Analytical Approach and Numerical Simulation of Reinforced Concrete Beams Strengthened with Different FRCM Systems
Abstract
1. Introduction
2. Experimental Campaign, Materials, and Methods
3. Analytical Model
3.1. Considerations
- In the grid: The type of fiber, the arrangement of the fibers in the yarn (dry fiber fabric or coated yarn grid), and the geometric configuration of the grid.
- In the matrix: The chemical composition of the mortars and the size of the fine grain.
- In the RC beam: The type of concrete and the substrate treatment before the application of FRCMs.
3.2. Formulation
3.3. Analytical Results
4. Numerical Models
4.1. General Materials’ Constitutive Formulations
4.2. Unstrengthened Beam Model
4.3. FRCM-Strengthened Beam Model
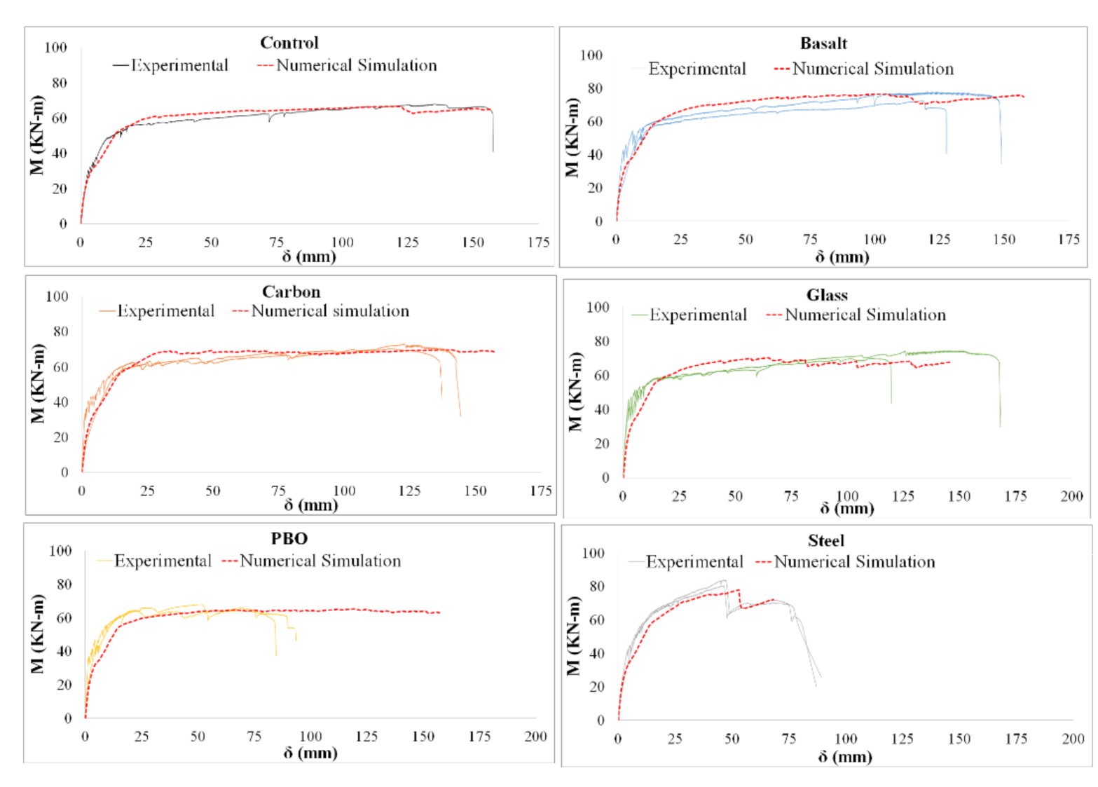
4.4. Results of the Beams’ Numerical Models
- Control beam: The ultimate and yielding moments and the deflection at the ultimate moment properly fit the experimental results with differences ranging between 2% and 11%. However, the numerically predicted deflection at the yielding moment was much higher than that in the experimental results (39%).
- Beam strengthened with basalt-, carbon-, glass-, and steel-FRCM: The model for the strengthened beam was able to obtain values of the ultimate moment the and deflection at the ultimate moment close to the experimental results with differences ranging from 2% to 19%, except in the case of glass-FRCM, where the numerical model brought a deflection at the maximum moment with a far lower value than that in the experimental tests (49%).
- Beam strengthened with PBO-FRCM: This beam showed the greatest dispersion of the deflection at the ultimate moment, the yielding moment, and the deflection with differences ranging between 29% and 97%. This is because of the premature experimental failure of the beam strengthened with PBO-FRCM.
