Tensile-Tearing Fracture Analysis of U-Notched Spruce Samples
Abstract
:1. Introduction
2. Materials and Methods
2.1. Experimental Programme
2.2. Finite Element Modeling
2.3. Fracture Criteria
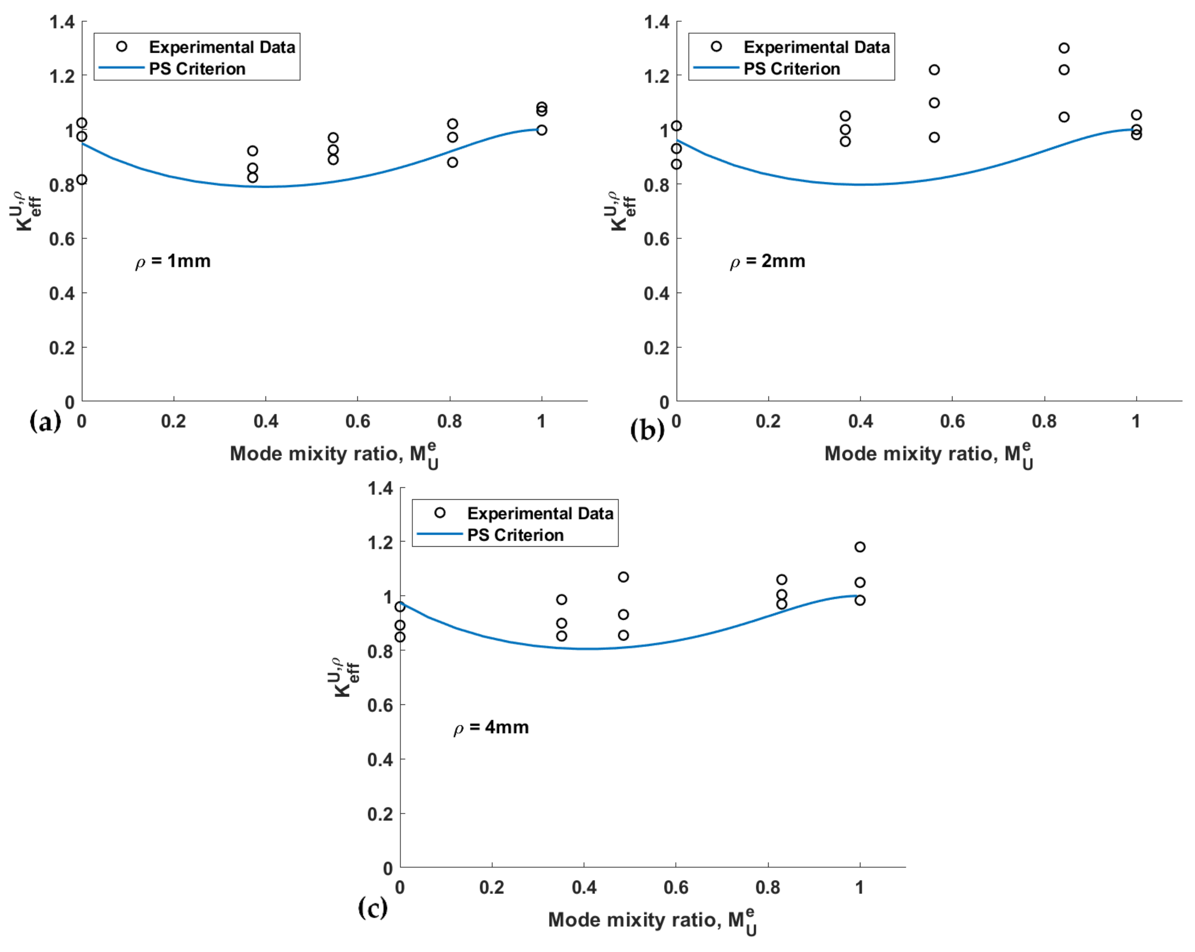
3. Results and Discussion
4. Conclusions
Author Contributions
Funding
Institutional Review Board Statement
Informed Consent Statement
Data Availability Statement
Conflicts of Interest
Nomenclature
| E | Elastic modulus |
| υ | Poisson’s ratio |
| KIc | Mode I critical-stress-intensity factor |
| KIIIc | Mode III critical-stress-intensity factor |
| ρ | Notch tip radius |
| β | Loading angle |
| σu | Ultimate tensile strength |
| rc,U, dc,U | Critical distances from the origin of the coordinate system |
| σc | Critical stress of material |
| KIU,ρ | Mode I stress intensity factor for U-notch |
| KIIIU,ρ | Mode III stress intensity factor for U-notch |
| A, A*,B, B*, C*, L, M, P, R, S, V, Z | Constants |
| ϕf | Out-of-plane fracture angle |
| r0 | Distance between the notch tip and the origin of the coordinate system |
| χb1, χc1, χd1 | Notch parameters |
| λ1, λ3, ω1, ω3, μ3 | Notch parameters |
| MUe | Mode mixity ratio |
| KeffU,ρ | Effective stress intensity factor for U-notch |
References
- Zappalorto, M.; Salviato, M. Antiplane shear stresses in orthotropic plates with lateral blunt notches. Eur. J. Mech.-A/Solids 2019, 77, 103815. [Google Scholar] [CrossRef]
- Zappalorto, M. Static notch sensitivity in orthotropic materials and composites. Eur. J. Mech.-A/Solids 2021, 85, 104094. [Google Scholar] [CrossRef]
- Torabi, A.R.; Pirhadi, E. Failure analysis of round-tip V-notched laminated composite plates under mixed mode I/II loading. Theor. Appl. Fract. Mech. 2019, 104, 102342. [Google Scholar] [CrossRef]
- Asadi, E.; Fariborz, S.J.; Fotuhi, A.R. Anti-plane analysis of orthotropic strips with defects and imperfect FGM coating. Eur. J. Mech.-A/Solids 2012, 34, 12–20. [Google Scholar] [CrossRef]
- Kumar, P.; Pathak, H.; Singh, A.; Vir Singh, I. Failure analysis of orthotropic composite material under thermo-elastic loading by XFEA. Mater. Today Proc. 2020, 26, 2163–2167. [Google Scholar] [CrossRef]
- Toktaş, S.E.; Dag, S. Oblique surface cracking and crack closure in an orthotropic medium under contact loading. Theor. Appl. Fract. Mech. 2020, 109, 102729. [Google Scholar] [CrossRef]
- Tankasala, H.C.; Deshpande, V.S.; Fleck, N.A. Crack kinking at the tip of a mode I crack in an orthotropic solid. Int. J. Fract. 2017, 207, 181–191. [Google Scholar] [CrossRef] [Green Version]
- Chalivendra, V.B. Mixed-mode crack-tip stress fields for orthotropic functionally graded materials. Acta Mech. 2009, 204, 51–60. [Google Scholar] [CrossRef]
- Phan, N.A.; Morel, S.; Chaplain, M. Mixed-mode fracture in a quasi-brittle material: R-curve and fracture criterion–Application to wood. Eng. Fract. Mech. 2016, 156, 96–113. [Google Scholar] [CrossRef]
