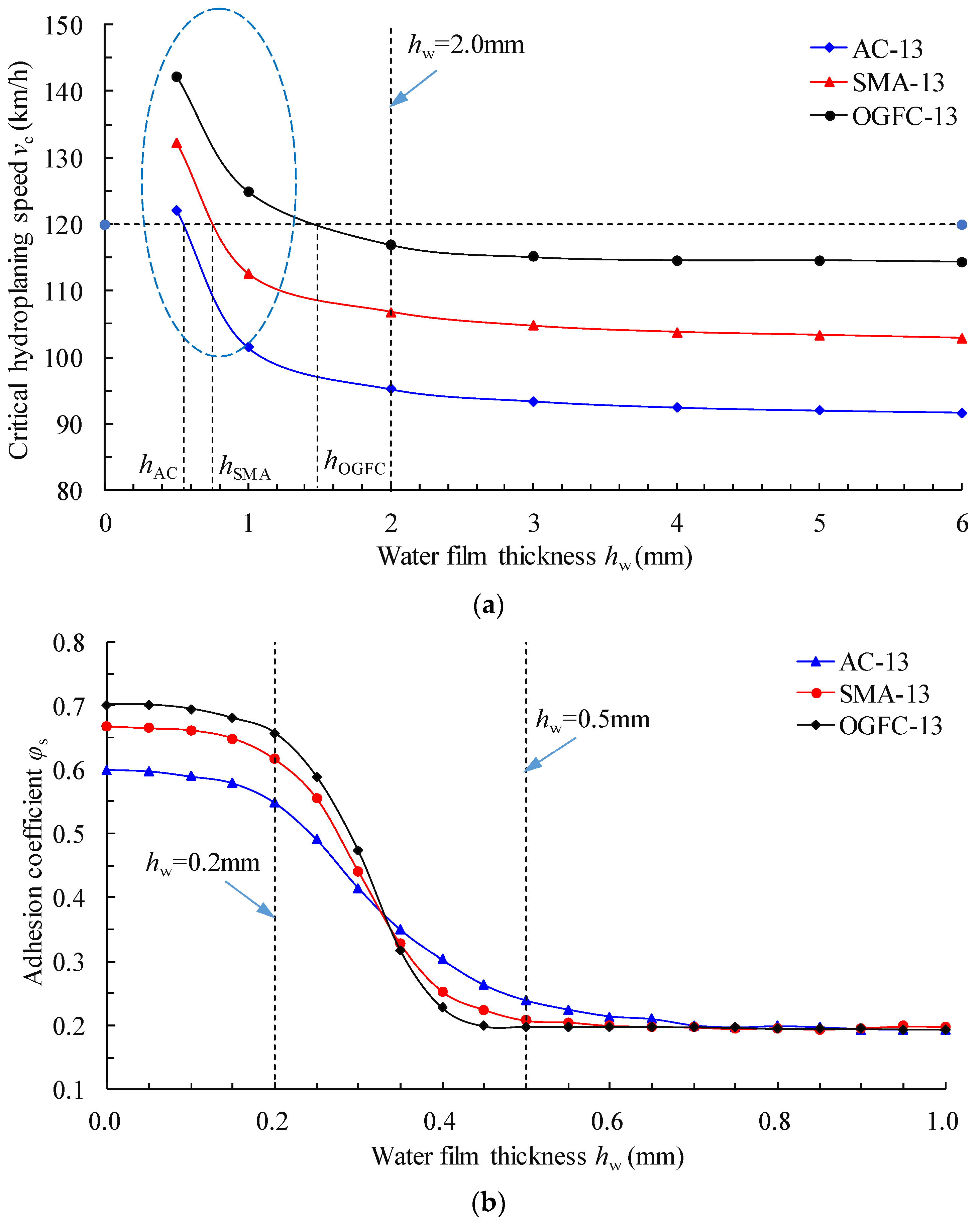
- Boundary lubrication stage (the water film thickness ranges from 0 to 0.2 mm). Here, the fluid lubrication effect was very small, but the road surface micro convex body had a large contribution rate. The friction between the tire and pavement depended on the asperity of the road surface.
