Sign in to use this feature.

Years

Between: -

Subjects

remove_circle_outline
remove_circle_outline
remove_circle_outline
remove_circle_outline
remove_circle_outline
remove_circle_outline
remove_circle_outline
remove_circle_outline
remove_circle_outline

Journals

Article Types

Countries / Regions

remove_circle_outline
remove_circle_outline
remove_circle_outline
remove_circle_outline

Search Results (559)

Search Parameters:
Keywords = cementitious matrix

Order results
Result details
Results per page
Select all
Export citation of selected articles as:
22 pages, 2638 KB  
Article
Study on the Mechanical Properties and Microstructural Fractal Characteristics of Ternary Red-Mud-Based Cementitious Materials
by Hu Huang, Yongsheng Zhang, Ruihang Li, Qingming Qiu and Changbo Song
Fractal Fract. 2026, 10(5), 277; https://doi.org/10.3390/fractalfract10050277 - 22 Apr 2026
Abstract
Red mud (RM), a waste residue from alumina extraction, poses serious environmental impacts on water resources, land resources, and ecological systems due to its large production, high alkalinity, and low resource utilization. To enhance the overall utilization rate of RM solid-waste materials, this [...] Read more.
Red mud (RM), a waste residue from alumina extraction, poses serious environmental impacts on water resources, land resources, and ecological systems due to its large production, high alkalinity, and low resource utilization. To enhance the overall utilization rate of RM solid-waste materials, this study focuses on RM, blast furnace slag (BFS), and fly ash (FA) cementitious materials as the research objects. Through mechanical tests and microstructural analysis, the optimal mix ratio of the ternary RM-based cementitious material is determined, and a systematic study of its microstructural evolution is conducted. Concurrently, fractal theory was used to quantify the microstructure of the material, revealing the evolution laws of the mechanical properties of ternary red-mud-based cementitious materials from a mesoscopic perspective. The results indicate that reducing the proportion of RM or slag alone to increase the FA content yields inferior modification effects compared to simultaneously reducing the proportions of both RM and BFS to increase FA content. Compared with the binary RM-based cementitious material made of RM and BFS, the 28-day compressive strength increases by approximately 25%, reaching 50 MPa. The incorporation of FA can reduce the volume of harmful pores in the cementitious matrix, providing ample reactive material for subsequent hydration reactions, promoting later hydration products, and improving the distribution of the internal pore structure. This leads to increases in both fractal dimensions, and a rational mix proportion can effectively improve the microstructure and mechanical properties of the ternary RM-based cementitious material. Full article
19 pages, 6661 KB  
Article
Synergistic Effects of Fiber Inclination, Geometry, and Thermal Treatment on Fe-SMA Fiber Pull-Out Resistance in High-Performance Concrete
by Jan Białasik, Wojciech Podraza, Dominika Samulczyk and Alireza Tabrizikahou
Materials 2026, 19(8), 1668; https://doi.org/10.3390/ma19081668 - 21 Apr 2026
Abstract
Iron-based shape memory alloy (Fe-SMA) fibers can enhance cementitious composites through both crack bridging and thermally activated recovery stresses. Since fiber pull-out governs load transfer at the micro scale, understanding the combined effects of fiber geometry, inclination, and thermal treatment is essential. This [...] Read more.
Iron-based shape memory alloy (Fe-SMA) fibers can enhance cementitious composites through both crack bridging and thermally activated recovery stresses. Since fiber pull-out governs load transfer at the micro scale, understanding the combined effects of fiber geometry, inclination, and thermal treatment is essential. This study experimentally investigated the pull-out behavior of hooked-end Fe-SMA fibers embedded in high-performance concrete (HPC). A total of 54 ASTM C307-type briquette specimens were tested using single-hook (3D) and double-hook (4D) fibers at inclination angles of 60°, 75°, and 90° under ambient, 100 °C, and 200 °C conditions. Additional flexural, compressive, and direct tensile tests were conducted on plain HPC exposed to the same thermal regime. At ambient temperature, 4D fibers showed 50–70% higher peak pull-out forces than 3D fibers. Heating to 100 °C further increased pull-out resistance by about 6–17%, and the 4D-60-100 configuration achieved the highest performance. In contrast, exposure to 200 °C reduced pull-out resistance by about 5–12% below ambient values. Overall, a 60° inclination generally provided a better response, while 90° produced the lowest. The results confirm that moderate thermal activation combined with double-hook geometry is the most effective strategy for maximizing Fe-SMA fiber–matrix load transfer in HPC. Full article
(This article belongs to the Section Construction and Building Materials)
Show Figures

