Sign in to use this feature.

Years

Between: -

Subjects

remove_circle_outline
remove_circle_outline
remove_circle_outline
remove_circle_outline
remove_circle_outline
remove_circle_outline
remove_circle_outline
remove_circle_outline
remove_circle_outline

Journals

remove_circle_outline
remove_circle_outline
remove_circle_outline
remove_circle_outline

Article Types

Countries / Regions

remove_circle_outline
remove_circle_outline
remove_circle_outline

Search Results (1,010)

Search Parameters:
Keywords = composite cathode

Order results
Result details
Results per page
Select all
Export citation of selected articles as:
19 pages, 2645 KB  
Article
Sol–Gel Synthesis of Carbon-Containing Na3V2(PO4)3: Influence of the NASICON Crystal Structure on Cathode Material Properties
by Oleg O. Shichalin, Zlata E. Priimak, Alina Seroshtan, Polina A. Marmaza, Nikita P. Ivanov, Anton V. Shurygin, Danil K. Tsygankov, Roman I. Korneikov, Vadim V. Efremov, Alexey V. Ognev and Eugeniy K. Papynov
J. Compos. Sci. 2025, 9(10), 543; https://doi.org/10.3390/jcs9100543 - 3 Oct 2025
Abstract
With the rapid advancement of energy storage technologies, there is a growing demand for affordable, efficient, and environmentally benign battery systems. Sodium-ion batteries (SIBs) present a promising alternative to lithium-ion systems due to sodium’s high abundance and similar electrochemical properties. Particular attention is [...] Read more.
With the rapid advancement of energy storage technologies, there is a growing demand for affordable, efficient, and environmentally benign battery systems. Sodium-ion batteries (SIBs) present a promising alternative to lithium-ion systems due to sodium’s high abundance and similar electrochemical properties. Particular attention is given to developing NASICON -sodium (Na) super ionic conductor, type cathode materials, especially Na3V2(PO4)3, which exhibits high thermal and structural stability. This study focuses on the sol–gel synthesis of Na3V2(PO4)3 using citric acid and ethylene glycol, as well as investigating the effect of annealing temperature (400–1000 °C) on its structural and electrochemical properties. Phase composition, morphology, textural characteristics, and electrochemical performance were systematically analyzed. Above 700 °C, a highly crystalline NASICON phase free of secondary impurities was formed, as confirmed by X-ray diffraction (XRD). Microstructural evolution revealed a transition from a loose amorphous structure to a dense granular morphology, accompanied by changes in specific surface area and porosity. The highest surface area (67.40 m2/g) was achieved at 700 °C, while increasing the temperature to 1000 °C caused pore collapse due to sintering. X-ray photoelectron spectroscopy (XPS) confirmed the predominant presence of V3+ ions and the formation of V4+ at the highest temperature. The optimal balance of high crystallinity, uniform elemental distribution, and stable texture was achieved at 900 °C. Electrochemical testing in a Na/NVP half-cell configuration delivered an initial capacity of 70 mAh/g, which decayed to 55 mAh/g by the 100th cycle, attributed to solid-electrolyte interphase (SEI) formation and irreversible Na+ trapping. These results demonstrate that the proposed approach yields high-quality Na3V2(PO4)3 cathode materials with promising potential for sodium-ion battery applications. Full article
(This article belongs to the Special Issue Composite Materials for Energy Management, Storage or Transportation)
16 pages, 4514 KB  
Article
LATP-Enhanced Polymer Electrolyte for an Integrated Solid-State Battery
by Xianzheng Liu, Nashrah Hani Jamadon, Liancheng Zheng, Rongji Tang and Xiangjun Ren
Polymers 2025, 17(19), 2673; https://doi.org/10.3390/polym17192673 - 2 Oct 2025
Abstract
Traditional liquid electrolyte batteries face safety concerns such as leakage and flammability, while further optimization has reached a bottleneck. Solid electrolytes are therefore considered a promising solution. Here, a PEO–LiTFSI–LATP (PELT) composite electrolyte was developed by incorporating nanosized Li1.3Al0.3Ti [...] Read more.
Traditional liquid electrolyte batteries face safety concerns such as leakage and flammability, while further optimization has reached a bottleneck. Solid electrolytes are therefore considered a promising solution. Here, a PEO–LiTFSI–LATP (PELT) composite electrolyte was developed by incorporating nanosized Li1.3Al0.3Ti1.7(PO4)3 fillers into a polyethylene oxide matrix, effectively reducing crystallinity, enhancing mechanical robustness, and providing additional Li+ transport channels. The PELT electrolyte exhibited an electrochemical stability window of 4.9 V, an ionic conductivity of 1.2 × 10−4 S·cm−1 at 60 °C, and a Li+ transference number (tLi+) of 0.46, supporting stable Li plating/stripping for over 600 h in symmetric batteries. More importantly, to address poor electrode–electrolyte contact in conventional layered cells, we proposed an integrated electrode–electrolyte architecture by in situ coating the PELT precursor directly onto LiFePO4 cathodes. This design minimized interfacial impedance, improved ion transport, and enhanced electrochemical stability. The integrated PELT/LFP battery retained 74% of its capacity after 200 cycles at 1 A·g−1 and showed superior rate capability compared with sandwich-type batteries. These results highlight that coupling LATP-enhanced polymer electrolytes with an integrated architecture is a promising pathway toward high-safety, high-performance solid-state lithium-ion batteries. Full article
Show Figures