5. Conclusions
- Comparing the different types of reinforcements, the steel and glass strengthening systems are the FRCMs that developed the lowest reduction of the tensile capacity of the fibers. Hence, they were the most efficient. However, carbon, basalt, and PBO, very promising materials, showed the highest reduction of tensile capacity of the fibers probably due to the incapacity of the corresponding matrices to impregnate fully the dry fibers that compose the fabric.
- The analysis of FRCM systems revealed that the type of matrix used highly affects the reduction parameter of fibers, implying that it is necessary to create a database of experimental results for each combination of matrix and grid used. Thus, the use of combinations of grids and matrices to manufacture FRCMs not guaranteed by the provider should be taken with extreme care.
- The concrete tensile strength and the modulus of deformation were adapted to fit the numerical simulations with the experimental results. The tensile strength coefficient was reduced a 50% (from 0.7 of the normative to a 0.35). The modulus of deformation was reduced to 36%. These values were successfully used for both the control and FRCM-strengthened beams. For all of them, numerical simulations proved that these modified properties were representative of the proposed model.
- The numerical model was effective for carbon-, basalt-, glass-, and steel-FRCM-strengthened beams for predicting the bending moments and displacement (variation between 2% and 15%) due to the coefficient β determined in the analytical approach. However, in the case of PBO-FRMC, it was not possible to reproduce the experimental results, because the failure criterion was reached at a very large deflection bigger (variation of 97%) than its experimental failure.
- In summary, it can be said that although there is limited experimental evidence to determine the coefficient β, it can be successfully used as a representative parameter of the performance capability of different types of FCRM solutions. β can be applied as a reduction of the ultimate tensile strength of fibers and it represents a promising approach that highly simplifies the analytical design of FRCMs when applied for RC flexural strengthening. Practitioners could benefit from using this strategy to calculate feasible strengthening solutions. With the aim of increasing the reliability of the model, we urge the performance of more experimental tests that allow to expand the results database and fitting the coefficient β more accurately.
Author Contributions
Funding
Institutional Review Board Statement
Informed Consent Statement
Data Availability Statement
Acknowledgments
Conflicts of Interest
Notation
| Afib | Area of fibers |
| Experimental contribution of the FRCMs to the ultimate flexural capacity of the strengthened specimen | |
| β | Coefficient to compensate the slipping effect of the fabric inside the matrix |
| Secant modulus of deformation | |
| Fabric ultimate deformation | |
| Deformation of the concrete is taken | |
| εs,u | Ultimate strain of the steel reinforcement |
| Elastic limit | |
| Fy,exp | Experimental yielding flexural force |
| fb0/fc0 | Relationship between the maximum uniaxial and biaxial compression stress at the beginning of the loading process |
| Characteristic tensile strength | |
| Medium tensile strength | |
| fc | Concrete compression strength |
| fs,u | Tensile stress supported by tensile steel |
| fs,uk | Tensile stress supported by skin steel |
| ff,u | Tensile stress supported by fabric when the strengthened beam reaches the maximum experimental moment |
| Ky,exp | Experimental stiffness coefficient |
