Radiative and Magnetically Stimulated Evolution of Nanostructured Complexes in Silicon Surface Layers
Abstract
1. Introduction
2. Materials and Methods
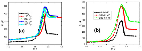
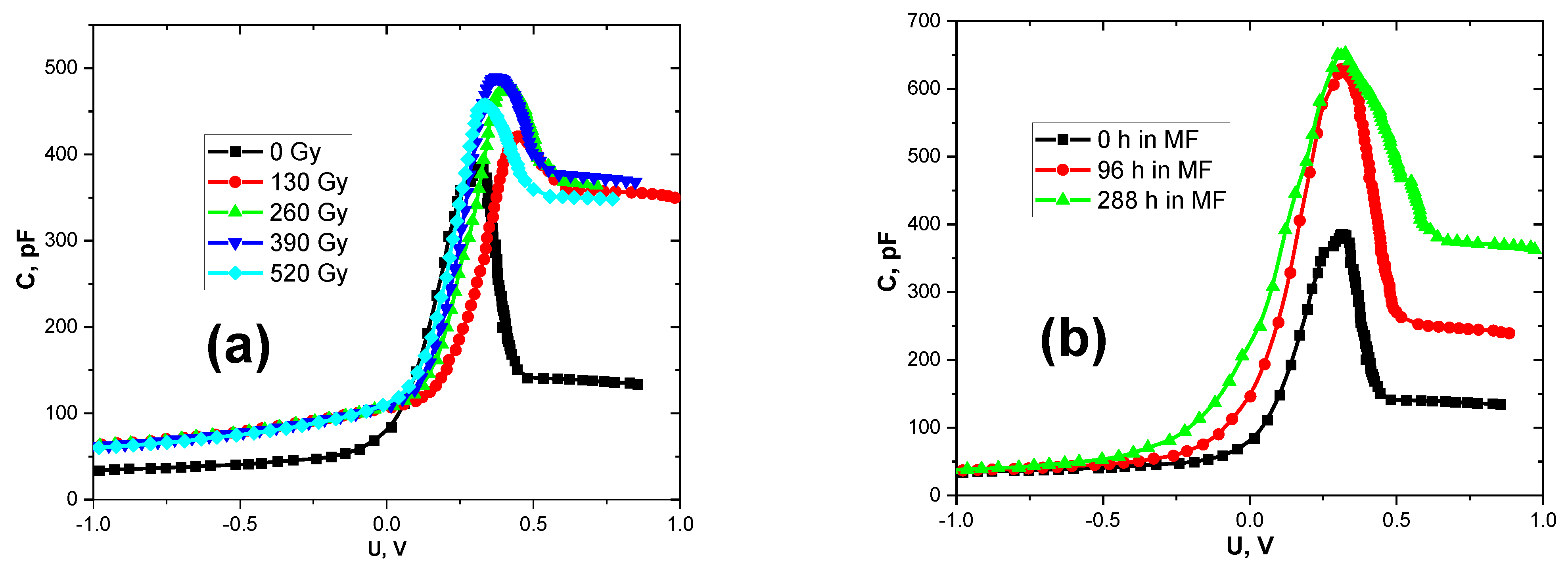
3. Results and Discussion
4. Conclusions
Author Contributions
Funding
Institutional Review Board Statement
Informed Consent Statement
Data Availability Statement
Conflicts of Interest
References
- Schäffler, F. High-mobility Si and Ge structures. Semicond. Sci. Technol. 1997, 12, 1515–1549. [Google Scholar] [CrossRef]
- Gueorguiev, G.K.; Pacheco, J.M. Silicon and metal nanotemplates: Size and species dependence of structural and electronic properties. J. Chem. Phys. 2003, 119, 10313. [Google Scholar] [CrossRef]
- Nayfeh, M. Fundamentals and Applications of Nano Silicon in Plasmonics and Fullerines: Current and Future Trends; Micro and Nano Technologies Series; Elsevier: Amsterdam, The Netherlands, 2018; 602p. [Google Scholar] [CrossRef]
- Kumar, V. Nanosilicon; Elsevier: Amsterdam, The Netherlands, 2008; 368p. [Google Scholar] [CrossRef]
- Gueorguiev, G.K.; Pacheco, J.M.; Stafström, S.; Hultman, L. Silicon–metal clusters: Nano-templates for cluster assembled materials. Thin Solid Film. 2006, 515, 1192–1196. [Google Scholar] [CrossRef]
- Liu, F.-T.; Cheng, Y.; Yang, F.-B.; Chen, X.-R. Bias-dependent conductance of Si2 cluster. Chem. Phys. Lett. 2013, 590, 160–164. [Google Scholar] [CrossRef]
- Hu, W.; Wang, Q.; Zhou, Q.; Liu, W.; Liang, Y.; Hu, J.; Wan, H. An ab initio study on the transport characteristics of Si2C2 clusters. Can. J. Phys. 2020, 98, 11–15. [Google Scholar] [CrossRef]
- Han, Y.; Zhang, S.; Wang, Z.; Ji, X.; Cheng, J. Searching new structures of ruthenium-doped in small-sized silicon clusters: RuSin (n = 3–13) clusters. Eur. Phys. J. Plus 2022, 137, 186. [Google Scholar] [CrossRef]
- Pavlyk, B.V.; Kushkyk, M.O.; Slobodzyan, D.P. Origin of dislocation luminescence centers and their reorganization in p-type silicon crystal subjected to plastic deformation and high temperature annealing. Nanoscale Res. Lett. 2017, 12, 358. [Google Scholar] [CrossRef]
- Pacheco, J.M. First-principles study of the possibility of condensed phases of endohedral silicon cage clusters. Phys. Rev. B 2002, 66, 033401. [Google Scholar] [CrossRef]
- Oliveira, M.J.; Medeiros, P.V.; Sousa, J.R.; Nogueira, F.; Gueorguiev, G.K. Optical and magnetic excitations of metal-encapsulating Si cages: A systematic study by time-dependent density functional theory. J. Phys. Chem. C 2014, 118, 11377–11384. [Google Scholar] [CrossRef]
- Li, W.; Ding, W.; Ju, D.; Tanaka, K.I.; Komori, F. Study on formation process and models of linear Fe cluster structure on a Si(111)-7×7-CH3OH Surface. Materials 2018, 11, 1593. [Google Scholar] [CrossRef]