Figure 1

46 pages, 1449 KB  
Review
MXenes in Solid-State Batteries: Multifunctional Roles from Electrodes to Electrolytes and Interfacial Engineering
by Francisco Márquez
Batteries 2025, 11(10), 364; https://doi.org/10.3390/batteries11100364 - 2 Oct 2025
Abstract
MXenes, a rapidly emerging family of two-dimensional transition metal carbides and nitrides, have attracted considerable attention in recent years for their potential in next-generation energy storage technologies. In solid-state batteries (SSBs), they combine metallic-level conductivity (>103 S cm−1), adjustable surface [...] Read more.
MXenes, a rapidly emerging family of two-dimensional transition metal carbides and nitrides, have attracted considerable attention in recent years for their potential in next-generation energy storage technologies. In solid-state batteries (SSBs), they combine metallic-level conductivity (>103 S cm−1), adjustable surface terminations, and mechanical resilience, which makes them suitable for diverse functions within the cell architecture. Current studies have shown that MXene-based anodes can deliver reversible lithium storage with Coulombic efficiencies approaching ~98% over 500 cycles, while their use as conductive additives in cathodes significantly improves electron transport and rate capability. As interfacial layers or structural scaffolds, MXenes effectively buffer volume fluctuations and suppress lithium dendrite growth, contributing to extended cycle life. In solid polymer and composite electrolytes, MXene fillers have been reported to increase Li+ conductivity to the 10−3–10−2 S cm−1 range and enhance Li+ transference numbers (up to ~0.76), thereby improving both ionic transport and mechanical stability. Beyond established Ti-based systems, double transition metal MXenes (e.g., Mo2TiC2, Mo2Ti2C3) and hybrid heterostructures offer expanded opportunities for tailoring interfacial chemistry and optimizing energy density. Despite these advances, large-scale deployment remains constrained by high synthesis costs (often exceeding USD 200–400 kg−1 for Ti3C2Tx at lab scale), restacking effects, and stability concerns, highlighting the need for greener etching processes, robust quality control, and integration with existing gigafactory production lines. Addressing these challenges will be crucial for enabling MXene-based SSBs to transition from laboratory prototypes to commercially viable, safe, and high-performance energy storage systems. Beyond summarizing performance, this review elucidates the mechanistic roles of MXenes in SSBs—linking lithiophilicity, field homogenization, and interphase formation to dendrite suppression at Li|SSE interfaces, and termination-assisted salt dissociation, segmental-motion facilitation, and MWS polarization to enhanced electrolyte conductivity—thereby providing a clear design rationale for practical implementation. Full article
(This article belongs to the Collection Feature Papers in Batteries)
13 pages, 3844 KB  
Article
Atypical Analysis of a Graphite-Based Anode Prepared Using Aqueous Processes
by Kuan-Yi Liao, Chia-Chin Chang, Yuh-Lang Lee and Ten-Chin Wen
Molecules 2025, 30(19), 3947; https://doi.org/10.3390/molecules30193947 - 1 Oct 2025
Abstract
In order to form a solid electrolyte interphase (SEI) layer using aqueous processes, a graphite anode called MG-AQP was designed by wrapping and crosslinking graphite particles with aqueous composites (AQCs), which contained zwitterionic polymer, zwitterion molecules, and lithium salts. First, MG-AQP was used [...] Read more.
In order to form a solid electrolyte interphase (SEI) layer using aqueous processes, a graphite anode called MG-AQP was designed by wrapping and crosslinking graphite particles with aqueous composites (AQCs), which contained zwitterionic polymer, zwitterion molecules, and lithium salts. First, MG-AQP was used to fabricate a full lithium-ion battery (LIB) cell with Li[Ni0.8Mn0.1Co0.1]O2 (NMC811) as the cathode, denoted as LIB-MG-AQP//NMC811, to demonstrate its performance via a 0.5 C-rate break-in and 1 C-rate cycling. Accordingly, this showed that LIB-MG-AQP exhibits outstanding cyclic stability. To evaluate its electrochemical performance, MG-AQP and lithium metal were used to fabricate a half cell named LIBs-MG-AQP. According to the initial cyclic voltammetry curve, almost no surface reaction for forming an SEI layer exists in LIBs-MG-AQP, illustrating its high initial coulombic efficiency of 92% at a 0.5 C-rate break-in. These outstanding results are due to the fact that the AQC has fewer cracks, thus blocking solvent molecules from passing from the electrolyte into the graphite anode. This study provides new insights to optimize graphite anodes via 0.5 C-rate break-in rather than conventional SEI formation to save time and energy. Full article
(This article belongs to the Special Issue Carbon-Based Electrochemical Materials for Energy Storage)
Show Figures