- Mixed lubrication stage (the water film thickness ranges from 0.2 mm to 0.5 mm). Part of the road surface micro convex body was blocked by the water film and became an “anti−skid noncontributing area”. At this time, the friction characteristics of the road surface were determined by the fluid viscosity and surface roughness.
- Elastic fluid lubrication stage (the water film thickness ranges from 0.5 mm to 1.0 mm). At this stage, the road surface micro convex body was completely submerged by the water film. However, the road surface water film thickness was low, and no dynamic water pressure was generated.
- In the dry state, i.e., hw = 0 mm, the adhesion coefficient between the tire and pavement mainly depended on the texture characteristics of the road surface contact surface.
- In the wet state or moist state, i.e., 0 < hw = 0.5 mm, the adhesion coefficient was determined by the roughness of the road surface and the fluid viscosity.
- In the lubrication state, i.e., 0.5 mm < hw ≤ 1 mm, the adhesion coefficient was negligible, the adhesion force depended on the fluid viscosity resistance, and the tire slip rate increased rapidly.
- In the ponding state, i.e., hw > 1 mm, the adhesion force of the tire depended entirely on the fluid viscosity resistance. At this time, there was a risk of tire hydroplaning.
3.2. Influencing Factors of Adhesion Coefficient
3.2.1. In a Dry Road State
3.2.2. Under Wet Road Conditions
4. Discussion
4.1. Sensitivity Analysis Based on Orthogonal Experimental Design
4.1.1. In a Dry Road State
4.1.2. In a Wet Road State
4.2. Peak Adhesion Coefficient for Different Road States
4.2.1. In a Dry Road State
4.2.2. In a Wet Road State
5. Conclusions
- For both dry and wet road conditions, the adhesion coefficient of different types of pavements could be ordered as OGFC pavement > SMA pavement > AC pavement. The change rules of the adhesion coefficient curves under different pavement conditions were basically similar, both decreasing significantly with the increase in relative slipping speed. When the speed exceeded 40 km/h, the curves tended to be gentle. For the insulation and lubrication of the water film, there existed an “anti-skid noncontribution area”.
- When the thickness of the water film was in the range of 0–2 mm, the critical hydroplaning speed of tire change rate was significant. When the water film thickness was greater than 2 mm, the critical hydroplaning speed curve tended to be stable. When driving at the specified speed limit of 120 km/h, the critical water film thickness for the three typical asphalt pavements that resulted in hydroplaning was as follows: AC, 0.56 mm; SMA, 0.76 mm; OGFC, 1.5 mm. According to the theory of elastic hydrodynamic lubrication, the pavement could be divided into four states: dry state, wet sate, lubricated state, and ponding state.
- In a dry road state, as the MPD value gradually increased, the adhesion coefficient between the tire and the road increased, and the increasing trend was more significant at higher driving speeds. Upon increasing the tire inflation pressure, the adhesion coefficient increased and was distributed as a parabola. The OGFC asphalt pavement had the largest adhesion coefficient under the same tire inflation pressure, followed by SMA and AC asphalt pavement. A greater inflation pressure led to a greater change rate of the adhesion coefficient for the OGFC asphalt pavement.
- In a wet road state, for certain macro texture parameters and rolling speed, the road surface adhesion coefficient gradually decreased as the water film thickness increased. When the water film thickness was hw ≤ 1.0 mm, the pavement adhesion coefficient was larger and the change rate of the adhesion coefficient was higher as the macro texture increased. When the water film thickness was hw > 1.0 mm, the adhesion coefficient gradually decreased.
- According to the sensitivity analysis results, whether in a dry state or wet state, the macro texture parameter of the road surface was the significant factor. In a dry road state, when the slip rate was around 15%, the adhesion coefficient reached the peak value, i.e., around 11.5% for the wet road state. At the same speed, the peak adhesion coefficient for different asphalt pavements could be ordered as OGFC pavement > SMA pavement > AC pavement for both the dry state and the wet state. Moreover, the peak adhesion coefficient on OGFC pavement in a dry road state was larger than that on AC pavement in a wet road state.
