Influence of Corrugated Web Geometry on Mechanical Properties of I-Beam: Laboratory Tests
Abstract
:1. Introduction
2. Experimental Program
2.1. Test Specimens
2.2. Properties of Construction Materials
2.3. Test Implementation
2.4. Arrangement of Measuring Sensors
3. Results and Discussion
3.1. Standard Load Capacity of Girders vs. Limit Loads
3.2. Damage Analysis
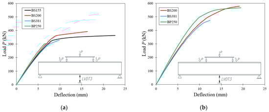
3.3. Force—Displacement Analysis
3.4. Analysis of the Strain Distribution
4. Conclusions
- The value of the limit load on I-beams is strictly dependent on the web thickness and, in case of beams with sinusoidal web, on the ratio of the wave amplitude (a) to its period (w). An increase in web thickness results in a significant increase in the value of failure loads for beams, both with sinusoidal and flat webs. On the other hand, an increase in the a/w ratio in beams with sinusoidal webs adversely affects the load capacity of such systems. From the group of all test samples subjected to loading with a web thickness of 3 mm, the highest value of failure load was obtained for beams with the most popular web geometry, i.e., 155 × 43, for which the a/w ratio = 0.277. It should be noted, however, that the BS 200/3 beam with a similar a/w value of a/w = 0.275 obtained a similar value of failure load. In beam BS 381/3, for which a/w is much higher (a/w = 0.367), the failure load was the lowest.
- The deflection values at the failure load for beams with sinusoidal web depend more on the shape of the sinusoid than the web thickness itself. The deflections of beams subjected to bending indicate that an increase in web thickness by 60% results in an increase in the maximum deflection at failure load. This is evident in the context of the increase in failure load in beams with higher web thickness. The increase in vertical displacement was less than 30% in beams with the same sinusoidal shape but different thicknesses, with an increase in failure load of no more than 50%. Beams with flat webs behave differently. An increase in failure load of less than 90%, for a change in web thickness of 60%, resulted in an increase in vertical displacement at mid-span of about 290%.Design of beams with sinusoidal webs, according to EC3 [30], Ref. [30] may not be carried out for all beams of this type regardless of the shape of the sinusoid. The calculations performed showed a lower load capacity than that resulting from the tests for BS 155/3, BS 200/3, BS 200/5 and BS 381/3 beams. The exception was the BS 381/5 beam, for which the shear resistance and bending resistance, according to EC3 [30], were higher than the shear force and bending moment, considered separately; this resulted from the destructive force of the test element. The failure was probably caused by the interaction of the shear force and the bending moment.
Author Contributions
Funding
Institutional Review Board Statement
Informed Consent Statement
Data Availability Statement
Acknowledgments
Conflicts of Interest
References
- Kurkin, C.A. Projektirowanie Swarnych Konstrukcij w Maszinostrojenii; Bibliotieka Konstruktora Maszinostrjenie: Moscow, Russia, 1975. [Google Scholar]
- Solov’ev, A.V.; Lukin, A.O.; Alpatov, V.Y.; Savost’yanov, V.N. Account for Performance of Corrugated Web Beams in the Analysis of Constrained Torsion; Vestnik MGSU, Moscow State University of Civil Engineering: Moscow, Russia, 2012; Volume 11, pp. 105–112. [Google Scholar] [CrossRef]
- Pasternak, H.; Kubieniec, G. Plate girders with corrugated webs. J. Civil Eng. Manag. 2010, 16, 166–171. [Google Scholar] [CrossRef] [Green Version]
- Papangelis, J.; Trahair, N.; Hancock, G. Direct strength method for shear capacity of beams with corrugated webs. J. Constr. Steel Res. 2017, 137, 152–160. [Google Scholar] [CrossRef]
- Cafolla, J. Corrugated Webs and Lateral Restraints in Plate Girders for Bridges. Ph.D. Thesis, University of Warwick, Conventry, UK, 1995; p. 312. [Google Scholar]
- Elgaaly, M.; Seshadri, A.; Rodriguez, R.; Ibrahim, S. Bridge girders with corrugated webs. Transp. Res. Rec. 2000, 1, 162–170. [Google Scholar] [CrossRef]