Figure 1

35 pages, 5230 KB  
Article
Electrochemical Performances of Li-Ion Batteries Based on LiFePO4 Cathodes Supported by Bio-Sourced Activated Carbon from Millet Cob (MC) and Water Hyacinth (WH)
by Wend-Waoga Anthelme Zemane and Oumarou Savadogo
Batteries 2025, 11(10), 361; https://doi.org/10.3390/batteries11100361 - 30 Sep 2025
Abstract
The electrochemical performance of Li-ion batteries employing LiFePO4 (LFP) cathodes supported by bio-sourced activated carbon derived from millet cob (MC) and water hyacinth (WH) were systematically investigated. Carbon activation was carried out using potassium hydroxide (KOH) at varying mass ratios of KOH [...] Read more.
The electrochemical performance of Li-ion batteries employing LiFePO4 (LFP) cathodes supported by bio-sourced activated carbon derived from millet cob (MC) and water hyacinth (WH) were systematically investigated. Carbon activation was carried out using potassium hydroxide (KOH) at varying mass ratios of KOH to precursor material: 1:1, 2:1, and 5:1 for both WH and MC-derived carbon. The physical properties (X-ray diffraction patterns, BET surface area, micropore and mesopore volume, conductivity, etc.) and electrochemical performance (specific capacity, discharge at various current rates, electrochemical impedance measurement, etc.) were determined. Material characterization revealed that the activated carbon derived from MC exhibits an amorphous structure, whereas that obtained from WH is predominantly crystalline. High specific surface areas were achieved with activated carbons synthesized using a low KOH-to-carbon mass ratio (1:1), reaching 413.03 m2·g−1 for WH and 216.34 m2·g−1 for MC. However, larger average pore diameters were observed at higher activation ratios (5:1), measuring 8.38 nm for KOH/WH and 5.28 nm for KOH/MC. For both biomass-derived carbons, optimal electrical conductivity was obtained at a 2:1 activation ratio, with values of 14.7 × 10−3 S·cm−1 for KOH/WH and 8.42 × 10−3 S·cm−1 for KOH/MC. The electrochemical performance of coin cells based on cathodes composed of 85% LiFePO4, 8% of these activated carbons, and 7% polyvinylidene fluoride (PVDF) as a binder, with lithium metal as the anode were studied. The LiFePO4/C (LFP/C) cathodes exhibited specific capacities of up to 160 mAh·g−1 at a current rate of C/12 and 110 mAh·g−1 at 5C. Both LFP/MC and LFP/WH cathodes exhibit optimal energy density at specific values of pore size, pore volume, charge transfer resistance (Rct), and diffusion coefficient (DLi), reflecting a favorable balance between ionic transport, accessible surface area, and charge conduction. Maximum energy densities relative to active mass were recorded at 544 mWh·g−1 for LFP/MC 2:1, 554 mWh·g−1 for LFP/WH 2:1, and 568 mWh·g−1 for the reference LFP/graphite system. These performance results demonstrate that the development of high-performing bio-sourced activated carbon depends on the optimization of various parameters, including chemical composition, specific surface area, pore volume and size distribution, as well as electrical conductivity. Full article
Show Figures