- Mehri Khansari, N.; Fakoor, M.; Berto, F. Probabilistic micromechanical damage model for mixed mode I/II fracture investigation of composite materials. Theor. Appl. Fract. Mech. 2019, 99, 177–193. [Google Scholar] [CrossRef]
- Zare Hossein Abadi, S.; Fakoor, m.; Rafiee, R. Extension of Maximum Tensile Stress Criterion to Mixed Mode Fracture of Orthotropic Materials Considering T-stress. Modares Mech. Eng. 2018, 17, 292–300. [Google Scholar]
- Manafi Farid, H.; Fakoor, M. Matrix Reinforcement Coefficients Models for Fracture Investigation of Orthotropic Materials. Modares Mech. Eng. 2019, 19, 2811–2822. [Google Scholar]
- Fakoor, M.; Ghoreishi, S.M.N. Comprehensive investigation of stress intensity factors in rotating disks containing three-dimensional semi-elliptical cracks. Appl. Math. Mech. 2017, 38, 1565–1578. [Google Scholar] [CrossRef]
- Fakoor, M.; Khansari, N.M. General mixed mode I/II failure criterion for composite materials based on matrix fracture properties. Theor. Appl. Fract. Mech. 2018, 96, 428–442. [Google Scholar] [CrossRef]
- Tschegg, E.K.; Reiterer, A.; Pleschberger, T.; Stanzl-tschegg, S.E. Mixed mode fracture energy of sprucewood. Journal of Materials Science 2001, 36, 3531–3537. [Google Scholar] [CrossRef]
- Gupta, M.; Alderliesten, R.C.; Benedictus, R. A review of T-stress and its effects in fracture mechanics. Eng. Fract. Mech. 2015, 134, 218–241. [Google Scholar] [CrossRef]
- Fakoor, M.; Shahsavar, S. Fracture assessment of cracked composite materials: Progress in models and criteria. Theor. Appl. Fract. Mech. 2020, 105, 102430. [Google Scholar] [CrossRef]
- Mirsayar, M.M.; Hartl, D.J. On the validity of strain energy density criterion for mixed mode I/II fracture analysis of notched shape memory alloy components. Eng. Fract. Mech. 2019, 214, 270–288. [Google Scholar] [CrossRef]
- Berto, F. Fatigue and fracture assessment of notched components by means of the Strain Energy Density. Eng. Fract. Mech. 2016, 167, 176–187. [Google Scholar] [CrossRef]
- Zappalorto, M.; Carraro, P.A. An efficient energy-based approach for the numerical assessment of mode I NSIFs in isotropic and orthotropic notched plates. Theor. Appl. Fract. Mech. 2020, 108, 102612. [Google Scholar] [CrossRef]
- Zappalorto, M.; Lazzarin, P. Strain energy-based evaluations of plastic notch stress intensity factors at pointed V-notches under tension. Eng. Fract. Mech. 2011, 78, 2691–2706. [Google Scholar] [CrossRef]
- Barati, E.; Alizadeh, Y.; Mohandesi, J.A. Relationship between J-integral and averaged strain-energy density for U-notches in the case of large control volume under Mode I loading. Eng. Fract. Mech. 2011, 78, 1317–1322. [Google Scholar] [CrossRef]
- Glinka, G. Energy density approach to calculation of inelastic strain-stress near notches and cracks. Eng. Fract. Mech. 1985, 22, 485–508. [Google Scholar] [CrossRef]
- Chen, D.H.; Fan, X.L. Evaluation of the brittle failure of blunt U-shaped notch under mode I loading. Eng. Fract. Mech. 2019, 214, 40–61. [Google Scholar] [CrossRef]