Author Contributions
Funding
Institutional Review Board Statement
Informed Consent Statement
Data Availability Statement
Conflicts of Interest
References
- Zhang, L. Research on Key Technology of Active Collision Avoidance Braking System Based on Pavement Identification. Master’s Thesis, Jiangsu University, Zhenjiang, China, 2017. [Google Scholar]
- Barber, J.R. Contact Mechanics, Soild Mechanics and Its Applications; Springer International Publishing: Berlin, Germany, 2018. [Google Scholar]
- Zhang, B. Tire Tread Pattern Optimization with Regard to Adhesion on Wet Surface. Master’s Thesis, South China University of Technology, Guangzhou, China, 2013. [Google Scholar]
- Hall, J.W.; Smith, K.L.; Titus-Glover, L.; Wambold, J.C.; Yager, T.J.; Rado, Z. Guide for Pavement Friction. In Contractors Final Report for NCHRP Project 01-43; Transportation Research Board: Washington, DC, USA, 2009; p. 108. [Google Scholar]
- Al-Assi, M.; Kassem, E. Evaluation of Adhesion and Hysteresis Friction of Rubber—Pavement System. Appl. Sci. 2017, 7, 1029. [Google Scholar] [CrossRef]
- Huang, X.; Zheng, B. Research Status and Progress for Skid Resistance Performance of Asphalt Pavements. China J. Highw. Transp. 2019, 32, 32–49. [Google Scholar]
- Vu, T.D.; Duhamel, D.; Abbadi, Z.; Yin, H.P.; Gaudin, A. A nonlinear Circular Ring Model with Rotating Effects for Tire Vibrations. J. Sound Vib. 2017, 388, 245–271. [Google Scholar] [CrossRef]
- Jiang, X.; Zeng, C.; Gao, X.; Liu, Z.; Qiu, Y. 3D Fem Analysis of Flexible Base Asphalt Pavement Structure under Non-uniform Tyre Contact Pressure. Int. J. Pavement Eng. 2019, 20, 999–1011. [Google Scholar] [CrossRef]
- Xiao, S.; Zhao, F.; Zhou, X.; Tan, Y.; Li, J. Spatiotemporal Evolution Analysis of Pavement Texture Depth on RIOH Track Using Statistical and Rescaled Range Approaches. Constr. Build. Mater. 2022, 338, 127560. [Google Scholar] [CrossRef]
- Persson, B.N.J.; Scaraggi, M. Lubricated Sliding Dynamics: Flow Factors and Stribeck Curve. Eur. Phys. J. E 2011, 34, 113–119. [Google Scholar] [CrossRef]
- Priyantha, W.J.; Gary, L.G. Use of Skid Performance History as Basis for Aggregate Qualification for Seal Coats and Hot-Mix Asphalt Concrete Surface Courses. Transp. Res. Rec. 1995, 1501, 31–38. [Google Scholar]
- Singh, D.; Patel, H.; Habal, A.; Das, A.K.; Kapgate, B.P.; Rajkumar, K. Evolution of Coefficient of Friction between Tire and Pavement under Wet Conditions Using Surface Free Energy Technique. Constr. Build. Mater. 2019, 204, 105–112. [Google Scholar] [CrossRef]
- Bachmann, T. Wechselwirkungen Im Prozeß der Reibung Zwischen Reifen und Fahrbahn. Ph.D. Thesis, TU Darmstadt, Düsseldorf, Germany, 1998. [Google Scholar]
- Germann, S.; Wurtenberger, M.; Daiss, A. Monitoring of the Friction Coefficient between Tire and Road Surface. In Proceedings of the Third IEEE Conference on Control Applications, Glasgow, UK, 24–26 August 1994. [Google Scholar]
- Do, M.; Cerezo, V.; Beautru, Y.; Kane, M. Influence of Thin Water Film on Skid Resistance. J. Traffic. Transp. Eng. 2014, 2, 36–44. [Google Scholar]