Figure 1

23 pages, 1147 KB  
Article
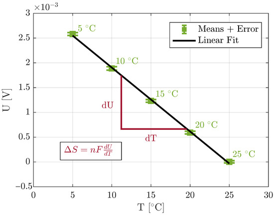
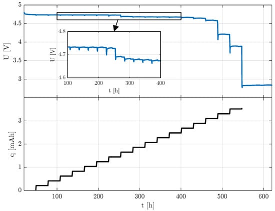
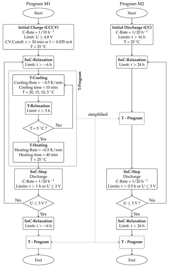
Understanding Heat Generation of LNMO Cathodes in Lithium-Ion Batteries via Entropy and Resistance
by Kevin Böhm, Aleksandr Kondrakov, Torsten Markus and David Henriques
Batteries 2025, 11(10), 357; https://doi.org/10.3390/batteries11100357 - 28 Sep 2025
Abstract
The heat generation of lithium-ion batteries is a critical parameter, as it significantly affects cell temperature. Poor thermal management can lead to elevated cell temperatures, accelerating side reactions, reducing cell lifetime, and, in extreme cases, causing thermal runaway. Therefore, understanding heat generation is [...] Read more.
The heat generation of lithium-ion batteries is a critical parameter, as it significantly affects cell temperature. Poor thermal management can lead to elevated cell temperatures, accelerating side reactions, reducing cell lifetime, and, in extreme cases, causing thermal runaway. Therefore, understanding heat generation is crucial for the commercialization of emerging battery materials. Due to its high energy density, lithium–nickel–manganese–oxide (LNMO) is an attractive candidate for next-generation cathode materials; however, the composition of its heat generation is not yet fully understood. To address this, the state-of-charge (SoC)-dependent entropy coefficient and resistance of disordered LNMO cathodes are determined using the potentiometric method. The results show that both values are strongly influenced by the redox reactions of Ni and Mn. The entropy coefficient varies between 5.2 and −32.4 J mol1 K1, depending on the SoC. Furthermore, the resistance exhibits a switching dependence on kinetics and mass transfer. The resulting heat flux calculations indicate that, at SoC < 20%, heat generation is dominated by the kinetic behavior of LNMO, leading to two exothermal peaks during discharge and one exothermal peak during charge. This behavior is validated through a comparison with a low-current calorimetric measurement. Full article
Show Figures

Graphical abstract

35 pages, 9383 KB  
Review
Advances in Integrated Extraction of Valuable Components from Ti-Bearing Slag
by Chenhui Li, Peipei Du, Jiansong Zhang, Suxing Zhao, Minglei Gao, Qianhua Wang, Tielei Tian, Lanjie Li and Yue Long
Metals 2025, 15(10), 1080; https://doi.org/10.3390/met15101080 - 27 Sep 2025
Abstract
Ti-bearing blast furnace slag (TBS), a byproduct of vanadium–titanium magnetite smelting, serves as an important secondary resource for titanium recovery. However, the complex mineralogical composition and finely dispersed nature of titanium in TBS present significant challenges for efficient extraction. This review systematically examines [...] Read more.
Ti-bearing blast furnace slag (TBS), a byproduct of vanadium–titanium magnetite smelting, serves as an important secondary resource for titanium recovery. However, the complex mineralogical composition and finely dispersed nature of titanium in TBS present significant challenges for efficient extraction. This review systematically examines four major titanium extraction routes: hydrometallurgical leaching, pyrometallurgical smelting, molten salt electrolysis, and selective precipitation, focusing on their limitations and recent improvements. For instance, conventional acid leaching suffers from acid mist release, a colloidal formation that hinders titanium recovery, and waste acid pollution. The adoption of concentrated sulfuric acid roasting activation effectively suppresses acid mist emission and prevents colloidal generation. Pyrometallurgical approaches are hampered by high energy consumption and substantial carbon emissions, which can be alleviated through the use of gaseous reductants to enhance reaction efficiency and reduce environmental impact. Molten electrolysis faces issues such as polarization and undesirable dendritic deposition; these are mitigated by employing liquid metal cathodes integrated with vacuum distillation to achieve high-purity titanium products. Selective precipitation struggles with strict crystallization conditions and low separation efficiency, though advanced techniques like supergravity separation show improved extraction performance. We propose an integrated technical strategy termed “Online conditioning driven by waste heat-mineral phase reconstruction-directional crystallization-optimized liberation.” This approach utilizes the inherent waste heat of slag combined with electromagnetic stirring to enhance homogeneity and promote efficient titanium recovery, offering a sustainable and scalable solution for industrial TBS treatment. Full article
Show Figures