- Ayatollahi, M.R.; Saboori, B. Maximum tangential strain energy density criterion for general mixed mode I/II/III brittle fracture. Int. J. Damage Mech. 2014, 24, 263–278. [Google Scholar] [CrossRef]
- Ayatollahi, M.R.; Rashidi Moghaddam, M.; Berto, F. A generalized strain energy density criterion for mixed mode fracture analysis in brittle and quasi-brittle materials. Theor. Appl. Fract. Mech. 2015, 79, 70–76. [Google Scholar] [CrossRef]
- Aliha, M.R.M.; Berto, F.; Bahmani, A.; Gallo, P. Mixed mode I/II fracture investigation of Perspex based on the averaged strain energy density criterion. Phys. Mesomech. 2017, 20, 149–156. [Google Scholar] [CrossRef]
- Sapora, A.; Cornetti, P.; Carpinteri, A. A Finite Fracture Mechanics approach to V-notched elements subjected to mixed-mode loading. Eng. Fract. Mech. 2013, 97, 216–226. [Google Scholar] [CrossRef]
- Berto, F. A criterion based on the local strain energy density for the fracture assessment of cracked and V-notched components made of incompressible hyperelastic materials. Theor. Appl. Fract. Mech. 2015, 76, 17–26. [Google Scholar] [CrossRef]
- Meneghetti, G.; Campagnolo, A.; Berto, F. Averaged strain energy density estimated rapidly from the singular peak stresses by FEM: Cracked bars under mixed-mode (I+III) loading. Eng. Fract. Mech. 2016, 167, 20–33. [Google Scholar] [CrossRef]
- Hatami, F.; Ayatollahi, M.R.; Torabi, A.R. Limit curves for brittle fracture in key-hole notches under mixed mode I/III loading based on stress-based criteria. Eur. J. Mech.-A/Solids 2021, 85, 104089. [Google Scholar] [CrossRef]
- Sapora, A.; Torabi, A.R.; Etesam, S.; Cornetti, P. Finite Fracture Mechanics crack initiation from a circular hole. Fatigue Fract. Eng. Mater. Struct. 2018, 41, 1627–1636. [Google Scholar] [CrossRef]
- Torabi, A.R.; Pirhadi, E. Extension of the virtual isotropic material concept to mixed mode I/II loading for predicting the last-ply-failure of U-notched glass/epoxy laminated composite specimens. Compos. Part B Eng. 2019, 176, 107287. [Google Scholar] [CrossRef]
- Torabi, A.R.; Pirhadi, E. On the ability of the notch fracture mechanics in predicting the last-ply-failure of blunt V-notched laminated composite specimens: A hard problem can be easily solved by conventional methods. Eng. Fract. Mech. 2019, 217, 106534. [Google Scholar] [CrossRef]
- Torabi, A.R.; Pirhadi, E. Notch failure in laminated composites under opening mode: The Virtual Isotropic Material Concept. Compos. Part B Eng. 2019, 172, 61–75. [Google Scholar] [CrossRef]
- Carpinteri, A.; Cornetti, P.; Pugno, N.; Sapora, A.; Taylor, D. A finite fracture mechanics approach to structures with sharp V-notches. Eng. Fract. Mech. 2008, 75, 1736–1752. [Google Scholar] [CrossRef]
- Yoshihara, H. Mode II fracture mechanics properties of solid wood measured by the three-point eccentric end-notched flexure test. Eng. Fract. Mech. 2015, 141, 140–151. [Google Scholar] [CrossRef]
