Triple Perovskite Nd1.5Ba1.5CoFeMnO9−δ-Sm0.2Ce0.8O1.9 Composite as Cathodes for the Intermediate Temperature Solid Oxide Fuel Cells
Abstract
:1. Introduction
2. Materials and Methods
2.1. Cathode Powder Synthesis
2.2. Cell Fabrication
2.3. Characterization and Electrochemical Performance Test
3. Result and Discussion
3.1. Crystal Structure and Cathode Performance of NBCFM
3.2. Chemical Compatibility and Thermal Expansion Matching
3.3. Electrical Conductivity
3.4. Oxygen Surface Exchange Process
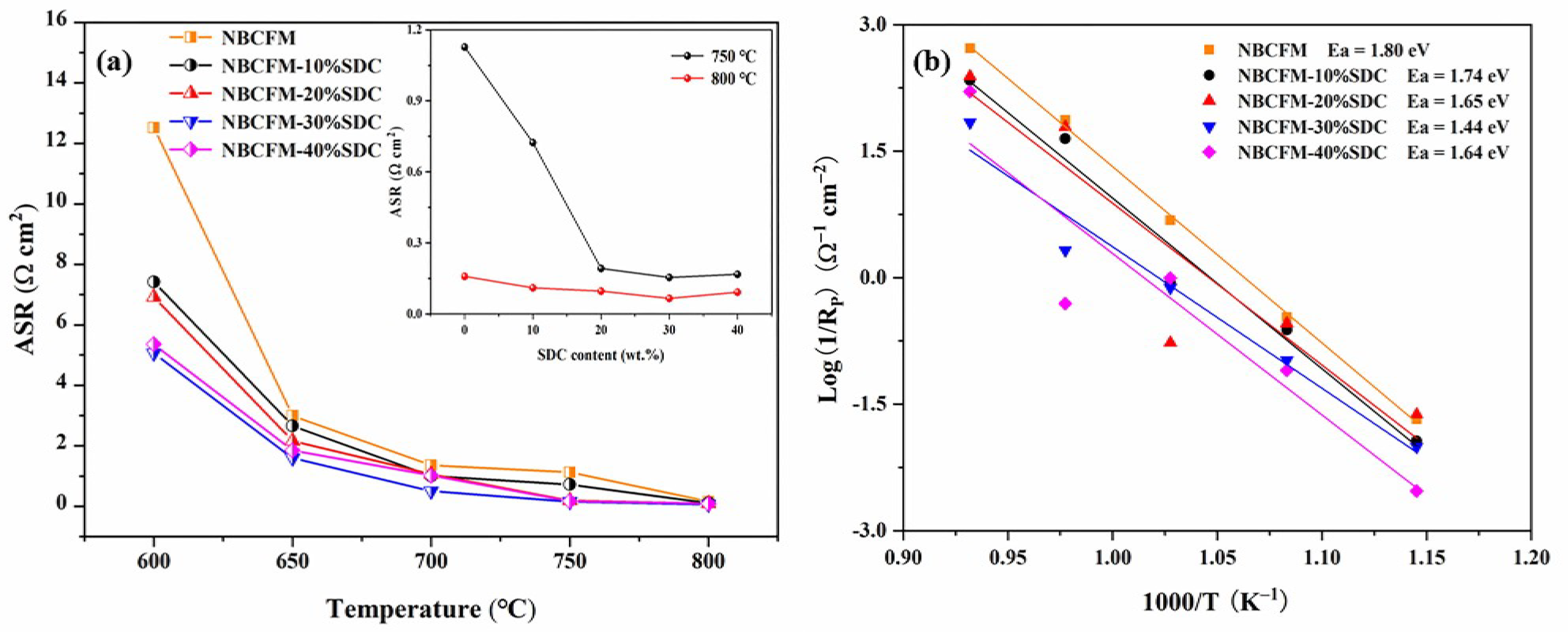
3.5. Electrochemical Performance and the Microstructure
4. Conclusions
Author Contributions
Funding
Institutional Review Board Statement
Informed Consent Statement
Data Availability Statement
Acknowledgments
Conflicts of Interest
References
- Ndubuisi, A.; Abouali, S.; Singh, K.; Thangadurai, V. Recent advances, practical challenges, and perspectives of intermediate temperature solid oxide fuel cell cathodes. J. Mater. Chem. A 2022, 10, 2196–2227. [Google Scholar] [CrossRef]
- Abd Aziz, A.J.; Baharuddin, N.A.; Somalu, M.R.; Muchtar, A. Review of composite cathodes for intermediate-temperature solid oxide fuel cell applications. Ceram. Int. 2020, 46, 23314–23325. [Google Scholar] [CrossRef]
- Eftekhari, A.; Fang, B. Electrochemical hydrogen storage: Opportunities for fuel storage, batteries, fuel cells, and supercapacitors. Int. J. Hydrogen Energy 2017, 42, 25143–25165. [Google Scholar] [CrossRef]
- Shen, M.; Ai, F.; Ma, H.; Xu, H.; Zhang, Y. Progress and prospects of reversible solid oxide fuel cell materials. iScience 2021, 24, 103464. [Google Scholar] [CrossRef]
- Fallah Vostakola, M.; Amini Horri, B. Progress in material development for low-temperature solid oxide fuel cells: A review. Energies 2021, 14, 1280. [Google Scholar] [CrossRef]
- Bello, I.T.; Zhai, S.; He, Q.; Xu, Q.; Ni, M. Scientometric review of advancements in the development of high-performance cathode for low and intermediate temperature solid oxide fuel cells: Three decades in retrospect. Int. J. Hydrogen Energy 2021, 46, 26518–26536. [Google Scholar] [CrossRef]
- Kaur, P.; Singh, K. Review of perovskite-structure related cathode materials for solid oxide fuel cells. Ceram. Int. 2020, 46, 5521–5535. [Google Scholar] [CrossRef]
- Azad, A.K.; Kim, J.H.; Irvine, J.T.S. Structural, electrochemical and magnetic characterization of the layered-type PrBa0.5Sr0.5Co2O5+δ perovskite. J. Solid State Chem. 2014, 213, 268–274. [Google Scholar] [CrossRef] [Green Version]