Graphical abstract

15 pages, 2425 KB  
Article
Promising Pre-Lithiation Agent Li2C2O4@KB for High-Performance NCM622 Cell
by Boqun Xia, Guangwan Zhang, Feng Tao and Meng Huang
Materials 2025, 18(19), 4467; https://doi.org/10.3390/ma18194467 - 25 Sep 2025
Abstract
In conventional lithium-ion batteries (LIBs), active lithium loss during solid electrolyte interphase (SEI) formation reduces coulombic efficiency and energy density. Cathode pre-lithiation can effectively compensate for this irreversible lithium consumption. To address limitations of conventional pre-lithiation agents—such as complex synthesis and air instability—a [...] Read more.
In conventional lithium-ion batteries (LIBs), active lithium loss during solid electrolyte interphase (SEI) formation reduces coulombic efficiency and energy density. Cathode pre-lithiation can effectively compensate for this irreversible lithium consumption. To address limitations of conventional pre-lithiation agents—such as complex synthesis and air instability—a Ketjen black-coated lithium oxalate nanocomposite (Li2C2O4@KB) using high-energy ball milling and spray drying was developed. This composite leverages the advantages of Li2C2O4, including a mild decomposition potential (4.26 V vs. Li+/Li), high theoretical lithium compensation capacity (525 mAh·g−1), and environmentally benign decomposition products, and significantly improves electronic conductivity and reduces particle size. When incorporated in NCM622 full cells, the initial capacity is increased by 18.21 mAh·g−1 at 0.3 C, with a 29.22% enhancement in capacity retention after 50 cycles at 0.3 C. At 1 C, the initial capacity is higher by 15.79 mAh·g−1, accompanied with a 7.72% improvement in retention after 100 cycles. The Li2C2O4@KB composite exhibits great promise as a practical and efficient cathode pre-lithiation additive for next-generation high-energy-density LIBs. Full article
Show Figures

Figure 1

25 pages, 6367 KB  
Article
Multiphysics Optimization of Graphite-Buffered Bilayer Anodes with Diverse Inner Materials for High-Energy Lithium-Ion Batteries
by Juan C. Rubio and Martin Bolduc
Batteries 2025, 11(10), 350; https://doi.org/10.3390/batteries11100350 - 25 Sep 2025
Abstract
This study presents a multiphysics simulation approach to optimize graphite-buffered bilayer anodes for enhanced energy density in lithium-ion batteries, assessing the electrochemical impact of diverse inner-layer materials, including silicon, hard carbon, lithium titanate (LTO), and metallic lithium, in pure and graphite-composite forms. A [...] Read more.
This study presents a multiphysics simulation approach to optimize graphite-buffered bilayer anodes for enhanced energy density in lithium-ion batteries, assessing the electrochemical impact of diverse inner-layer materials, including silicon, hard carbon, lithium titanate (LTO), and metallic lithium, in pure and graphite-composite forms. A coupled finite-element model implemented in COMSOL Multiphysics 6.2 was used to integrate spherical lithium diffusion, charge conservation, and the solid electrolyte interphase (SEI) formation kinetics. The evaluated anode structure consisted of a 60 µm-thick bilayer: a 30 µm graphite surface layer coupled with a 30 µm inner layer of alternative active materials. Simulations were performed using an NMC622 cathode, LiPF6 in EC:EMC electrolyte, at room temperature, under a charge rate of 1 C, considering realistic particle sizes (graphite: 2.5 µm; Si: 0.1 µm; hard carbon: 2.5 µm; LTO: 0.2 µm; Li metal: 0.5 µm), and evaluated over 2000 cycles. The hard carbon/graphite configuration exhibited a capacity fade of 5.8% compared with 7.1% in pure graphite. Additionally, the SEI thickness decreased to 0.20 µm (from 0.25 µm), the overpotential dropped to −17 mV (from −59 mV), and the electrolyte consumption was reduced to 20.8% (from 42.9%). The analysis highlights hard carbon and LTO inner layers as optimal trade-offs between capacity and cycle stability, whereas silicon and lithium metal significantly increased the initial capacity but accelerated SEI formation and impedance growth. These findings demonstrate the graphite-buffered bilayer’s potential to decouple interfacial degradation from high-capacity materials, providing valuable guidelines for the design of advanced lithium-ion battery anodes. Full article
Show Figures