| K | Form parameter of the plasticizing surface |
| k | Theoretical contribution of fibers to the ultimate bending capacity of concrete beams |
| Mmax,exp | Experimental maximum flexural moment |
| My,exp | Experimental yielding flexural moment |
| Mmax,an | Analytical predictions of the maximum flexural moment |
| Analytical ultimate moment of control beams | |
| Flexural contributions of concrete (control and strengthened beams) | |
| Flexural contributions of tensile steel reinforcement (control and strengthened beams) | |
| Flexural contributions of skin steel reinforcement (control and strengthened beams) | |
| Flexural contributions of compressive steel reinforcement (control and strengthened beams) | |
| Analytical ultimate maximum strength of strengthened beams | |
| δmax,exp | Experimental deflections recorded at the mid-span of specimens at the maximum flexural moment |
| δy,exp | Experimental deflections recorded at the mid-span of specimens when the yielding flexural moment is reached |
| x | Neutral axis depth |
References
- Awani, O.; El-Maaddawy, T.; Ismail, N. Fabric-reinforced cementitious matrix: A promising strengthening technique for concrete structures. Constr. Build. Mater. 2017, 132, 94–111. [Google Scholar] [CrossRef]
- Triantafillou, T.C.; Papanicolaou, C.G. Textile reinforced mortars (TRM) versus fibre reinforced polymers (FRP) as strengthening materials of concrete structures. In Proceedings of the 7th ACI International Symposium on Fibre-Reinforced (FRP) Polymer Reinforcement for Concrete Structures, Kansas City, MO, USA, 6–9 November 2005; pp. 99–118. [Google Scholar]
- D’Ambrisi, A.; Focacci, F. Flexural Strengthening of RC Beams with Cement-Based Composites. J. Compos. Constr. 2011, 15, 707–720. [Google Scholar] [CrossRef]
- Balaguru, P.; Kurtz, S.; Rudolph, J. GEOPOLYMER for Repair and Rehabitlitation of Reinforced Concrete Beams; Geopolymer Institute: St Quentin, France, 1997; pp. 1–5. [Google Scholar]
- Babaeidarabad, S.; Loreto, G.; Nanni, A. Flexural Strengthening of RC Beams with an Externally Bonded Fabric-Reinforced Cementitious Matrix. J. Compos. Constr. 2014, 18, 04014009. [Google Scholar] [CrossRef]
- Larbi, A.S.; Contamine, R.; Hamelin, P. TRC and Hybrid Solutions for Repairing and/or Strengthening Reinforced Concrete Beams. Eng. Struct. 2012, 45, 12–20. [Google Scholar] [CrossRef]
- Elsanadedy, H.M.; Almusallam, T.H.; Alsayed, S.H.; Al-Salloum, Y.A. Flexural strengthening of RC beams using textile reinforced mortar—Experimental and numerical study. Compos. Struct. 2013, 97, 40–55. [Google Scholar] [CrossRef]
- Pellegrino, C.; D’Antino, T. Experimental behaviour of existing precast prestressed reinforced concrete elements strengthened with cementitious composites. Compos. Part B Eng. 2013, 55, 31–40. [Google Scholar] [CrossRef]
- Gil, L.; Escrig, C.; Bernat-Maso, E. Bending Performance of Concrete Beams Strengthened with Textile Reinforced Mortar TRM. Key Eng. Mater. 2014, 601, 203–206. [Google Scholar] [CrossRef]
- Napoli, A.; Realfonzo, R. Reinforced concrete beams strengthened with SRP/SRG systems: Experimental investigation. Constr. Build. Mater. 2015, 93, 654–677. [Google Scholar] [CrossRef]
- Ebead, U.; Shrestha, K.C.; Afzal, M.S.; El Refai, A.; Nanni, A. Effectiveness of Fabric-Reinforced Cementitious Matrix in Strengthening Reinforced Concrete Beams. J. Compos. Constr. 2017, 21, 04016084. [Google Scholar] [CrossRef]
- Wiberg, A. Strengthening of Concrete Beams Using Cementitious Carbon Fibre Composites; Royal Institute of Technology of Sweden: Stockholm, Sweden, 2003. [Google Scholar]