- Shao, Z.; Tade, M.O. Intermediate-temperature solid oxide fuel cells. Chem. Soc. Rev. 2016, 37, 1568. [Google Scholar]
- Klyndyuk, A.I.; Chizhova, E.A.; Kharytonau, D.S.; Medvedev, D.A. Layered oxygen-deficient double perovskites as promising cathode materials for solid oxide fuel cells. Materials 2021, 15, 141. [Google Scholar] [CrossRef]
- Maignan, A.; Martin, C.; Pelloquin, D.; Nguyen, N.; Raveau, B. Structural and magnetic studies of ordered oxygen-deficient perovskites LnBaCo2O5+δ, closely related to the “112” structure. J. Solid State Chem. 1999, 142, 247–260. [Google Scholar] [CrossRef]
- Kim, J.H.; Mogni, L.; Prado, F.; Caneiro, A.; Alonso, J.A.; Manthiram, A. High temperature crystal chemistry and oxygen permeation properties of the mixed ionic–electronic conductors LnBaCo2O5+δ(Ln=Lanthanide). J. Electrochem. Soc. 2009, 156, B1376–B1382. [Google Scholar] [CrossRef]
- Wang, H.; Lei, Z.; Jing, J.; Xu, X.; Jiang, W.; Yang, Z.; Peng, S. Evaluation of NdBaCo2O5+δ oxygen electrode combined with negative expansion material for reversible solid oxide cells. J. Eur. Ceram. Soc. 2022, 42, 4259–4265. [Google Scholar] [CrossRef]
- Zhao, L.; Shen, J.; He, B.; Chen, F.; Xia, C. Synthesis, characterization and evaluation of PrBaCo2−xFexO5+δ as cathodes for intermediate-temperature solid oxide fuel cells. Int. J. Hydrogen Energy 2011, 36, 3658–3665. [Google Scholar] [CrossRef]
- Seymour, I.D.; Tarancón, A.; Chroneos, A.; Parfitt, D.; Kilner, J.A.; Grimes, R.W. Anisotropic oxygen diffusion in PrBaCo2O5.5 double perovskites. Solid State Commun. 2012, 216, 41–43. [Google Scholar] [CrossRef]
- Parfitt, D.; Chroneos, A.; Tarancón, A.; Kilner, J.A. Oxygen ion diffusion in cation ordered/disordered GdBaCo2O5+δ. J. Mater. Chem. 2011, 21, 2183–2186. [Google Scholar] [CrossRef]
- Anjum, U.; Agarwal, M.; Khan, T.S.; Prateek; Gupta, R.K.; Haider, M.A. Controlling surface cation segregation in a nanostructured double perovskite GdBaCo2O5+δ electrode for solid oxide fuel cells. Nanoscale 2019, 11, 21404–21418. [Google Scholar] [CrossRef]
- Wei, B.; Schroeder, M.; Martin, M. Surface cation segregation and chromium deposition on the double-perovskite oxide PrBaCo2O5+δ. ACS Appl. Mater. Inter. 2018, 10, 8621–8629. [Google Scholar] [CrossRef]
