Study on the Effect of Regeneration Agent on the Viscosity Properties of Aged Asphalt
Abstract
:1. Introduction
2. Experimental Methods
2.1. Raw Materials
2.2. Test method
2.2.1. Aging Asphalt
2.2.2. Asphalt Regeneration
2.2.3. Physical Properties Test
2.2.4. Viscosity Test
2.2.5. GPC Test
2.2.6. FTIR Spectroscopy Test
2.2.7. AFM Test
3. Analysis of Test Results
3.1. Analysis of Physical Properties Test Results
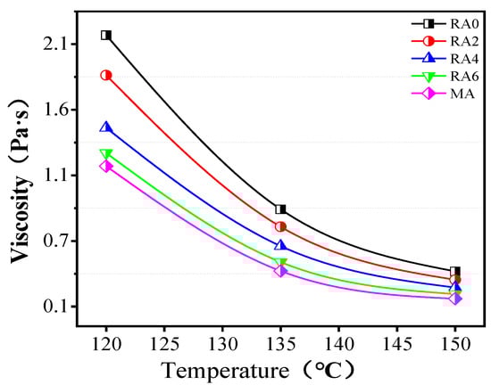
3.2. Viscosity and Activation Energy Analysis
3.3. Analysis of GPC Test Results
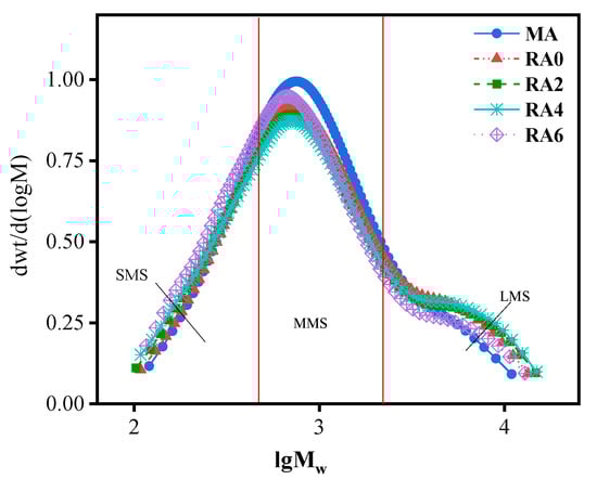
3.3.1. Molecular Weight and Polydispersity
3.3.2. Molecular Weight Distribution
3.4. FTIR Analysis
3.5. AFM Analysis
4. Conclusions
- The addition of a regenerating agent significantly improved the flexibility and viscosity of aged asphalt but harmed the softening point. The regenerating agent could effectively reduce the viscosity of the aged asphalt, positively improving the construction and ease of the aging asphalt.
- The FTIR results showed that the regenerating agent did not chemically react with the asphalt to produce new substances and the regenerating agent with a dose of 6% could significantly adjust the ratio of asphalt components. The regenerating agent could affect the contents of the sulfoxide group and carbon group in the regeneration process of aging asphalt and reduce the strength of its functional group index.
- The GPC and AFM results showed that the content of macromolecules and the area of individual bee-like structures decreased with the rejuvenation agent dose. In addition, the number of bee-like structures on the microscopic surface of asphalt increased with the rejuvenation agent. We can also see that the rejuvenation agent had a degrading and diluting effect on the aging asphalt macromolecules, leading to a decreased asphalt viscosity.