- Toutanji, H.; Deng, Y. Comparison between Organic and Inorganic Matrices for RC Beams Strengthened with Carbon Fiber Sheets. J. Compos. Constr. 2007, 11, 507–513. [Google Scholar] [CrossRef]
- Barton, B.L.; Wobbe, E.N.; Dharani, L.; Silva, P.F.; Birman, V.; Nanni, A.; Alkhrdaji, T.; Thomas, J.; Tunis, G. Characterization of reinforced concrete beams strengthened by steel reinforced polymer and grout (SRP and SRG) composites. Mater. Sci. Eng. A 2005, 412, 129–136. [Google Scholar] [CrossRef]
- Sneed, L.H.; Verre, S.; Carloni, C.; Ombres, L. Flexural behavior of RC beams strengthened with steel-FRCM composite. Eng. Struct. 2016, 127, 686–699. [Google Scholar] [CrossRef]
- Brückner, A.; Ortlepp, R.; Curbach, M. Textile reinforced concrete for strengthening in bending and shear. Mater. Struct. 2006, 39, 741–748. [Google Scholar] [CrossRef]
- Papanicolaou, C.G.; Papantoniou, I.C. Mechanical Behavior of Textile Reinforced Concrete (TRC)/Concrete Composite Elements. J. Adv. Concr. Technol. 2010, 8, 35–47. [Google Scholar] [CrossRef]
- Ombres, L. Flexural analysis of reinforced concrete beams strengthened with a cement based high strength composite material. Compos. Struct. 2011, 94, 143–155. [Google Scholar] [CrossRef]
- Larrinaga, P.; Chastre, C.; San-José, J.T.; Garmendia, L. Non-linear analytical model of composites based on basalt textile reinforced mortar under uniaxial tension. Compos. Part B Eng. 2013, 55, 518–527. [Google Scholar] [CrossRef]
- D’Antino, T.; Sneed, L.H.; Carloni, C.; Pellegrino, C. Influence of the substrate characteristics on the bond behavior of PBO FRCM-concrete joints. Constr. Build. Mater. 2015, 101, 838–850. [Google Scholar] [CrossRef]
- Leone, M.; Aiello, M.A.; Balsamo, A.; Carozzi, F.G.; Ceroni, F.; Corradi, M.; Gams, M.; Garbin, E.; Gattesco, N.; Krajewski, P.; et al. Glass fabric reinforced cementitious matrix: Tensile properties and bond performance on masonry substrate. Compos. Part B Eng. 2017, 127, 196–214. [Google Scholar] [CrossRef]
- ACI Committee 549. ACI 549.4R-13—Guide to Design and Construction of Externally Bonded Fabric-Reinforced Cementitious Matrix (FRCM) Systems for Repair and Strengthening Concrete and Masonry Structures; American Concrete Institute: Farmington Hills, MI, USA, 2013. [Google Scholar]
- Donnini, J.; Lancioni, G.; Corinaldesi, V. Failure modes in FRCM systems with dry and pre-impregnated carbon yarns: Experiments and modeling. Compos. Part B Eng. 2018, 140, 57–67. [Google Scholar] [CrossRef]
- Grande, E.; Milani, G. Interface modeling approach for the study of the bond behavior of FRCM strengthening systems. Compos. Part B Eng. 2018, 141, 221–233. [Google Scholar] [CrossRef]
- Sucharda, O. Identification of Fracture Mechanic Properties of Concrete and Analysis of Shear Capacity of Reinforced Concrete Beams without Transverse Reinforcement. Materials 2020, 13, 2788. [Google Scholar] [CrossRef]
- Valikhani, A.; Jahromi, A.J.; Mantawy, I.M.; Azizinamini, A. Numerical Modelling of Concrete-to-UHPC Bond Strength. Materials 2020, 13, 1379. [Google Scholar] [CrossRef]
- Escrig, C.; Gil, L.; Bernat-Maso, E. Experimental comparison of reinforced concrete beams strengthened against bending with different types of cementitious-matrix composite materials. Constr. Build. Mater. 2017, 137, 317–329. [Google Scholar] [CrossRef]
- EHE-08. Normativa de Hormigón Estructural en España; Gobierno de Espana: Madrid, Spain, 2008; Volume 1, pp. 1689–1699. [Google Scholar]
- EN 12390-1. Testing Hardened Concrete-Part 1: Shape, Dimensions and Other Requirements for Specimens and Moulds; No. 10; BSI: Milton Keynes, UK, 1993; Volume 38. [Google Scholar]
- EN 12390-3. Testing Hardened Concrete—Part 3: Compressive Strength of Test Specimens; British Standards Institution: London, UK, 2019. [Google Scholar]