- Jun, A.; Kim, J.; Shin, J.; Kim, G. Perovskite as a cathode material: A review of its role in solid-oxide fuel cell technology. ChemElectroChem 2016, 3, 511–530. [Google Scholar] [CrossRef]
- Kim, Y.N.; Kim, J.H.; Manthiram, A. Effect of Fe substitution on the structure and properties of LnBaCo2−xFexO5+δ (Ln=Nd and Gd) cathodes. J. Power Sources 2010, 195, 6411–6419. [Google Scholar] [CrossRef]
- Che, X.; Shen, Y.; Li, H.; He, T. Assessment of LnBaCo1.6Ni0.4O5+δ (Ln=Pr, Nd, and Sm) double-perovskites as cathodes for intermediate-temperature solid-oxide fuel cells. J. Power Sources 2013, 222, 288–293. [Google Scholar] [CrossRef]
- Zhang, L.; Chen, G.; Dai, R.; Lv, X.; Yang, D.; Geng, S. A review of the chemical compatibility between oxide electrodes and electrolytes in solid oxide fuel cells. J. Power Sources 2021, 492, 229630. [Google Scholar] [CrossRef]
- Gu, H.; Chen, H.; Gao, L.; Guo, L. Electrochemical properties of LaBaCo2O5+δ–Sm0.2Ce0.8O1.9 composite cathodes for intermediate-temperature solid oxide fuel cells. Electrochim. Acta 2009, 54, 7094–7098. [Google Scholar] [CrossRef]
- Lü, S.; Meng, X.; Zhang, Y.; Yang, J.; Wei, M.; Liu, Y.; Li, X.; Fu, C.; Ji, Y. Performances of SmBaCoCuO5+δ–Ce0.9Gd0.1O1.95 composite cathodes for intermediate-temperature solid oxide fuel cells. Int. J. Hydrogen Energy 2012, 37, 18319–18325. [Google Scholar] [CrossRef]
- Wang, S.-F.; Hsu, Y.-F.; Liao, Y.-L.; Huang, S.-T.; Jasinski, P. High-performance NdSrCo2O5+δ–Ce0.8Gd0.2O2−δ composite cathodes for electrolyte-supported microtubular solid oxide fuel cells. Int. J. Hydrogen Energy 2021, 46, 31778–31787. [Google Scholar] [CrossRef]
- Casallas-Caicedo, F.M.; Vera-López, E.; Roa-Rojas, J. Impedance spectroscopy study of electrical response and correlation with structural properties in the La2SrFe2CoO9 triple complex perovskite. Phys. B 2021, 607, 412865. [Google Scholar] [CrossRef]
- Hodgkins, T.L.; Savory, C.N.; Bass, K.K.; Seckman, B.L.; Scanlon, D.O.; Djurovich, P.I.; Thompson, M.E.; Melot, B.C. Anionic order and band gap engineering in vacancy ordered triple perovskites. Chem. Commun. 2019, 55, 3164–3167. [Google Scholar] [CrossRef] [Green Version]
- Tomar, A.K.; Joshi, A.; Singh, G.; Sharma, R.K. Triple perovskite oxide as an advanced pseudocapacitive material: Multifarious element approach with an ordered structure. J. Mater. Chem. A 2020, 8, 24013–24023. [Google Scholar] [CrossRef]