- Dag, S.; Ilhan, K.A. Mixed-Mode Fracture Analysis of Orthotropic Functionally Graded Material Coatings Using Analytical and Computational Methods. J. Appl. Mech. 2008, 75, 051104. [Google Scholar] [CrossRef]
- Sangsefidi, M.; Akbardoost, J.; Mesbah, M. Experimental and theoretical fracture assessment of rock-type U-notched specimens under mixed mode I/II loading. Eng. Fract. Mech. 2020, 230, 106990. [Google Scholar] [CrossRef]
- Torabi, A.R.; Fakoor, M.; Pirhadi, E. Fracture analysis of U-notched disc-type graphite specimens under mixed mode loading. Int. J. Solids Struct. 2014, 51, 1287–1298. [Google Scholar] [CrossRef] [Green Version]
- Aliha, M.R.M.; Bahmani, A.; Akhondi, S. A novel test specimen for investigating the mixed mode I+III fracture toughness of hot mix asphalt composites–Experimental and theoretical study. Int. J. Solids Struct. 2016, 90, 167–177. [Google Scholar] [CrossRef]
- Leblond, J.-B.; Karma, A.; Lazarus, V. Theoretical analysis of crack front instability in mode I+III. J. Mech. Phys. Solids 2011, 59, 1872–1887. [Google Scholar] [CrossRef] [Green Version]
- Susmel, L.; Taylor, D. The theory of critical distances to predict static strength of notched brittle components subjected to mixed-mode loading. Eng. Fract. Mech. 2008, 75, 534–550. [Google Scholar] [CrossRef]
- Berto, F.; Cendon, D.A.; Lazzarin, P.; Elices, M. Fracture behaviour of notched round bars made of PMMA subjected to torsion at −60°C. Eng. Fract. Mech. 2013, 102, 271–287. [Google Scholar] [CrossRef] [Green Version]
- Torabi, A.R.; Shahbazian, B. Semi-analytical estimation of the effective plastic zone size at U-notch neighborhood in thin sheets under mixed mode I/II loading. Eng. Fract. Mech. 2020, 239, 107323. [Google Scholar] [CrossRef]
- Liu, S.; Chao, Y.J.; Zhu, X. Tensile-shear transition in mixed mode I/III fracture. Int. J. Solids Struct. 2004, 41, 6147–6172. [Google Scholar] [CrossRef]
- Srinivas, M.; Kamat, S.V.; Rao, P.R. Influence of mixed mode I/III loading on fracture toughness of mild steel at various strain rates. Mater. Sci. Technol. 2004, 20, 235–242. [Google Scholar] [CrossRef]
- Akhavan-Safar, A.; Ayatollahi, M.R.; Safaei, S.; da Silva, L.F.M. Mixed mode I/III fracture behavior of adhesive joints. Int. J. Solids Struct. 2020, 199, 109–119. [Google Scholar] [CrossRef]
- Kamat, S.V.; Hirth, J.P. Mixed mode I/II fracture toughness of 2034 aluminum alloys. Acta Mater. 1996, 44, 201–208. [Google Scholar] [CrossRef]
- Pirmohammad, S.; Hojjati Mengharpey, M. A new mixed mode I/II fracture test specimen: Numerical and experimental studies. Theor. Appl. Fract. Mech. 2018, 97, 204–214. [Google Scholar] [CrossRef]
- Odounga, B.; Rostand, M.P.; Toussaint, E.; Grédiac, M. Mixed mode fracture of some tropical species with the grid method. Eng. Fract. Mech. 2019, 214, 578–589. [Google Scholar] [CrossRef]