- EN ISO 15630-1. Steel for the Reinforcement and Pre-Stressing of Concrete—Test Methods—Part 1: Reinforcing Bars, Wire Rod and Wire; International Organization for Standardization: Geneva, Switzerland, 2010; p. 248. [Google Scholar]
- Comité Européen de Normalisation. Eurocode Design of Concrete Structures—Part 1: Common Rules for Building and Civil Engineering Structures; prEN 1992-1; European Committee for Standardisation, Central Secretariat: Brussels, Belgium, 2004. [Google Scholar]
- Voss, S.; Hegger, J.; Hegger, J.; Brameshuber, W.; Will, N. Dimensioning of textile reinforced concrete structures. In Proceedings of the 1st International RILEM Symposium on Textile Reinforced Concrete, RILEM Publication SARL, Paris, France, 6–7 September 2006; pp. 151–160. [Google Scholar]
- Hegger, J.; Will, N.; Bruckermann, O.; Voss, S. Load–bearing behaviour and simulation of textile reinforced concrete. Mater. Struct. 2006, 39, 765–776. [Google Scholar] [CrossRef]
- Simulia. Abaqus 6. User´s Manual. 2011. [Google Scholar]
- Bertolesi, E.; Carozzi, F.G.; Milani, G.; Poggi, C. Numerical modeling of Fabric Reinforce Cementitious Matrix composites (FRCM) in tension. Constr. Build. Mater. 2014, 70, 531–548. [Google Scholar] [CrossRef]
- Alfarah, B.; López-Almansa, F.; Oller, S. New methodology for calculating damage variables evolution in Plastic Damage Model for RC structures. Eng. Struct. 2017, 132, 70–86. [Google Scholar] [CrossRef]
- Sumer, Y.; Aktaş, M. Defining parameters for concrete damage plasticity model. Chall. J. Struct. Mech. 2015, 1, 149–155. [Google Scholar] [CrossRef]
- Ronanki, V.S.; Burkhalter, D.I.; Aaleti, S.; Song, W.; Richardson, J.A. Experimental and analytical investigation of end zone cracking in BT-78 girders. Eng. Struct. 2017, 151, 503–517. [Google Scholar] [CrossRef]
- Mercedes, L.; Bernat, E.; Gil, L. Numerical model of vegetal fabric reinforced cementitious matrix composites (FRCM) subjected to tensile loads. In Proceedings of the CMMoST 2019—5th International Conference on Mechanical Models in Structural Engineering, Alicante, Spain, 23–25 October 2019. [Google Scholar]
- Bertolesi, E.; Milani, G.; Poggi, C. Simple holonomic homogenization model for the non-linear static analysis of in-plane loaded masonry walls strengthened with FRCM composites. Compos. Struct. 2016, 158, 291–307. [Google Scholar] [CrossRef]









| Beam State | Concrete Compression Strength (MPa) | Mortar-FRCM Compression Strength (MPa) | ||
|---|---|---|---|---|
| Control beam | 42.35 | (3%) | - | - |
| Beam with basalt-FRCM | 55.42 | (1%) | 24.65 | (6%) |
| Beam with carbon-FRCM | 42.35 | (3%) | 24.95 | (7%) |
| Beam with glass-FRCM | 46.52 | (3%) | 35.4 | (7%) |
| Beam with PBO-FRCM | 42.35 | (3%) | 30.02 | (7%) |
| Beam with steel-FRCM | 46.52 | (3%) | 24.65 | (6%) |
| FRCM Properties | Basalt | Carbon | Glass | PBO | Steel |
|---|---|---|---|---|---|
| Fabric tensile strength (MPa) | 3080 | 4320 | 2610 | 5800 | 3200 |
| Fabric modulus of elasticity (MPa) | 95,000 | 240,000 | 90,000 | 270,000 | 206,000 |
| Fabric area (mm2) | 10.6 | 9.4 | 8.4 | 9.1 | 15 |
| Beam | No. of Test | Mmax,exp (kN-m) | My,exp (kN-m) | δmax,exp (mm) | δy,exp (mm) |
|---|---|---|---|---|---|
| Control | 1 | 67.89 | 48.66 | 135.08 | 10.05 |
| Basalt | 2 | 75.05 | 58.62 | 120.78 | 15.10 |
| (4%) | (1%) | (2%) | (4%) | ||
| Carbon | 2 | 71.62 | 60.12 | 120.44 | 16.30 |
| (2%) | (1%) | (2%) | (%) | ||
| Glass | 2 | 72.35 | 58.04 | 128.18 | 14.54 |
| (3%) | (%) | (14%) | (9%) | ||
| PBO | 2 | 66.26 | 63.56 | 60.35 | 20.39 |
| (3%) | (1%) | (16%) | (8%) | ||
| Steel | 2 | 82.10 | 69.64 | 46.47 | 22.82 |