- Kim, N.-I.; Sa Young, J.; Yoo Tae, S.; Choi Sung, R.; Afzal Rana, A.; Choi, T.; Seo, Y.-S.; Lee, K.-S.; Hwang Jun, Y.; Choi Woo, S.; et al. Oxygen-deficient triple perovskites as highly active and durable bifunctional electrocatalysts for oxygen electrode reactions. Sci. Adv. 2018, 4, eaap9360. [Google Scholar] [CrossRef] [Green Version]
- Jiang, L.; Wei, T.; Zeng, R.; Zhang, W.-X.; Huang, Y.-H. Thermal and electrochemical properties of PrBa0.5Sr0.5Co2−xFexO5+δ (x=0.5, 1.0, 1.5) cathode materials for solid-oxide fuel cells. J. Power Sources 2013, 232, 279–285. [Google Scholar] [CrossRef]
- Guo, W.; Guo, R.; Cai, G.; Wu, C.; Liu, Z. Preparation and characterization of PrBaCo1.9Ni0.1O5–Ce0.8Sm0.2O1.9 composite cathodes for intermediate temperature solid oxide fuel cells. Solid State Ion. 2015, 283, 10–15. [Google Scholar] [CrossRef]
- Lee, K.T.; Manthiram, A. Comparison of Ln0.6Sr0.4CoO3−δ (Ln=La, Pr, Nd, Sm, and Gd) as Cathode Materials for Intermediate Temperature Solid Oxide Fuel Cells. J. Electrochem. Soc. 2006, 153, A794. [Google Scholar] [CrossRef]
- Zhang, H.; Zhao, L.; Jian, B.; Jin, J.; Zhang, H. Oxygen diffusion and electrochemical performance of La0.6−xSr0.4BaxCo1−yFeyO3−δ. J. Mater. Sci. Mater. Electron. 2019, 30, 20050–20057. [Google Scholar] [CrossRef]
- Li, K.; Xue, D. Estimation of electronegativity values of elements in different valence states. J. Phys. Chem. A 2006, 110, 11332–11337. [Google Scholar] [CrossRef] [PubMed]
- Jørgensen, M.; Primdahl, S.; Mogensen, M. Characterisation of Composite SOFC Cathodes Using Electrochemical Impedance Spectroscopy. Electrochim. Acta 1999, 44, 4195–4201. [Google Scholar] [CrossRef]
- Kawada, T.; Suzuki, J.; Sase, M.; Kaimai, A.; Yashiro, K.; Nigara, Y.; Mizusaki, J.; Kawamura, K.; Yugami, H. Determination of Oxygen Vacancy Concentration in a Thin Film of La0.6Sr0.4CoO3−δ by an Electrochemical Method. J. Electrochem. Soc. 2002, 149, E252. [Google Scholar] [CrossRef]
- Baumann, F.S.; Fleig, J.r.; Konuma, M.; Starke, U.; Habermeier, H.-U.; Maier, J. Strong Performance Improvement of La0.6Sr0.4Co0.8Fe0.2O3−δ SOFC Cathodes by Electrochemical Activation. J. Electrochem. Soc. 2005, 152, A2074. [Google Scholar] [CrossRef]
- Ji, Y.; Wang, H.; Zhang, H. Gd0.8Sr0.2CoO3−δ–Sm0.1Ce0.9O1.95 composite cathode for intermediate temperature solid oxide fuel cells. Mater. Res. Bull. 2017, 85, 30–34. [Google Scholar] [CrossRef]