- Koga, Y.; Kadono, T.; Shigematsu, S.; Hirose, R.; Onaka-Masada, A.; Okuyama, R.; Okuda, H.; Kurita, K. Room-temperature bonding of epitaxial layer to carbon-cluster ion-implanted silicon wafers for CMOS image sensors. Jpn. J. Appl. Phys. 2018, 57, 061302. [Google Scholar] [CrossRef]
- Aboy, M.; Santos, I.; Lopez, P.; Marques, L.A.; Pelaz, L. W and X photoluminescence centers in crystalline Si: Chasing candidates at atomic level through multiscale simulations. J. Electron. Mater. 2018, 47, 5045–5049. [Google Scholar] [CrossRef]
- Kusunoki, T.; Sueoka, K.; Sugimura, W.; Hourai, M. Theoretical study of hydrogen impact on concentration of intrinsic point defects during Czochralski Si crystal growth. J. Cryst. Growth 2021, 555, 125971. [Google Scholar] [CrossRef]
- Sugimura, W.; Takata, K.; Tanaka, M.; Higashida, K. Mechanism behind the crack formation in hydrogen doping Cz-Si crystal growth. Mater. Trans. 2019, 60, 1936–1942. [Google Scholar] [CrossRef]
- Watkins, G.D. Intrinsic defects in silicon. Mater. Sci. Semicond. Processing 2000, 3, 227–235. [Google Scholar] [CrossRef]
- Devine, R.A.B.; Warren, W.L.; Xu, J.B.; Wilson, I.H.; Paillet, P.; Leray, J.-L. Oxygen gettering and oxide degradation during annealing of Si/SiO2/Si structures. J. Appl. Phys. 1995, 77, 175–186. [Google Scholar] [CrossRef]
- Fleetwood, D.M. Total-ionizing-dose effects, border traps, and 1/f noise in emerging MOS technologies. IEEE Trans. Nucl. Sci. 2020, 67, 1216–1240. [Google Scholar] [CrossRef]
- Srour, J.R.; Palko, J.W. Displacement damage effects in irradiated semiconductor devices. IEEE Trans. Nucl. Sci. 2013, 60, 1740–1766. [Google Scholar] [CrossRef]
- Bodunrin, J.O.; Moloi, S.J. Current-voltage characteristics of 4 MeV proton-irradiated silicon diodes at room temperature. Silicon 2022, in press. [CrossRef]
- Wang, R.; Qiao, M.; Wang, Y.; Zhou, X.; Li, Z.; Zhang, B. Cut-off degradation of output current induced by high fluence neutron radiation in high-voltage silicon-on-insulator lateral double-diffused MOSFET. IEEE Electron. Device Lett. 2022, 43, 108–111. [Google Scholar] [CrossRef]
- Zedric, R.M.; Marianno, C.M.; Chirayath, S.S.; Diawara, Y.; Darby, I. The effect of radiation damage on the charge collection efficiency of silicon avalanche photodiodes. IEEE Trans. Nucl. Sci. 2022, 69, 152–159. [Google Scholar] [CrossRef]
- Claeys, C.; Simoen, E. Basic radiation damage mechanisms in semiconductor materials and devices. In Radiation Effects in Advanced Semiconductor Materials and Devices; Springer: Berlin/Heidelberg, Germany, 2022; pp. 9–52. [Google Scholar] [CrossRef]