Author Contributions
Funding
Institutional Review Board Statement
Informed Consent Statement
Data Availability Statement
Conflicts of Interest
References
- Geng, J.G. Study on the Aging Mechanism and Recycling Technique of Asphalt. Master’s Thesis, ChangAn University, Xi’an, China, 2009. [Google Scholar]
- Chen, H.X.; Chen, S.F.; Wang, B.G. The aging behavior and mechanism of base asphalts. J. Shandong Univ. 2009, 39, 125–130. [Google Scholar]
- Moghaddam, T.B.; Baaj, H. The use of rejuvenating agents in production of regenerated hot mix asphalt: A systematic review. Constr. Build. Mater. 2016, 114, 805–816. [Google Scholar] [CrossRef]
- Idham, M.K.; Hainin, M.R.; Warid, M.N.M.; Raman, N.A.A.; Mamat, R. Evaluation on the performance of aged asphalt binder and mixture under various aging methods. J. Teknol. 2015, 77. [Google Scholar] [CrossRef] [Green Version]
- Huang, W.; Guo, Y.; Zheng, Y.; Ding, Q.; Sun, C.; Yu, J.; Zhu, M.; Yu, H. Chemical and rheological characteristics of rejuvenated bitumen with typical regeneration agents. Constr. Build. Mater. 2021, 273, 121525. [Google Scholar] [CrossRef]
- Lin, M.; Li, P.; Nian, T.; Wei, X. Effect of microstructure of regenerated asphalt on rheological properties. J. Huazhong Univ. Sci. Technol. 2019, 47, 121–126. [Google Scholar]
- Zhao, K.; Wang, Y.; Chen, Y.; Huang, K. Effect of Regeneration agents on Relative Molecular Mass and Size Distribution of Asphalt Binders. J. Build. Mater. 2020, 23, 1130–1136. [Google Scholar]
- Cui, Y.; Cui, S.; Guo, L. Research on Performance and Mechanism of Regenerated SBS Modified Asphalt. J. Build. Mater. 2021, 1–13. [Google Scholar]
- Li, X.; Wei, D.; Yao, Z.; Li, B. Effect of Regeneration agents on Rheological Properties and Microstructure of Aged Asphalt. J. Build. Mater. 2018, 21, 992–999. [Google Scholar]
- He, Z.; Ran, L.; Cao, Q. Mechanism Study of Recycle of SBS Modified Asphalt Based on Spectrum Analysis. J. Build. Mater. 2015, 18, 900–904. [Google Scholar]
- Yao, Z. Study on Microscopic Mechanism Action of Regeneration Agent and Aged Asphalt; Lanzhou Jiaotong University: Lanzhou, China, 2018. [Google Scholar]
- Research Institute of Highway Ministry of Transport. Technical Specification for Construction of Highway Asphalt Pavements; JTG F40-201; Research Institute of Highway Ministry of Transport: Beijing, China, 2004.
- Ying, X. Research on Warm-Mixed Recycling Mechanism and Pavement Perfomance of Regenerated Asphalt Mixture; Harbin Institute of Technology: Harbin, China, 2017. [Google Scholar]
- Wu, X. Study on Performance of Warm Regenerated SBS Modified Asphalt Mixture; South China University of Technology: Guangzhou, China, 2019. [Google Scholar]
- Research Institute of Highway Ministry of Transport. Standard Test Methods of Bitumen and Bituminous Mixture for Highway Engineering; JTG E20-2011; Research Institute of Highway Ministry of Transport: Beijing, China, 2011. Available online: https://www.chinesestandard.net/PDF/English.aspx/JTGE20-2011 (accessed on 1 January 2022).
- Zhang, J. Investigation on Aging Properties of Bio-Rejuvenated Asphalt Binded; Southeast University: Nanjing, China, 2018. [Google Scholar]
- Ren, W. Study on Rheological Properties of Regenerated Asphalt with Biological Regenerator. J. Highway Transp. Technol. 2020, 16, 70–75. [Google Scholar]
- Yang, Z. Study on Multi-Scale Behavioral Characteristics of Asphalt before and after Aging; South China University of Technology: Guangzhou, China, 2018. [Google Scholar]
- Yu, H.; Leng, Z.; Zhang, Z.; Li, D.; Zhang, J. Selective absorption of swelling rubber in hot and warm asphalt binder fractions. Constr. Build. Mater. 2020, 238, 117727. [Google Scholar] [CrossRef]
- Zhang, B. Characterization of Bitumen Structure Based on Fourier Transform Infrared; Wuhan University of Technology: Wuhan, China, 2014. [Google Scholar]
- Ding, L.; Wang, X.; Zhang, M.; Chen, Z.; Meng, J.; Shao, X. Morphology and properties changes of virgin and aged asphalt after fusion. Constr. Build. Mater. 2021, 291, 123284. [Google Scholar] [CrossRef]
- Ye, W.; Jiang, W.; Li, P.; Yuan, D.; Shan, J.; Xiao, J. Analysis of mechanism and time-temperature equivalent effects of asphalt binder in short-term aging. Constr. Build. Mater. 2019, 215, 823–838. [Google Scholar] [CrossRef]
- Jennings, P.; Pribanic, P.; Campbell, W.; Dawson, K.; Shane, S.; Taylor, R. High Pressure Liquid Chromatography as a Method of Measuring Asphalt Composition; Federal Highway Administration: Washington, DC, USA, 1980.