- Prathebha, P.; Jane, H.H. Corrugated web steel girders-A state of the art review. Int. J. Eng. Res. Dev. 2018, 14, 14–19. [Google Scholar]
- Pasternak, H.; Branka, P. Zum Tragverhalten von Wellstegträgern. Bauingenieur 1998, 73, 437–444. [Google Scholar]
- Pasternak, H.; Robra, J.; Bachmann, V. Wellstegträger mit größeren Stegblechdicken—Fertigungstechnologie und tragverhalten. Bauingenieur 2009, 84, 415–419. [Google Scholar]
- Nikoomanesh, M.R.; Goudarzi, M.A. Thin-Walled Structures Experimental and numerical evaluation of shear load capacity for sinusoidal corrugated web girders. Thin-Walled Struct. 2020, 153, 106798. [Google Scholar] [CrossRef]
- Wang, S.; He, J.; Liu, Y. Shear behavior of steel I-girder with stiffened corrugated web, Part I: Experimental study. Thin-Walled Struct. 2019, 140, 248–262. [Google Scholar] [CrossRef]
- Eldib, M.E.A.H. Shear buckling strength and design of curved corrugated steel webs for bridges. J. Constr. Steel Res. 2009, 65, 2129–2139. [Google Scholar] [CrossRef]
- Huang, L.; Hikosaka, H.; Komine, K. Simulation of accordion effect in corrugated steel web with concrete flanges. Comput. Struct. 2004, 82, 2061–2069. [Google Scholar] [CrossRef]
- Ibrahim, S.A.; El-Dakhakhni, W.W.; Elgaaly, M. Behavior of bridge girders with corrugated webs under monotonic and cyclic loading. Eng. Struct. 2006, 28, 1941–1955. [Google Scholar] [CrossRef]
- Yi, J.; Gil, H.; Youm, K.; Lee, H. Interactive shear buckling behavior of trapezoidally corrugated steel webs. Eng. Struct. 2008, 30, 1659–1666. [Google Scholar] [CrossRef]
- Górecki, M.; Pieńko, M.; Łagoda, G. Numerical analysis of beam with sinusoidally corrugated webs. AIP Conf. Proc. 2018, 1922, 150009. [Google Scholar]
- Górecki, M.; Śledziewski, K. Experimental Investigation of Impact Concrete Slab on the Bending Behavior of Composite Bridge Girders with Sinusoidal Steel Web. Materials 2020, 13, 273. [Google Scholar] [CrossRef] [PubMed] [Green Version]
- Śledziewski, K.; Górecki, M. Finite Element Analysis of the Stability of a Sinusoidal Web in Steel and Composite. Materials 2020, 13, 1041. [Google Scholar] [CrossRef] [PubMed] [Green Version]
- Elgaaly, M.; Seshadri, A.; Hamilton, R.W. Bending Strength of Steel Beams with Corrugated Webs. J. Struct. Eng. 1997, 123, 772–782. [Google Scholar] [CrossRef]
- He, J.; Wang, S.; Liu, Y.; Wang, D.; Xin, H. Shear behavior of steel I-girder with stiffened corrugated web, Part II: Numerical study. Thin-Walled Struct. 2020, 147, 106025. [Google Scholar] [CrossRef]
- Leblouba, M.; Junaid, M.T.; Barakat, S.; Altoubat, S.; Maalej, M. Shear buckling and stress distribution in trapezoidal web corrugated steel beams. Thin-Walled Struct. 2017, 113, 13–26. [Google Scholar] [CrossRef]
- Driver, R.G.; Abbas, H.H.; Sause, R. Shear Behavior of Corrugated Web Bridge Girders. J. Struct. Eng. 2006, 132, 195–203. [Google Scholar] [CrossRef]
- Moon, J.; Yi, J.; Choi, B.H.; Lee, H.E. Shear strength and design of trapezoidally corrugated steel webs. J. Constr. Steel Res. 2009, 65, 1198–1205. [Google Scholar] [CrossRef]
- Hassanein, M.F.; Elkawas, A.A.; El Hadidy, A.M.; Elchalakani, M. Shear analysis and design of high-strength steel corrugated web girders for bridge design. Eng. Struct. 2017, 146, 18–33. [Google Scholar] [CrossRef]
- Riahi, F.; Behravesh, A.; Fard, M.Y.; Armaghani, A. Shear Buckling Analysis of Steel Flat and Corrugated Web I-girders. KSCE J. Civil Eng. 2018, 22, 5058–5073. [Google Scholar] [CrossRef]
- Sayed-Ahmed, E.Y. Plate girders with corrugated steel webs. Eng. J. 2005, 42, 1–13. [Google Scholar]
- Kövesdi, B.; Jáger, B.; Dunai, L. Bending and shear interaction behavior of girders with trapezoidally corrugated webs. J. Constr. Steel Res. 2016, 121, 383–397. [Google Scholar] [CrossRef]
- Jáger, B.; Dunai, L.; Kövesdi, B. Experimental investigation of the M-V-F interaction behavior of girders with trapezoidally corrugated web. Eng. Struct. 2017, 133, 49–58. [Google Scholar] [CrossRef]
- DASt-Richtlinie 015; Träger mit Schlanken Stegen. Deutsches Ausschuss für Stahlbau DASt: Köln, Germany, 1990.