- Razavi, S.M.J.; Berto, F. A new fixture for fracture tests under mixed mode I/II/III loading. Fatigue Fract. Eng. Mater. Struct. 2019, 42, 1874–1888. [Google Scholar] [CrossRef]
- Chuchala, D.; Sandak, J.; Orlowski, K.A.; Muzinski, T.; Lackowski, M.; Ochrymiuk, T. Effect of the Drying Method of Pine and Beech Wood on Fracture Toughness and Shear Yield Stress. Materials 2020, 13, 4692. [Google Scholar] [CrossRef] [PubMed]
- Wyeth, D.J.; Goli, G.; Atkins, A.G. Fracture toughness, chip types and the mechanics of cutting wood. A review COST Action E35 2004–2008: Wood machining–micromechanics and fracture. Holzforschung 2009, 63, 168–180. [Google Scholar] [CrossRef]
- Sinn, G.; Sandak, J.; Ramananantoandro, T. Properties of wood surfaces–characterisation and measurement. A review COST Action E35 2004–2008: Wood machining–micromechanics and fracture. Holzforschung 2009, 63, 196–203. [Google Scholar] [CrossRef]
- Fakoor, M.; Khezri, M.S. A micromechanical approach for mixed mode I/II failure assessment of cracked highly orthotropic materials such as wood. Theor. Appl. Fract. Mech. 2020, 109, 102740. [Google Scholar] [CrossRef]
- Anaraki, A.R.G.; Fakoor, M. A New Mixed-Mode Fracture Criterion for Orthotropic Materials, Based on Strength Properties. J. Strain Anal. Eng. Des. 2010, 46, 33–44. [Google Scholar] [CrossRef]
- Anaraki, A.R.G.; Fakoor, M. General mixed mode I/II fracture criterion for wood considering T-stress effects. Mater. Des. 2010, 31, 4461–4469. [Google Scholar] [CrossRef]
- Zhang, H.; Qiao, P. A state-based peridynamic model for quantitative elastic and fracture analysis of orthotropic materials. Eng. Fract. Mech. 2019, 206, 147–171. [Google Scholar] [CrossRef]
- Diana, V.; Ballarini, R. Crack kinking in isotropic and orthotropic micropolar peridynamic solids. Int. J. Solids Struct. 2020, 196–197, 76–98. [Google Scholar] [CrossRef]
- Gulizzi, V.; Benedetti, I.; Milazzo, A. A novel boundary element formulation for anisotropic fracture mechanics. Theor. Appl. Fract. Mech. 2019, 104, 102329. [Google Scholar] [CrossRef] [Green Version]
- Jia, H.; Nie, Y.; Li, J. XFEM for Fracture Analysis in 2D Anisotropic Elasticity. Adv. Appl. Math. Mech. 2017, 9, 125–143. [Google Scholar] [CrossRef]
- Gebhardt, C.; Kaliske, M. An XFEM-approach to model brittle failure of wood. Eng. Struct. 2020, 212, 110236. [Google Scholar] [CrossRef]
- Murata, K.; Nagai, H.; Nakano, T. Estimation of width of fracture process zone in spruce wood by radial tensile test. Mech. Mater. 2011, 43, 389–396. [Google Scholar] [CrossRef]
- Blanco, C.; Cabrero, J.M.; Martin-Meizoso, A.; Gebremedhin, K.G. Design oriented failure model for wood accounting for different tensile and compressive behavior. Mech. Mater. 2015, 83, 103–109. [Google Scholar] [CrossRef]
- Smith, I.; Vasic, S. Fracture behaviour of softwood. Mech. Mater. 2003, 35, 803–815. [Google Scholar] [CrossRef]
- Ayatollahi, M.R.; Torabi, A.R. Investigation of mixed mode brittle fracture in rounded-tip V-notched components. Eng. Fract. Mech. 2010, 77, 3087–3104. [Google Scholar] [CrossRef]