Figure 1

20 pages, 6754 KB  
Article
Study on the Wear Behavior Mechanism of SUS304 Stainless Steel During the Homogenization Process of LFP/NCM Slurry
by Xiangli Wen, Mingkun Bi, Lvzhou Li and Jianning Ding
Materials 2025, 18(19), 4457; https://doi.org/10.3390/ma18194457 - 24 Sep 2025
Viewed by 31
Abstract
During the homogenization process of lithium battery slurry, the slurry shearing process causes the surface of the homogenization equipment to wear and generate metal containing debris, which poses a risk of inducing battery self-discharge and even explosion. Therefore, inhibiting wear of homogenizing equipment [...] Read more.
During the homogenization process of lithium battery slurry, the slurry shearing process causes the surface of the homogenization equipment to wear and generate metal containing debris, which poses a risk of inducing battery self-discharge and even explosion. Therefore, inhibiting wear of homogenizing equipment is imperative, and systematic investigation into the wear behavior and underlying mechanisms of SUS304 stainless steel during homogenization is urgently required. In this study, lithium iron phosphate (LFP) and lithium nickel cobalt manganese oxide (NCM) cathode slurries were used as research objects. Changes in surface parameters, microstructure, and elemental composition of the wear region on SUS304 stainless steel under different working conditions were characterized. The results indicate that in the SUS304-lithium-ion battery slurry system, the potential wear mechanism of SUS304 gradually evolves with changes in load and rotational speed, following the order: adhesive wear (low speed, low load) → abrasive wear (medium speed, high load) → fatigue wear (high speed). Under high-load and high-rotational-speed conditions, oxidative corrosion wear on the ball–disc contact surface is particularly pronounced. Additionally, wear of SUS304 is more severe in the LFP slurry system compared to the NCM system. Macroscopic experiments also revealed that the speed effect is a core factor influencing the wear of SUS304, and the increase in its wear rate is more than twice that caused by the load effect. This study helps to clarify the wear behavior and wear mechanism evolution of homogenization equipment during the lithium battery homogenization process, providing data support and optimization direction for subsequent material screening and surface strengthening treatment of homogenization equipment components. Full article
Show Figures

Figure 1

16 pages, 2009 KB  
Article
Effects of Ni Content on Energy Density, Capacity Fade and Heat Generation in Li[NixMnyCoz]O2/Graphite Lithium-Ion Batteries
by Gaoyong Zhang, Shuhuang Tan, Chengqi Sun, Kun Zhang, Banglin Deng and Cheng Liao
Micromachines 2025, 16(10), 1075; https://doi.org/10.3390/mi16101075 - 23 Sep 2025
Viewed by 145
Abstract
The demand for high energy density in mobile devices (including vehicles and small ships) is increasing. Nickel–Manganese–Cobalt (NMC) ternary, as a battery cathode material, is increasingly being applied because of its higher energy density relative to LiFePO4 or other traditional materials. But [...] Read more.
The demand for high energy density in mobile devices (including vehicles and small ships) is increasing. Nickel–Manganese–Cobalt (NMC) ternary, as a battery cathode material, is increasingly being applied because of its higher energy density relative to LiFePO4 or other traditional materials. But NMC also faces challenges, such as a high degeneration rate and heat generation. So these aspects of Ni content must be clarified. In the current study, two Ni-content battery cells were tested, and the results of other composition cathode cells from the literature were compared. And three typical Ni-content batteries were simulated for searching Ni effects on performance, capacity fade and heat generation. Some findings were achieved: (1) from 0.8 Ni content, it can be seen that the specific capacity growth rate (slope) was much greater than before; (2) cathode materials that have an odd number (that does not surpass 0.7) of Ni content showed a linear capacity degradation trend, but others did not; (3) the Li concentration within material particles did not correspond to absolute stress value but stress temporal gradient; and (4) during discharge, lower Ni content made the heat peak occur earlier but lowered the absolute value; the irreversible heat increased with Ni content non-linearly, so that the higher the Ni content went up, the higher the increase rate of the irreversible heat ratio. Thus, the results of this study can guide the design and application of high energy batteries for mobile devices. Full article
(This article belongs to the Section E:Engineering and Technology)
Show Figures