- EN 1993-1-5; Eurocode 3: Design of Steel Structures—Part. 1-5: Plated Structural Elements. CEN: Brussels, Belgium, 2006.
- Kövesdi, B.; Braun, B.; Kuhlmann, U.; Dunai, L. Patch loading resistance of girders with corrugated webs. J. Constr. Steel Res. 2010, 66, 1445–1454. [Google Scholar] [CrossRef]
- Zevallos, E.; Hassanein, M.F.; Real, E.; Mirambell, E. Shear evaluation of tapered bridge girder panels with steel corrugated webs near the supports of continuous bridges. Eng. Struct. 2016, 113, 149–159. [Google Scholar] [CrossRef]
- He, J.; Liu, Y.; Chen, A.; Yoda, T. Mechanical behavior and analysis of composite bridges with corrugated steel webs: State-of-the-art. Int. J. Steel Struct. 2012, 12, 321–338. [Google Scholar] [CrossRef]
- EN 1993-1-1; Eurocode 3: Design of Steel Structures—Part. 1-1: General Rules and Rules for Buildings. CEN: Brussels, Belgium, 2006.






















| Girder | Type of Web 1 | Web Thickness tw | Web Height hw | Peak-to-Peak Values a | Wave Period w | Flange Dimensions bf × tf | |
|---|---|---|---|---|---|---|---|
| (mm) | (mm) | (mm) | (mm) | (–) | (mm) | ||
| BS 155/3/1 | CW | 3 | 250 | 43 | 155 | 0.277 | 180 × 8 |
| BS 155/3/2 | CW | 3 | 250 | 43 | 155 | 0.277 | 180 × 8 |
| BS 200/3 | CW | 3 | 250 | 55 | 200 | 0.275 | 180 × 8 |
| BS 200/5 | CW | 5 | 250 | 55 | 200 | 0.275 | 180 × 8 |
| BS 381/3 | CW | 3 | 250 | 140 | 381 | 0.367 | 180 × 8 |
| BS 381/5 | CW | 5 | 250 | 140 | 381 | 0.367 | 180 × 8 |
| BP 250/3 | FW | 3 | 250 | - | - | - | 180 × 8 |
| BP 250/5 | FW | 5 | 250 | - | - | - | 180 × 8 |
| Place of Sampling | Girder | Tensile Strength fu | Young’s Modulus E |
|---|---|---|---|
| (MPa) | (GPa) | ||
| Web | BS 155/3/2 | 486.80 | 204.26 |
| Web | BS 200/3 | 509.21 | 197.82 |
| Web | BS 200/5 | 497.42 | 197.02 |
| Web | BS 381/3 | 460.39 | 199.81 |
| Web | BS 381/5 | 495.97 | 194.39 |
| Web | BP 250/3 | 517.45 | 210.10 |
| Web | BP 250/5 | 511.74 | 205.73 |
| Flange | BP 250/3 | 443.94 | 180.45 |
| Girder | Calculations According to EC3 | Laboratory Test | Comparison of Laboratory Test and Calculations According to EC3 | ||||||
|---|---|---|---|---|---|---|---|---|---|
| Shear Resistance of the Web | Bending Resistance | Total Load | Half of the Loading Force | Bending Moment | Degree of Utilization of the Shear Resistance | Degree of Utilization of the Bending Resistance | |||
| VRd | MRd1 | MRd2 | MRd3 | Pgr | ½Pgr | MEd | ½Pgr/VRd | MEd/MRd3 | |
| (kN) | (kNm) | (kNm) | (kNm) | (kN) | (kN) | (kNm) | (%) | (%) | |
| BS 155/3/1 | 146.61 | 131.89 | 131.89 | 124.57 | 367.72 | 183.86 | 91.93 | 125.40 | 73.80 |