- Kwang, W.K. Methodology for Defining LMS Portion in Asphalt Chromatogram. J. Mater. Civ. Eng. 1995, 7, 31–40. [Google Scholar]
- Tan, Y.; Li, G.; Shan, L.; Lv, H. Research progress of bitumen microstructures and components. J. Transp. Eng. 2020, 20, 1–17. [Google Scholar]
- Nciri, N.; Cho, N. A Thorough Study on the Molecular Weight Distribution in Natural Asphalts by Gel Permeation Chromatography (GPC): The Case of Trinidad Lake Asphalt and Asphalt Ridge Bitumen. Mater. Today: Proc. 2018, 5, 23656–23663. [Google Scholar] [CrossRef]
- Zhang, H.; Wang, Y.; Yu, T.; Liu, Z. Microstructural characteristics of differently aged asphalt samples based on atomic force microscopy (AFM). Constr. Build. Mater. 2020, 255, 119388. [Google Scholar] [CrossRef]
- Xu, M.; Yi, J.; Pei, Z.; Feng, D.; Huang, Y.; Yang, Y. Generation and evolution mechanisms of pavement asphalt aging based on variations in surface structure and micromechanical characteristics with AFM. Mater. Today Commun. 2017, 12, 106–118. [Google Scholar]




















| Projects | Test Values |
|---|---|
| Penetration (25 °C, 0.1 mm) | 60.4 |
| Softening point (°C) | 49.7 |
| Ductility (15 °C, cm) | >100 |
| Viscosity at 135 °C (Pa·s) | 0.475 |
| Physical Form | Density at 25 °C (g·cm−3) | Specific Gravity | Flash Point (°C) |
|---|---|---|---|
| Brown liquid | 0.946 | 0.95 | 209 |
| Specimen Number | Aged Asphalt Ratio (%) | Rejuvenation Agent Content (%) | Remarks |
|---|---|---|---|
| MA | 0 | 0 | Matrix asphalt |
| RA0 | 100 | 0 | Aging asphalt |
| RA2 | 100 | 2 | Regenerated asphalt |
| RA4 | 100 | 4 | Regenerated asphalt |
| RA6 | 100 | 6 | Regenerated asphalt |
| Asphalt Type | Mn (g·mol−1) | Mw (g·mol−1) | PD |
|---|---|---|---|
| MA | 593 | 1600 | 2.69 |
| RA0 | 595 | 1895 | 3.18 |
| RA2 | 569 | 2009 | 3.53 |
| RA4 | 563 | 2060 | 3.65 |
| RA6 | 522 | 1694 | 3.24 |
| Parameters | MA | RA0 | RA2 | RA4 | RA6 |
|---|---|---|---|---|---|
| N (number) | 43 | 21 | 27 | 35 | 38 |
| Single area (μm2) | 1.14 | 1.57 | 1.40 | 1.39 | 1.18 |
| Rq (nm) | 10.60 | 5.59 | 9.28 | 10.36 | 14.30 |
| Ra (nm) | 6.36 | 3.39 | 5.44 | 7.00 | 7.89 |
Publisher’s Note: MDPI stays neutral with regard to jurisdictional claims in published maps and institutional affiliations. |
© 2022 by the authors. Licensee MDPI, Basel, Switzerland. This article is an open access article distributed under the terms and conditions of the Creative Commons Attribution (CC BY) license (https://creativecommons.org/licenses/by/4.0/).
Share and Cite
Yang, J.; Luo, L.; Gao, J.; Xu, J.; He, C. Study on the Effect of Regeneration Agent on the Viscosity Properties of Aged Asphalt. Materials 2022, 15, 380. https://doi.org/10.3390/ma15010380
Yang J, Luo L, Gao J, Xu J, He C. Study on the Effect of Regeneration Agent on the Viscosity Properties of Aged Asphalt. Materials. 2022; 15(1):380. https://doi.org/10.3390/ma15010380
Chicago/Turabian StyleYang, Jiangang, Luhua Luo, Jie Gao, Jing Xu, and Chengping He. 2022. "Study on the Effect of Regeneration Agent on the Viscosity Properties of Aged Asphalt" Materials 15, no. 1: 380. https://doi.org/10.3390/ma15010380
APA StyleYang, J., Luo, L., Gao, J., Xu, J., & He, C. (2022). Study on the Effect of Regeneration Agent on the Viscosity Properties of Aged Asphalt. Materials, 15(1), 380. https://doi.org/10.3390/ma15010380