- Wang, K.C.P.; Luo, W.; Li, J.Q. Hydroplaning Risk Evaluation of Highway Pavements Based on IMU and 1 mm 3D Texture Data. In Proceedings of the Second Transportation & Development Congress, Orlando, FL, USA, 8–11 June 2014; pp. 511–522. [Google Scholar]
- Christensen, H. Stochastic Models for Hydrodynamic Lubrication of Rough Surfaces. Proc. Inst. Mech. Eng. 1969, 184, 1013–1026. [Google Scholar] [CrossRef]
- Lugt, P.M.; Morales-Espejel, G.E. A Review of Elasto-Hydrodynamic Lubrication Theory. Tribol. Trans. 2011, 54, 470–496. [Google Scholar] [CrossRef]
- Johannesson, P.; Rychlik, I. Laplace Processes for Describing Road Profiles. Procedia Eng. 2013, 66, 464–473. [Google Scholar] [CrossRef][Green Version]
- Li, R. Study on Unsaturated Hydraulic Asphalt Concrete Pavement Internal Hydrodynamic Pressure Distribution. Master’s Thesis, Chongqing Jiaotong University, Chongqing, China, 2013. [Google Scholar]
- Yu, L.; Hu, J.; Li, R.; Yang, Q.; Guo, F.; Pei, J. Tire-Pavement Contact Pressure Distribution Analysis Based on ABAQUS Simulation. Arab. J. Sci. Eng. 2022, 47, 4119–4132. [Google Scholar] [CrossRef]
- Yu, M.; You, Z.; Wu, G.; Kong, L.; Gao, J. Measurement and Modeling of Skid Resistance of Asphalt Pavement: A Review. Constr. Build. Mater. 2020, 260, 119878. [Google Scholar] [CrossRef]
- Ong, G.P.; Fwa, T.F. A Mechanistic Interpretation of Braking Distance Specifications and Pavement Friction Requirements. Transp. Res. Rec. 2010, 2155, 145–157. [Google Scholar] [CrossRef]
- Fwa, T.F.; Pasindu, H.R.; Ong, G.P. Critical Rut Depth for Pavement Maintenance Based on Vehicle skidding and hydroplaning consideration. J. Transp. Eng. 2012, 138, 423–429. [Google Scholar] [CrossRef]
- Zheng, B.; Chen, J.; Zhao, R.; Tang, J.; Tian, R.; Zhu, S.; Huang, X. Analysis of Contact Behaviour on Patterned Tire-Asphalt Pavement with 3-D FEM Contact Model. Int. J. Pavement Eng. 2022, 23, 171–186. [Google Scholar] [CrossRef]
- Zheng, B.; Huang, X.; Zhang, W.; Zhao, R.; Zhu, S. Adhesion Characteristics of Tire-Asphalt Pavement Interface Based on A Proposed Tire Hydroplaning Model. Adv. Mater. Sci. Eng. 2018, 2018, 5916180. [Google Scholar] [CrossRef]
- Novikov, I.; Lazarev, D. Experimental Installation for Calculation of Road Adhesion Coefficient of Locked Car Wheel. Transp. Res. Procedia 2017, 20, 463–467. [Google Scholar] [CrossRef]
- Ma, B.; Lv, C.; Liu, Y.; Zheng, M.; Yang, Y.; Ji, X. Estimation of Road Adhesion Coefficient Based on Tire Aligning Torque Distribution. J. Dyn. Syst. Meas. Control 2018, 140, 051010. [Google Scholar] [CrossRef]
- Chen, B.; Zhang, X.; Yu, J.; Wang, Y. Impact of Contact Stress Distribution on Skid Resistance of Asphalt Pavements. Constr. Build. Mater. 2017, 133, 330–339. [Google Scholar] [CrossRef]
- Guo, K.H. Uni-Tire: Unified Tire Model. Chin. J. Mech. Eng. 2016, 52, 90–99. [Google Scholar] [CrossRef]