| BS 155/3/2 | 146.61 | 131.89 | 131.89 | 124.57 | 363.61 | 181.80 | 90.90 | 124.00 | 73.00 |
| BS 200/3 | 142.25 | 131.89 | 131.89 | 124.57 | 393.01 | 196.51 | 98.25 | 138.10 | 78.90 |
| BS 200/5 | 256.20 | 131.89 | 131.89 | 124.57 | 578.85 | 289.43 | 144.72 | 113.00 | 116.20 |
| BS 381/3 | 138.75 | 131.89 | 131.89 | 124.57 | 328.35 | 164.17 | 82.09 | 118.30 | 65.90 |
| BS 381/5 | 249.66 | 131.89 | 131.89 | 124.57 | 473.22 | 236.61 | 118.31 | 94.80 | 95.00 |
| BP 250/3 | 108.15 | 138.39 | 301.93 | 150.96 | 75.48 | 139.6 | 54.50 | ||
| BP 250/5 | 300.42 | 145.34 | 566.84 | 283.42 | 141.71 | 94.3 | 97.5 | ||
| Girder | Measuring Point | Percentage Increase in Deflections ΔLVDT 3 | Total Load Pgr | Percentage Increase in Loads ΔPgr | ||
|---|---|---|---|---|---|---|
| Under Force LVDT 1 | Central LVDT 3 | Under Force LVDT 2 | ||||
| (mm) | (mm) | (mm) | (%) | (kN) | (%) | |
| BS 155/3/1 | 22.451 | --- | 22.303 | --- | 367.715 | --- |
| BS 155/3/2 | 20.687 | 22.686 | 20.188 | --- | 363.608 | --- |
| BS 200/3 | 14.273 | 16.371 | 13.636 | 17.4 | 393.012 | 47.3 |
| BS 200/5 | 14.344 | 19.214 | 13.684 | 578.851 | ||
| BS 381/3 | 8.434 | 9.858 | 7.899 | 26.3 | 328.345 | 44.1 |
| BS 381/5 | 9.600 | 12.447 | 9.618 | 473.217 | ||
| BP 250/3 | 5.156 | 6.744 | 4.943 | 289.6 | 301.928 | 87.7 |
| BP 250/5 | 16.816 | 19.531 | 15.682 | 566.840 | ||
Publisher’s Note: MDPI stays neutral with regard to jurisdictional claims in published maps and institutional affiliations. |
© 2021 by the authors. Licensee MDPI, Basel, Switzerland. This article is an open access article distributed under the terms and conditions of the Creative Commons Attribution (CC BY) license (https://creativecommons.org/licenses/by/4.0/).
Share and Cite
Górecki, M.; Śledziewski, K. Influence of Corrugated Web Geometry on Mechanical Properties of I-Beam: Laboratory Tests. Materials 2022, 15, 277. https://doi.org/10.3390/ma15010277
Górecki M, Śledziewski K. Influence of Corrugated Web Geometry on Mechanical Properties of I-Beam: Laboratory Tests. Materials. 2022; 15(1):277. https://doi.org/10.3390/ma15010277
Chicago/Turabian StyleGórecki, Marcin, and Krzysztof Śledziewski. 2022. "Influence of Corrugated Web Geometry on Mechanical Properties of I-Beam: Laboratory Tests" Materials 15, no. 1: 277. https://doi.org/10.3390/ma15010277
APA StyleGórecki, M., & Śledziewski, K. (2022). Influence of Corrugated Web Geometry on Mechanical Properties of I-Beam: Laboratory Tests. Materials, 15(1), 277. https://doi.org/10.3390/ma15010277