- Torabi, A.R.; Saboori, B. Experimental and theoretical investigation of mixed mode I/III brittle fracture of U-notched polystyrene components. J. Strain Anal. Eng. Des. 2017, 53, 15–25. [Google Scholar] [CrossRef]
- Saboori, B.; Torabi, A.R.; Ayatollahi, M.R.; Berto, F. Experimental verification of two stress-based criteria for mixed mode I/III brittle fracture assessment of U-notched components. Eng. Fract. Mech. 2017, 182, 229–244. [Google Scholar] [CrossRef]
- Safaei, S.; Ayatollahi, M.R.; Saboori, B. Fracture behavior of GPPS brittle polymer under mixed mode I/III loading. Theor. Appl. Fract. Mech. 2017, 91, 103–115. [Google Scholar] [CrossRef]
- Ayatollahi, M.R.; Saboori, B. A new fixture for fracture tests under mixed mode I/III loading. Eur. J. Mech.-A/Solids 2015, 51, 67–76. [Google Scholar] [CrossRef]
- Filippi, S.; Lazzarin, P.; Tovo, R. Developments of some explicit formulas useful to describe elastic stress fields ahead of notches in plates. Int. J. Solids Struct. 2002, 39, 4543–4565. [Google Scholar] [CrossRef]
- Saboori, B.; Ayatollahi, M.R.; Torabi, A.R.; Berto, F. Mixed mode I/III brittle fracture in round-tip V-notches. Theor. Appl. Fract. Mech. 2016, 83, 135–151. [Google Scholar] [CrossRef]
- Zappalorto, M.; Lazzarin, P.; Filippi, S. Stress field equations for U and blunt V-shaped notches in axisymmetric shafts under torsion. Int. J. Fract. 2010, 164, 253–269. [Google Scholar] [CrossRef]














| Material Properties | Mean Value | Standard Deviation |
|---|---|---|
| Elastic modulus, E [GPa] | 8.35 | 0.75 |
| Ultimate tensile strength (axial), σu [MPa] | 58.80 | 5.46 |
| Poisson’s ratio, ν | 0.32 | 0.04 |
| Mode I critical-stress-intensity factor, KIc [MPa√m] | 0.75 | 0.08 |
| Mode III critical-stress-intensity factor, KIIIc [MPa√m] | 0.25 | 0.03 |
| Notch Radius ρ (mm) | Loading Angle β (°) | Fracture Load (N) | Average Fracture Load (N) |
|---|---|---|---|
| 1 | 0 (mode I) | 121.2 | 157.3 |
| 181.2 | |||
| 169.6 | |||
| 40 | 147.2 | 147.2 | |
| 121.4 | |||
| 172.9 | |||
| 65 | 172.9 | 176.5 | |
| 165.2 | |||
| 191.3 | |||
| 72 | 187.6 | 186.4 | |
| 176.6 | |||
| 195.0 | |||
| 90 (mode III) | 140.8 | 169.6 | |
| 172.9 | |||
| 195.0 | |||
| 2 | 0 | 257.5 | 272.6 |
| 286.9 | |||
| 273.4 | |||
| 40 | 165.5 | 153.3 | |
| 136.1 | |||
| 158.4 | |||
| 65 | 191.3 | 201.1 | |
| 232.8 | |||
| 179.2 | |||
| 72 | 195.0 | 185.2 | |
| 161.9 | |||
| 198.7 | |||
| 90 | 143.5 | 167.9 | |
| 191.2 | |||
| 168.9 | |||
| 4 | 0 | 323.7 | 308.0 |
| 301.5 | |||
| 298.7 | |||
| 40 | 253.8 | 255.0 | |
| 242.8 | |||
| 268.5 | |||
| 65 | 147.2 | 175.8 | |
| 185.6 | |||
| 194.5 | |||
| 72 | 173.0 | 183.8 | |
| 169.2 | |||
| 209.3 | |||
| 90 | 228.1 | 212.6 | |
| 217.3 | |||
| 192.4 |
| Notch Radius ρ (mm) | Loading Angle β (°) | Mean Experimental Effective Normalized NSIF | PS Criterion | MS Criterion | ||