- Chen, J.; Huang, X.; Zheng, B.; Zhao, R.; Liu, X.; Cao, Q.; Zhu, S. Real-Time Identification System of Asphalt Pavement Texture Based on the Close-Range Photogrammetry. Constr. Build. Mater. 2019, 226, 910–919. [Google Scholar] [CrossRef]
- Granshaw, S.I. Close Range Photogrammetry: Principles, Methods and Applications. Photogramm. Rec. 2010, 25, 203–204. [Google Scholar] [CrossRef]
- Tanaka, H.; Yoshimura, K.; Sekoguchi, R.; Aramaki, J.; Hatano, A.; Izumi, S.; Sakai, S.; Kadowaki, H. Prediction of the Friction Coefficient of Filled Rubber Sliding on Dry and Wet Surfaces with Self-Affine Large Roughness. Mech. Eng. J. 2016, 3, 15-00084. [Google Scholar] [CrossRef]
- Persson, B.N.J. On the Fractal Dimension of Rough Surfaces. Tribol. Lett. 2014, 54, 99–106. [Google Scholar] [CrossRef]
- Michele, C. A Simplified Version of Persson’s Multiscale Theory for Rubber Friction Due to Viscoelastic Losses. J. Tribol. 2018, 140, 011403. [Google Scholar]
- Zhu, S.; Liu, X.; Cao, Q.; Huang, X. Numerical Study of Tire Hydroplaning Based on Power Spectrum of Asphalt Pavement and Kinetic Friction Coefficient. Adv. Mater. Sci. Eng. 2017, 2017, 5843061. [Google Scholar] [CrossRef]
- Zheng, B.S.; Zhu, S.Z.; Chen, Y.Z.; Huang, X.M. Influence Factors Analysis of Adhesion Characteristic on Tire-Asphalt Pavement Based on Tire Hydroplaning Model. J. Southeast Univ. Nat. Sci. Ed. 2018, 48, 719–725. [Google Scholar]
- Yager, T.J. Comparative Braking Performance of Various Aircraft on Grooved and Ungrooved Pavements at the Landing Research Runway; Pavement Grooving and Traction Studies; NASA Wallops Station: Wallops Island, VA, USA, 1969.
- Zhuang, J. Vehicle Tire Mechanics; Beijing Institute of Technology Press: Beijing, China, 2009. [Google Scholar]
- Seta, E.; Nakajima, Y.; Kamegawa, T.; Ogawa, H. Hydroplaning Analysis by FEM and FVM: Effect of Tire Rolling and Tire Pattern on Hydroplaning. Tire Sci. Technol. 2000, 28, 140–156. [Google Scholar] [CrossRef]
- Zhang, H. Study on Braking Behavior of Typical Vehicle under Moist or Water Asphalt Pavement Condition. Master’s Thesis, Southeast University, Nanjing, China, 2016. [Google Scholar]













| Sieve Size (mm) | Passing Rate of Each Sieve (%) | ||||||||||
|---|---|---|---|---|---|---|---|---|---|---|---|
| Components | 0.075 | 0.15 | 0.3 | 0.6 | 1.18 | 2.36 | 4.75 | 9.5 | 13.2 | 16 | |
| AC−13 | 6 | 10 | 13.5 | 19 | 26.5 | 37 | 53 | 76.5 | 95 | 100 | |
| SMA−13 | 10 | 13.2 | 16.3 | 19.5 | 22.7 | 25.8 | 29 | 63.5 | 97.9 | 100 | |
| OGFC−13 | 4.6 | 5.4 | 6.1 | 8.7 | 11.5 | 15.0 | 18.8 | 63.3 | 97.8 | 100 | |
| Asphalt Pavement Type | Specimen | Sand Patch Method (mm) | ACRP System (mm) | Relative Error (%) |
|---|---|---|---|---|
| AC−13 | 1 | 0.45 | 0.44 | 0.16 |
| 2 | 0.48 | 0.48 | 0.37 | |
| 3 | 0.49 | 0.49 | 0.47 | |
| SMA−13 | 1 | 0.61 | 0.61 | 1.01 |
| 2 | 0.75 | 0.74 | 0.71 | |
| 3 | 0.84 | 0.84 | 1.20 | |
| OGFC−13 | 1 | 0.86 | 0.85 | 0.81 |
| 2 | 0.92 | 0.91 | 0.80 | |
| 3 | 0.93 | 0.93 | 0.48 |
| No. | MPD Value (mm) k1 | Tire Speed (km/h) k2 | Tire Inflation Pressure (MPa) k3 |
|---|---|---|---|
| 1 | 0.47 | 40 | 200 |
| 2 | 0.63 | 60 | 240 |