| (2%) | (1%) | (0%) | (8%) |
| Beam | Mu,exp (kN-m) | εc (/) | fc (MPa) | fs,u (MPa) | fs,uk (MPa) | a (kN-m) | K (kN-m) | β | ff,u (MPa) |
|---|---|---|---|---|---|---|---|---|---|
| Control | 67.89 | 0.0035 | 42.35 | 579.634 | 549.85 | 14.12 | - | - | - |
| Basalt | 75.05 | 0.00173 | 55.42 | 500 | 520.00 | 8.43 | 15.65 | 0.54 | 1658.32 |
| Carbon | 71.65 | 0.00241 | 42.35 | 538.375 | 528.25 | 8.24 | 19.30 | 0.43 | 1844.09 |
| Glass | 72.40 | 0.00169 | 46.52 | 551.456 | 535.21 | 6.06 | 10.46 | 0.58 | 1512.73 |
| PBO | 66.25 | 0.00146 | 42.35 | 542.493 | 530.35 | 1.42 | 24.96 | 0.06 | 329.41 |
| Steel | 82.10 | 0.00091 | 46.52 | 535.455 | 526.75 | 17.92 | 19.30 | 0.78 | 2504.40 |
| FRCM | Mortar—Young’s Modulus (MPa) | Mortar—Compression Strength (MPa) | Mortar—Tension Strength (MPa) | Fabric-Young’s Modulus (MPa) | Fabric—Tension Strength × β (MPa) |
|---|---|---|---|---|---|
| Basalt | 8905.54 | 24.65 | 0.89 | 95,000 | 1658.32 |
| Carbon | 8941.53 | 24.95 | 0.90 | 240,000 | 2048.99 |
| Glass | 10,047.45 | 35.40 | 1.13 | 61,250 | 1512.73 |
| PBO | 9510.24 | 30.02 | 1.01 | 270,000 | 329.41 |
| Steel | 8905.54 | 24.65 | 0.89 | 206,000 | 2504.40 |
| Concrete Beams | Concrete—Young’s Modulus (MPa) | Concrete—Compression Strength (MPa) | Concrete—Tension Strength (MPa) | FRCM—Young’s Modulus (First Slope) (MPa) | FRCM—Tension Strength × β (MPa) |
|---|---|---|---|---|---|
| Control | 10,666.11 | 42.35 | 1.28 | - | - |
| Basalt | 11,666.58 | 55.42 | 1.53 | 1760.38 | 7.91 |
| Carbon | 10,666.11 | 42.35 | 1.28 | 6187.00 | 9.63 |
| Glass | 11,005.29 | 46.52 | 1.36 | 2438.09 | 6.35 |
| PBO | 10,666.11 | 42.35 | 1.28 | 3518.83 | 1.50 |
| Steel | 11,005.29 | 46.52 | 1.36 | 3887.05 | 18.60 |
| Beam | Mmax,num (kN-m) | My,num (kN-m) | δmax,num (mm) | δy,num (mm) |
|---|---|---|---|---|
| Control | 66.60 | 52.06 | 120.76 | 13.99 |
| Δexp | (−2%) | (7%) | (−11%) | (39%) |
| Basalt | 76.51 | 57.27 | 104.01 | 13.62 |
| Δexp | (2%) | (−2%) | (−14%) | (−10%) |
| Carbon | 69.78 | 55.81 | 138.65 | 14.18 |
| Δexp | (−3%) | (−7%) | (15%) | (−13%) |
| Glass | 70.30 | 54.99 | 64.71 | 13.77 |
| Δexp | (−3%) | (−5%) | (−49%) | (−5%) |
| PBO | 65.30 | 82.10 | 119.08 | 14.02 |
| Δexp | (−1%) | (29%) | (97%) | (−31%) |
| Steel | 77.93 | 56.44 | 53.03 | 13.62 |
| Δexp | (−5%) | (−19%) | (14%) | (−40%) |
Publisher’s Note: MDPI stays neutral with regard to jurisdictional claims in published maps and institutional affiliations. |
© 2021 by the authors. Licensee MDPI, Basel, Switzerland. This article is an open access article distributed under the terms and conditions of the Creative Commons Attribution (CC BY) license (https://creativecommons.org/licenses/by/4.0/).
Share and Cite
Mercedes, L.; Escrig, C.; Bernat-Masó, E.; Gil, L. Analytical Approach and Numerical Simulation of Reinforced Concrete Beams Strengthened with Different FRCM Systems. Materials 2021, 14, 1857. https://doi.org/10.3390/ma14081857
Mercedes L, Escrig C, Bernat-Masó E, Gil L. Analytical Approach and Numerical Simulation of Reinforced Concrete Beams Strengthened with Different FRCM Systems. Materials. 2021; 14(8):1857. https://doi.org/10.3390/ma14081857
Chicago/Turabian StyleMercedes, Luis, Christian Escrig, Ernest Bernat-Masó, and Lluís Gil. 2021. "Analytical Approach and Numerical Simulation of Reinforced Concrete Beams Strengthened with Different FRCM Systems" Materials 14, no. 8: 1857. https://doi.org/10.3390/ma14081857
APA StyleMercedes, L., Escrig, C., Bernat-Masó, E., & Gil, L. (2021). Analytical Approach and Numerical Simulation of Reinforced Concrete Beams Strengthened with Different FRCM Systems. Materials, 14(8), 1857. https://doi.org/10.3390/ma14081857