- Watkins, G.D.; Corbett, J.W. Defects in irradiated silicon. I. Electron spin resonance of the Si-A center. Phys. Rev. 1961, 121, 1001–1014. [Google Scholar] [CrossRef]
- Watkins, G.D.; Corbett, J.W. Defects in irradiated silicon: Electron paramagnetic resonance of the divacancy. Phys. Rev. 1965, 138, A543–A555. [Google Scholar] [CrossRef]
- Ceponis, T.; Lastovskii, S.; Makarenko, L.; Pavlov, J.; Pukas, K.; Gaubas, E. Study of radiation-induced defects in p-ype Si1−xGeX diodes before and after annealing. Materials 2020, 13, 5684. [Google Scholar] [CrossRef]
- Yeritsyan, H.N.; Sahakyan, A.A.; Grigoryan, N.E.; Harutunyan, V.V.; Sahakyan, V.A.; Khachatryan, A.A. Clusters of radiation defects in silicon crystals. J. Mod. Phys. 2015, 6, 58779. [Google Scholar] [CrossRef]
- Hamedani, A.; Byggmästar, J.; Djurabekova, F.; Alahyarizadeh, G.; Ghaderi, R.; Minuchehr, A.; Nordlund, K. Primary radiation damage in silicon from the viewpoint of a machine learning interatomic potential. Phys. Rev. Mater. 2021, 5, 114603. [Google Scholar] [CrossRef]
- Oldham, T.R.; McLean, F.B. Total ionizing dose effects in MOS oxides and devices. IEEE Trans. Nucl. Sci. 2003, 50, 483–499. [Google Scholar] [CrossRef]
- Yao, P.; Song, Y.; Zuo, X. First-principles calculations of silicon interstitial defects at the amorphous-SiO2/Si interface. J. Phys. Chem. C 2021, 125, 15044–15051. [Google Scholar] [CrossRef]
- Song, Y.; Zhang, G.; Cai, X.; Dou, B.; Wang, Z.; Liu, Y.; Zhou, H.; Zhong, L.; Dai, G.; Zuo, X.; et al. General model for defect dynamics in ionizing-irradiated SiO2-Si structures. Small 2022, 18, 2107516. [Google Scholar] [CrossRef]
- Makara, V.A.; Steblenko, L.P.; Kolchenko, Y.L.; Naumenko, S.M.; Patran, O.A.; Kravchenko, V.M.; Dranenko, O.S. Magnetic-field-induced modification of properties of silicon lattice defects. Solid State Phenom. 2005, 108–109, 339–344. [Google Scholar] [CrossRef]
- Makara, V.A.; Steblenko, L.P.; Plyushchay, I.V.; Kuryliuk, A.M. Formation of the magnetic moments on impurity atoms in silicon crystals and the change of structure-sensitive characteristics caused by magnetic ordering. Metallofiz. Noveishie Tekhnol. 2011, 33, 165–171. [Google Scholar]
- Makara, V.A.; Steblenko, L.P.; Korotchenkov, O.A.; Nadtochiy, A.B.; Kalinichenko, D.V.; Kuryliuk, A.M.; Kobzar, Y.L.; Krit, O.M. Magnetic-field-stimulated modification of surface charge and defect content in silicon for solar energy storage. Metallofiz. Noveishie Tekhnol. 2014, 36, 189–193. [Google Scholar] [CrossRef]
- Zhang, X.; Cai, Z.P. Effect of magnetic field on the nanohardness of monocrystalline silicon and its mechanism. JETP Lett. 2018, 108, 23–29. [Google Scholar] [CrossRef]
- Adliene, D.; Cibulskaite, I.; Meškinis, T. Low energy X-ray radiation impact on coated Si constructions. Radiat. Phys. Chem. 2010, 79, 1031–1038. [Google Scholar] [CrossRef]