Figure 1

11 pages, 2071 KB  
Article
Composite Electroforming of a Binder-Free Porous Ni/S-PTh Electrode for Li–S Batteries by Combining 3D Printing, Pulse Plating, and Composite Electrodeposition
by Wassima El Mofid, Robin Arnet, Oliver Kesten and Timo Sörgel
Batteries 2025, 11(9), 343; https://doi.org/10.3390/batteries11090343 - 19 Sep 2025
Viewed by 318
Abstract
A novel process for the synthesis of binder-free, porous nickel/polythiophene-functionalized sulfur (Ni/S-PTh) composite cathodes for lithium–sulfur (Li–S) batteries is introduced in this paper. Initially, a polyvinyl butyl polymer scaffold is 3D printed, then coated with a graphite-based conducting layer, and, finally, it is [...] Read more.
A novel process for the synthesis of binder-free, porous nickel/polythiophene-functionalized sulfur (Ni/S-PTh) composite cathodes for lithium–sulfur (Li–S) batteries is introduced in this paper. Initially, a polyvinyl butyl polymer scaffold is 3D printed, then coated with a graphite-based conducting layer, and, finally, it is pulse-plated for nickel deposition to produce a high-surface-area, mechanically stable current collector. S-PTh particles are afterwards co-deposited into the Ni matrix through composite electrodeposition. After the dissolution of the polymer template, the resulting self-standing electrodes still maintain porous structure with uniform sulfur distribution and a distinct transition between the dense Ni layer and the Ni/S-PTh composite layer. Electrochemical characterization of the Ni/S-PTh composite cathodes by galvanostatic cycling at C/10 rate results in an initial specific discharge capacity of ~1120 mAh·g−1 and a specific capacity of ~910 mAh·g−1 after 200 cycles, resulting in a high capacity retention of ~81 %. For our novel approach, no steps at high temperatures or toxic solvents are involved and the need for polymer binders and conductive additives is avoided. These results demonstrate the potential of composite electrodeposition in combination with 3D printing for producing sustainable, high-performance sulfur cathodes with tunable architecture. Full article
Show Figures

Figure 1

17 pages, 2175 KB  
Article
From Thermal Conversion to Cathode Performance: Acid-Activated Walnut Shell Biochar in Li–S Batteries and Its Impact on Air Quality
by Fabricio Aguirre, Guillermina Luque, Gabriel Imwinkelried, Fernando Cometto, Clara Saux, Mariano Teruel and María Belén Blanco
Thermo 2025, 5(3), 34; https://doi.org/10.3390/thermo5030034 - 19 Sep 2025
Viewed by 302
Abstract
The thermal processing of walnut shells was investigated through pyrolysis within the range of 100–650 °C, highlighting the influence of thermal engineering parameters on biomass conversion. The resulting biochar was subjected to chemical activation with phosphoric acid, and its physicochemical properties were evaluated [...] Read more.
The thermal processing of walnut shells was investigated through pyrolysis within the range of 100–650 °C, highlighting the influence of thermal engineering parameters on biomass conversion. The resulting biochar was subjected to chemical activation with phosphoric acid, and its physicochemical properties were evaluated to determine how thermal processing enhances its performance as a cathode material for lithium–sulfur (Li–S) batteries. This approach underscores the role of thermal engineering in bridging biomass valorization with energy storage technologies. In parallel, the gaseous fraction generated during walnut shell fast pyrolysis was collected, and for the first time, volatile organic compounds (VOCs) under atmospheric conditions were identified using solid-phase microextraction (SPME) coupled with gas chromatography–mass spectrometry (GC–MS). The composition of the VOCs was characterized, quantifying aromatic compounds, hydrocarbons, furans, and oxygenated species. This study further linked the thermal decomposition pathways of these compounds to their atmospheric implications by estimating tropospheric lifetimes and evaluating their potential contributions to air quality degradation at the local, regional, and global scales. Full article
Show Figures