|---|---|---|---|---|---|---|
| Effective Normalized NSIF | Δ(%) | Effective Normalized NSIF | Δ(%) | |||
| 1 | 40 | 1.03 | 0.98 | −5.6 | 0.95 | −7.8 |
| 65 | 1.00 | 0.83 | −17.1 | 0.87 | −13.5 | |
| 72 | 0.94 | 0.75 | −20.4 | 0.80 | −15.0 | |
| 90 | 1.01 | 0.86 | −14.8 | 1.14 | +12.5 | |
| Avg. | −14.5 | Avg. | −5.9 | |||
| 2 | 40 | 1.07 | 0.95 | −12.1 | 0.93 | −13.3 |
| 65 | 0.98 | 0.82 | −16.8 | 0.80 | −18.4 | |
| 72 | 0.92 | 0.80 | −12.1 | 0.77 | −16.1 | |
| 90 | 1.03 | 0.96 | −7.3 | 0.92 | −10.8 | |
| Avg. | −12.1 | Avg. | −14.6 | |||
| 4 | 40 | 1.06 | 0.98 | −8.1 | 0.93 | −12.6 |
| 65 | 1.01 | 0.77 | −23.5 | 0.82 | −19.2 | |
| 72 | 0.94 | 0.76 | −19.6 | 0.81 | −13.9 | |
| 90 | 0.96 | 0.88 | −8.6 | 0.97 | +1.0 | |
| Avg. | −15.0 | Avg. | −11.1 | |||
| Total Avg. | −13.8 | Total Avg. | −10.5 | |||
| Notch Radius ρ (mm) | Loading Angle β (°) | Mean Experimental Fracture Angle (°) | MS Criterion | PS Criterion | ||
|---|---|---|---|---|---|---|
| Fracture Angle (°) | Fracture Angle (°) | Δ(%) | Δ(%) | |||
| 1 | 40 | 24.6 | 22.4 | 22.2 | −9.8 | −9.0 |
| 65 | 28.3 | 34.7 | 34.8 | +23.1 | +22.7 | |
| 72 | 35.4 | 39.0 | 39.0 | +10.4 | +10.3 | |
| 90 | 44.7 | 45.0 | 45.0 | +0.7 | +0.7 | |
| Avg. | Avg. | +6.1 | +6.1 | |||
| 2 | 40 | 16.3 | 19.0 | 18.9 | +15.7 | +16.1 |
| 65 | 28.3 | 34.1 | 34.2 | +20.6 | +20.5 | |
| 72 | 36.0 | 39.0 | 39.0 | +8.2 | +8.2 | |
| 90 | 43.3 | 45.0 | 45.0 | +3.8 | +3.8 | |
| Avg. | Avg. | +12.1 | +12.2 | |||
| 4 | 40 | 19.3 | 19.9 | 19.0 | −1.5 | +3.0 |
| 65 | 34.7 | 36.2 | 34.3 | −0.9 | +4.5 | |
| 72 | 39.7 | 39.2 | 39.0 | −1.7 | −1.2 | |
| 90 | 45.0 | 45.0 | 45.0 | 0.0 | 0.0 | |
| Avg. | Avg. | −1.0 | +1.5 | |||
| Total Avg. | Total Avg. | +5.7 | +6.6 | |||
Publisher’s Note: MDPI stays neutral with regard to jurisdictional claims in published maps and institutional affiliations. |
© 2022 by the authors. Licensee MDPI, Basel, Switzerland. This article is an open access article distributed under the terms and conditions of the Creative Commons Attribution (CC BY) license (https://creativecommons.org/licenses/by/4.0/).
Share and Cite
Torabi, A.R.; Mohammadi, S.; Saboori, B.; Ayatollahi, M.R.; Cicero, S. Tensile-Tearing Fracture Analysis of U-Notched Spruce Samples. Materials 2022, 15, 3661. https://doi.org/10.3390/ma15103661
Torabi AR, Mohammadi S, Saboori B, Ayatollahi MR, Cicero S. Tensile-Tearing Fracture Analysis of U-Notched Spruce Samples. Materials. 2022; 15(10):3661. https://doi.org/10.3390/ma15103661
Chicago/Turabian StyleTorabi, Ali Reza, Sobhan Mohammadi, Behnam Saboori, Majid Reza Ayatollahi, and Sergio Cicero. 2022. "Tensile-Tearing Fracture Analysis of U-Notched Spruce Samples" Materials 15, no. 10: 3661. https://doi.org/10.3390/ma15103661
APA StyleTorabi, A. R., Mohammadi, S., Saboori, B., Ayatollahi, M. R., & Cicero, S. (2022). Tensile-Tearing Fracture Analysis of U-Notched Spruce Samples. Materials, 15(10), 3661. https://doi.org/10.3390/ma15103661