- Makara, V.A.; Steblenko, L.P.; Krit, A.N.; Kalinichenko, D.V.; Kurylyuk, A.N.; Naumenko, S.N. X-ray and magnetic-field-enhanced change in physical characteristics of silicon crystals. Solid State Phys. 2012, 54, 1440–1444. [Google Scholar] [CrossRef]
- Ibrahim, A. Non-destructive testing of a monocrystalline silicon solar cell: Magnetic field–electrical properties correlation. Silicon 2019, 11, 2439–2443. [Google Scholar] [CrossRef]
- Mohamed, N.; Sow, O.; Gueye, S.; Traore, Y.; Diatta, I.; Thiam, A.; Ba, M.; Mane, R.; Ly, I.; Sissoko, G. Influence of both magnetic field and temperature on silicon solar cell base optimum thickness determination. J. Mod. Phys. 2019, 10, 1596–1605. [Google Scholar] [CrossRef][Green Version]
- Slobodzyan, D.P.; Pavlyk, B.V.; Kushlyk, M.O. Features of influence of X-radiation and magnetic field on the electrical characteristics of barrier structures based on p-Si with dislocation, designed for solar energy. J. Nano-Electron. Phys. 2015, 7, 04051. [Google Scholar]
- Pavlyk, B.V.; Kushkyk, M.O.; Slobodzyan, D.P. About the nature of electroluminescence centers in plastically deformed crystals of p-type silicon. J. Nano-Electron. Phys. 2015, 7, 03043. [Google Scholar]
- Kushlyk, M.O.; Pavlyk, B.V.; Slobodzyan, D.P.; Lys, R.M. Restructuring of the defected structure and centers of dislocation luminescence in the p-Si surface layers. J. Phys. Stud. 2017, 21, 1601. [Google Scholar] [CrossRef][Green Version]
- Vlasenko, N.A.; Oleksenko, P.F.; Denisova, Z.L.; Sopinskii, N.V.; Veligura, L.I.; Gule, E.G.; Litvin, O.S.; Mukhlyo, M.A. Electronic states on silicon surface after deposition and annealing of SiOX films. Semiconductors 2011, 45, 587–592. [Google Scholar] [CrossRef]
- Lukjanitsa, V.V. Energy levels of vacancies and interstitial atoms in the band gap of silicon. Semiconductors 2003, 37, 404–413. [Google Scholar] [CrossRef]
- Mukashev, B.N.; Abdullin, K.A.; Gorelkinskiǐ, Y.V. Metastable and bistable defects in silicon. Physics-Uspekhi 2000, 43, 139–150. [Google Scholar] [CrossRef]
- Frank, W. Interstitial properties deduced from internal friction measurements on boron-implanted silicon. Radiat. Eff. 1974, 21, 119–133. [Google Scholar] [CrossRef]
- Pavlyk, B.V.; Kushlyk, M.O.; Didyk, R.I.; Shykorjak, Y.A.; Slobodzyan, D.P.; Kulyk, B.Y. Electrophysical characteristics of near-surface layers in p-Si crystals with sputtered Al films and subjected to elastic deformation. Ukr. J. Phys. 2013, 58, 742–747. [Google Scholar] [CrossRef]
- Gwyn, C.W. Model for radiation induced charge trapping and annealing in the oxide lajer of MOS devices. J. Appl. Phys. 1969, 40, 4886–4892. [Google Scholar] [CrossRef]