Figure 1

28 pages, 4839 KB  
Review
Advancing Zinc–Manganese Oxide Batteries: Mechanistic Insights, Anode Engineering, and Cathode Regulation
by Chuang Zhao, Yiheng Zhou, Yudong Liu, Bo Li, Zhaoqiang Li, Yu Zhang, Deqiang Wang, Ruilin Qiu, Qilin Shuai, Yuan Xue, Haoqi Wang, Xiaojuan Shen, Wu Wen, Di Wu and Qingsong Hua
Nanomaterials 2025, 15(18), 1439; https://doi.org/10.3390/nano15181439 - 18 Sep 2025
Viewed by 385
Abstract
Rechargeable aqueous Zn-MnO2 batteries are positioned as a highly promising candidate for next-generation energy storage, owing to their compelling combination of economic viability, inherent safety, exceptional capacity (with a theoretical value of ≈308 mAh·g−1), and eco-sustainability. However, this system still [...] Read more.
Rechargeable aqueous Zn-MnO2 batteries are positioned as a highly promising candidate for next-generation energy storage, owing to their compelling combination of economic viability, inherent safety, exceptional capacity (with a theoretical value of ≈308 mAh·g−1), and eco-sustainability. However, this system still faces multiple critical challenges that hinder its practical application, primarily including the ambiguous energy storage reaction mechanism (e.g., unresolved debates on core issues such as ion transport pathways and phase transition kinetics), dendrite growth and side reactions (e.g., the hydrogen evolution reaction and corrosion reaction) on the metallic Zn anode, inadequate intrinsic electrical conductivity of MnO2 cathodes (≈10−5 S·cm−1), active material dissolution, and structural collapse. This review begins by systematically summarizing the prevailing theoretical models that describe the energy storage reactions in Zn-Mn batteries, categorizing them into the Zn2+ insertion/extraction model, the conversion reaction involving MnOx dissolution–deposition, and the hybrid mechanism of H+/Zn2+ co-intercalation. Subsequently, we present a comprehensive discussion on Zn anode protection strategies, such as surface protective layer construction, 3D structure design, and electrolyte additive regulation. Furthermore, we focus on analyzing the performance optimization strategies for MnO2 cathodes, covering key pathways including metal ion doping (e.g., introduction of heteroions such as Al3+ and Ni2+), defect engineering (oxygen vacancy/cation vacancy regulation), structural topology optimization (layered/tunnel-type structure design), and composite modification with high-conductivity substrates (e.g., carbon nanotubes and graphene). Therefore, this review aims to establish a theoretical foundation and offer practical guidance for advancing both fundamental research and practical engineering of Zn-manganese oxide secondary batteries. Full article
(This article belongs to the Section Nanoelectronics, Nanosensors and Devices)
Show Figures

Graphical abstract

20 pages, 2932 KB  
Article
Manganese-Based Electrocatalysts for Acidic Oxygen Evolution: Development and Performance Evaluation
by Giulia Cuatto, Elenia De Meis, Hilmar Guzmán and Simelys Hernández
Nanomaterials 2025, 15(18), 1434; https://doi.org/10.3390/nano15181434 - 18 Sep 2025
Viewed by 209
Abstract
Currently, the growing demand for sustainable hydrogen makes the oxygen evolution reaction (OER) increasingly important. To boost the performance of electrochemical cells for water electrolysis, both cathodic and anodic sides need to be optimized. Noble metal catalysts for the OER suffer from high [...] Read more.
Currently, the growing demand for sustainable hydrogen makes the oxygen evolution reaction (OER) increasingly important. To boost the performance of electrochemical cells for water electrolysis, both cathodic and anodic sides need to be optimized. Noble metal catalysts for the OER suffer from high costs and limited availability; therefore, developing efficient, low-cost alternatives is crucial. This work investigates manganese-based materials as potential noble-metal-free catalysts. Mn antimonates, Mn chlorates, and Mn bromates were synthesized using ultrasound-assisted techniques to enhance phase composition and homogeneity. Physicochemical characterizations were performed using X-ray diffraction (XRD) and Scanning Electron Microscopy (SEM), together with energy-dispersive X-ray spectroscopy (EDX) and surface area analyses. All samples exhibited a low surface area and inter-particle porosity within mixed crystalline phases. Among the catalysts, Mn7.5O10Br3, synthesized via ultrasound homogenization (30 min at 59 kHz) and calcined at 250 °C, showed the highest OER activity. Drop-casted on Fluorine-Doped Tin Oxide (FTO)-coated Ti mesh, it achieved an overpotential of 153 mV at 10 mA cm−2, with Tafel slopes of 103 mV dec−1 and 160 mV dec−1 at 1, 2, and 4 mA cm−2 and 6, 8, 10, and 11 mA cm−2, respectively. It also demonstrated good short-term stability (1 h) in acidic media, with a strong signal-to-noise ratio. Its short-term stability is comparable to that of the benchmark IrO2, with a potential drift of 15 mV h−1 and a standard deviation of 3 mV for the best-performing electrode. The presence of multiple phases suggests room for further optimization. Overall, this study provides a practical route for designing noble metal-free Mn-based OER catalysts. Full article
(This article belongs to the Section Energy and Catalysis)
Show Figures

Figure 1

Back to TopTop