- Li, S.; Xia, T.; Li, Q.; Sun, L.; Huo, L.; Zhao, H. A-site Ba-deficiency layered perovskite EuBa1−xCo2O6−δ cathodes for intermediate-temperature solid oxide fuel cells: Electrochemical properties and oxygen reduction reaction kinetics. Int. J. Hydrogen Energy 2017, 42, 24412–24425. [Google Scholar] [CrossRef]
- Liu, M.; Fu, X.; Meng, X.; Lü, S.; Ren, S.; Liu, X.; Wang, F.; Fan, H.; Chen, Y.; Wang, L. Enhanced electrochemical performance of the YBa0.5Sr0.5Co1.4Cu0.6O5+δ cathode material by Sm0.2Ce0.8O1.9 incorporation for solid oxide fuel cells application. J. Solgel Sci. Technol. 2020, 96, 742–752. [Google Scholar] [CrossRef]










| NBCFM | SDC | ||
|---|---|---|---|
| Phase structure | Tetragonal | Cubic | |
| Space group | P4/mmm | Fm–3m | |
| Lattice parameter | a (Å) | 3.8855 | 5.411 |
| b (Å) | 3.8855 | 5.411 | |
| c (Å) | 11.6897 | 5.411 | |
| Unit cell volume (Å3) | 176.4807 | 158.428 |
| Samples | RP1 (Ω cm2) | RP2 (Ω cm2) | ASR (Ω cm2) |
|---|---|---|---|
| NBCFM | 0.1073 | 0.0514 | 0.1587 |
| NBCFM-10%SDC | 0.0615 | 0.0487 | 0.1102 |
| NBCFM-20%SDC | 0.0323 | 0.0640 | 0.0963 |
| NBCFM-30%SDC | 0.0234 | 0.0422 | 0.0656 |
| NBCFM-40%SDC | 0.0667 | 0.0252 | 0.0919 |
Publisher’s Note: MDPI stays neutral with regard to jurisdictional claims in published maps and institutional affiliations. |
© 2022 by the authors. Licensee MDPI, Basel, Switzerland. This article is an open access article distributed under the terms and conditions of the Creative Commons Attribution (CC BY) license (https://creativecommons.org/licenses/by/4.0/).
Share and Cite
Chen, Y.; Yu, T.; Jin, J.; Zhang, H. Triple Perovskite Nd1.5Ba1.5CoFeMnO9−δ-Sm0.2Ce0.8O1.9 Composite as Cathodes for the Intermediate Temperature Solid Oxide Fuel Cells. Materials 2022, 15, 3663. https://doi.org/10.3390/ma15103663
Chen Y, Yu T, Jin J, Zhang H. Triple Perovskite Nd1.5Ba1.5CoFeMnO9−δ-Sm0.2Ce0.8O1.9 Composite as Cathodes for the Intermediate Temperature Solid Oxide Fuel Cells. Materials. 2022; 15(10):3663. https://doi.org/10.3390/ma15103663
Chicago/Turabian StyleChen, Yunru, Tao Yu, Jiang Jin, and Hua Zhang. 2022. "Triple Perovskite Nd1.5Ba1.5CoFeMnO9−δ-Sm0.2Ce0.8O1.9 Composite as Cathodes for the Intermediate Temperature Solid Oxide Fuel Cells" Materials 15, no. 10: 3663. https://doi.org/10.3390/ma15103663
APA StyleChen, Y., Yu, T., Jin, J., & Zhang, H. (2022). Triple Perovskite Nd1.5Ba1.5CoFeMnO9−δ-Sm0.2Ce0.8O1.9 Composite as Cathodes for the Intermediate Temperature Solid Oxide Fuel Cells. Materials, 15(10), 3663. https://doi.org/10.3390/ma15103663