- Asay, D.B.; Kim, S.H. Evolution of the adsorbed water layer structure on silicon oxide at room temperature. J. Phys. Chem. B 2005, 109, 16760–16763. [Google Scholar] [CrossRef]
- Frantz, E.B.; Michalak, D.J.; Harmon, N.J.; Henry, E.M.; Moxim, S.J.; Flatté, M.E.; King, S.W.; Clarke, J.S.; Lenahan, P.M. Electrically detected magnetic resonance and near-zero field magnetoresistance in 28Si/28SiO2. J. Appl. Phys. 2021, 130, 065701. [Google Scholar] [CrossRef]
- Afanas’ev, V.V.; Stesmans, A. Charge state of paramagnetic E’ centre in thermal SiO2 layers on silicon. J. Condens. Matter Phys. 2000, 12, 2285–2290. [Google Scholar] [CrossRef]
- Cao, G.; Liu, X.; Zhang, Y.; Liu, W.; Deng, M.; Chen, G.; Zhang, G.; Li, Q.; Girma Beka, L.; Li, X.; et al. Photoinduced Hysteresis of Graphene Field-Effect Transistors Due to Hydrogen-Complexed Defects in Silicon Dioxide. ACS Appl. Mater. Interfaces 2019, 11, 12170–12178. [Google Scholar] [CrossRef]
- Dřínek, V.; Bastl, Z.; Šubrt, J.; Yabe, A.; Pola, J. IR laser-induced reactive ablation of silicon monoxide in hydrogen and water atmosphere. J. Mater. Chem. 2002, 12, 1800–1805. [Google Scholar] [CrossRef]








Publisher’s Note: MDPI stays neutral with regard to jurisdictional claims in published maps and institutional affiliations. |
© 2022 by the authors. Licensee MDPI, Basel, Switzerland. This article is an open access article distributed under the terms and conditions of the Creative Commons Attribution (CC BY) license (https://creativecommons.org/licenses/by/4.0/).
Share and Cite
Slobodzyan, D.; Kushlyk, M.; Lys, R.; Shykorjak, J.; Luchechko, A.; Żyłka, M.; Żyłka, W.; Shpotyuk, Y.; Pavlyk, B. Radiative and Magnetically Stimulated Evolution of Nanostructured Complexes in Silicon Surface Layers. Materials 2022, 15, 4052. https://doi.org/10.3390/ma15124052
Slobodzyan D, Kushlyk M, Lys R, Shykorjak J, Luchechko A, Żyłka M, Żyłka W, Shpotyuk Y, Pavlyk B. Radiative and Magnetically Stimulated Evolution of Nanostructured Complexes in Silicon Surface Layers. Materials. 2022; 15(12):4052. https://doi.org/10.3390/ma15124052
Chicago/Turabian StyleSlobodzyan, Dmytro, Markiyan Kushlyk, Roman Lys, Josyp Shykorjak, Andriy Luchechko, Marta Żyłka, Wojciech Żyłka, Yaroslav Shpotyuk, and Bohdan Pavlyk. 2022. "Radiative and Magnetically Stimulated Evolution of Nanostructured Complexes in Silicon Surface Layers" Materials 15, no. 12: 4052. https://doi.org/10.3390/ma15124052
APA StyleSlobodzyan, D., Kushlyk, M., Lys, R., Shykorjak, J., Luchechko, A., Żyłka, M., Żyłka, W., Shpotyuk, Y., & Pavlyk, B. (2022). Radiative and Magnetically Stimulated Evolution of Nanostructured Complexes in Silicon Surface Layers. Materials, 15(12), 4052. https://doi.org/10.3390/ma15124052