| 3 | 0.83 | 80 | 300 |
| 4 | 1.01 | 100 | 350 |
| Analysis Item | Test Factors | ||||
|---|---|---|---|---|---|
| k1 | k2 | k3 | k4 | k5 | |
| x1 | 0.670 | 0.813 | 0.742 | 0.740 | 0.745 |
| x2 | 0.716 | 0.778 | 0.741 | 0.749 | 0.748 |
| x3 | 0.785 | 0.719 | 0.744 | 0.751 | 0.751 |
| x4 | 0.810 | 0.671 | 0.756 | 0.742 | 0.738 |
| R | 0.140 | 0.142 | 0.015 | 0.011 | 0.013 |
| df | 3 | 3 | 3 | 3 | 3 |
| SS | 0.049 | 0.047 | 0.001 | 0.0014 | 0.0016 |
| F | 2.526 | 2.423 | 0.052 | — | — |
| Fcrit 0.10 | 2.490 | 2.490 | 2.490 | — | — |
| Significance level | Significant | Insignificant | Insignificant | — | — |
| No. | Water Film Thickness (mm) k1 | MPD Value (mm) k2 | Tire Speed (km/h) k3 |
|---|---|---|---|
| 1 | 0 | 0.32 | 20 |
| 2 | 0.2 | 0.47 | 40 |
| 3 | 1.0 | 0.63 | 60 |
| 4 | 2.0 | 0.83 | 80 |
| 5 | 5.0 | 1.01 | 100 |
| Analysis Item | Test Factors | |||||
|---|---|---|---|---|---|---|
| k1 | k2 | k3 | k4 | k5 | k6 | |
| x1 | 0.741 | 0.566 | 0.722 | 0.665 | 0.662 | 0.673 |
| x2 | 0.733 | 0.611 | 0.714 | 0.668 | 0.660 | 0.659 |
| x3 | 0.630 | 0.655 | 0.665 | 0.667 | 0.675 | 0.677 |
| x4 | 0.631 | 0.708 | 0.627 | 0.673 | 0.666 | 0.653 |
| x5 | 0.582 | 0.777 | 0.590 | 0.645 | 0.654 | 0.650 |
| R | 0.159 | 0.211 | 0.132 | 0.028 | 0.021 | 0.027 |
| df | 4 | 4 | 4 | 4 | 4 | 4 |
| SS | 0.099 | 0.136 | 0.063 | 0.00074 | 0.00055 | 0.00071 |
| F | 1.954 | 2.684 | 1.243 | 1 | 1 | 1 |
| Fcrit 0.10 | 2.190 | 2.190 | 2.190 | — | — | — |
| Significance level | Insignificant | Significant | Insignificant | — | — | — |
Publisher’s Note: MDPI stays neutral with regard to jurisdictional claims in published maps and institutional affiliations. |
© 2022 by the authors. Licensee MDPI, Basel, Switzerland. This article is an open access article distributed under the terms and conditions of the Creative Commons Attribution (CC BY) license (https://creativecommons.org/licenses/by/4.0/).
Share and Cite
Zheng, B.; Tang, J.; Chen, J.; Zhao, R.; Huang, X. Investigation of Adhesion Properties of Tire—Asphalt Pavement Interface Considering Hydrodynamic Lubrication Action of Water Film on Road Surface. Materials 2022, 15, 4173. https://doi.org/10.3390/ma15124173
Zheng B, Tang J, Chen J, Zhao R, Huang X. Investigation of Adhesion Properties of Tire—Asphalt Pavement Interface Considering Hydrodynamic Lubrication Action of Water Film on Road Surface. Materials. 2022; 15(12):4173. https://doi.org/10.3390/ma15124173
Chicago/Turabian StyleZheng, Binshuang, Junyao Tang, Jiaying Chen, Runmin Zhao, and Xiaoming Huang. 2022. "Investigation of Adhesion Properties of Tire—Asphalt Pavement Interface Considering Hydrodynamic Lubrication Action of Water Film on Road Surface" Materials 15, no. 12: 4173. https://doi.org/10.3390/ma15124173
APA StyleZheng, B., Tang, J., Chen, J., Zhao, R., & Huang, X. (2022). Investigation of Adhesion Properties of Tire—Asphalt Pavement Interface Considering Hydrodynamic Lubrication Action of Water Film on Road Surface. Materials, 15(12), 4173. https://doi.org/10.3390/ma15124173