Figure 1

22 pages, 3802 KB  
Article
Durability and Mechanical Performance of Sisal-Fiber-Reinforced Cementitious Composites for Permanent Formwork Applications
by Igor Machado da Silva Parente, Daniel Véras Ribeiro, Ruan Carlos de Araújo Moura and Paulo Roberto Lopes Lima
Buildings 2026, 16(8), 1628; https://doi.org/10.3390/buildings16081628 - 21 Apr 2026
Abstract
Reinforced concrete structures must balance immediate structural performance with long-term durability against environmental degradation, particularly carbonation-induced corrosion. While traditional cast-in-place concrete covers serve as the primary barrier, their substitution with prefabricated permanent formworks made of fiber-reinforced cementitious composites often fails to provide the [...] Read more.
Reinforced concrete structures must balance immediate structural performance with long-term durability against environmental degradation, particularly carbonation-induced corrosion. While traditional cast-in-place concrete covers serve as the primary barrier, their substitution with prefabricated permanent formworks made of fiber-reinforced cementitious composites often fails to provide the necessary protective qualities required for aggressive environments. This study evaluates the durability and mechanical behavior of sisal-fiber-reinforced cementitious composites specifically engineered for use as permanent formwork. Short sisal fibers, treated by hornification to enhance dimensional stability and fiber–matrix adhesion, were incorporated at dosages of 2%, 4%, and 6% by weight. The experimental program included tests for water absorption, ultrasonic pulse velocity, axial compression, three-point flexural strength, and accelerated carbonation. The results indicated that composites with 2% and 4% of fibers exhibited reduced water absorption, sorptivity, compressive strength, and modulus of elasticity compared to the reference cement matrix. Residual stress values further demonstrated that the composites maintain significant post-cracking strength and stress transfer capacity, confirming their viability for structural elements. Although sisal-fiber-reinforced cementitious composites exhibit higher porosity and water absorption than conventional concrete used as reinforcement cover, they show sufficient resistance to carbonation to ensure a service life exceeding 50 years for reinforced concrete elements. Full article
(This article belongs to the Special Issue Advanced Composite Materials for Sustainable Construction)
Show Figures

Figure 1

20 pages, 3133 KB  
Article
Interfacial Friction-Controlled Fiber Failure Modes for Toughness Enhancement of Engineered Cementitious Composites
by Dachuan Zhang, Yingzi Yang, Zhendi Wang and Ling Wang
Materials 2026, 19(8), 1643; https://doi.org/10.3390/ma19081643 - 20 Apr 2026
Abstract
Despite extensive advancements in Engineered Cementitious Composites (ECCs), mixture design remains predominantly empirical, due to the absence of a quantitative parameter directly linking fiber–matrix interfacial mechanics to strain-hardening performance. This study identifies fiber–matrix interfacial friction as a quantifiable parameter and establishes a micromechanics-guided [...] Read more.
Despite extensive advancements in Engineered Cementitious Composites (ECCs), mixture design remains predominantly empirical, due to the absence of a quantitative parameter directly linking fiber–matrix interfacial mechanics to strain-hardening performance. This study identifies fiber–matrix interfacial friction as a quantifiable parameter and establishes a micromechanics-guided interfacial regulation framework to enhance the toughness of ECC by regulating fiber failure modes. First, a critical fiber–matrix interfacial frictional stress, (τ0)crit, corresponding to the transition between fiber pull-out and fracture, was theoretically derived based on energy dissipation maximization during crack propagation. A back-calculation approach was further developed to determine interfacial frictional stress (τ0) directly from tensile stress–crack opening responses under single-crack tension, eliminating reliance on single-fiber pull-out testing. Then, τ0 was tuned toward (τ0)crit through interfacial regulation using fly ash. Experimental results demonstrate that the toughness of ECC is maximized when τ0 approaches (τ0)crit, confirming the validity of the proposed toughness enhancement mechanism. The study establishes an explicit mechanistic linkage between interfacial micromechanics and macroscopic strain-hardening performance, providing a predictive and quantitative design pathway that transcends empirical mixture adjustment. Full article
(This article belongs to the Section Construction and Building Materials)
Show Figures

Graphical abstract

15 pages, 2606 KB  
Article
Sustainable Dry-Mix Shotcrete Production with Fly Ash and Silica Fume
by Hüseyin Hakan İnce, Melda Alkan Çakıroğlu, Cenk Öcal and Gülhan İnce
Buildings 2026, 16(8), 1603; https://doi.org/10.3390/buildings16081603 - 18 Apr 2026
Viewed by 89
Abstract
This study investigates the development of sustainable dry-mix shotcrete incorporating fly ash and silica fume as partial cement replacements in order to reduce the environmental impact of cement production. A total of 24 mixtures were systematically evaluated, with 10–30% supplementary cementitious material and [...] Read more.
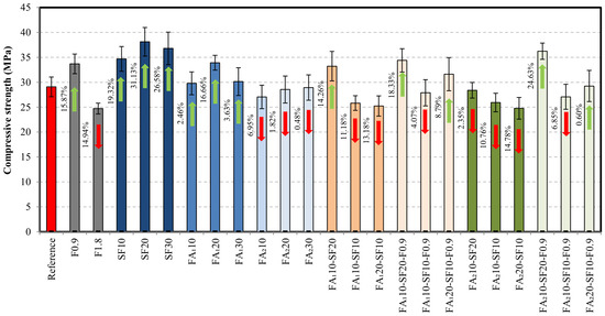
This study investigates the development of sustainable dry-mix shotcrete incorporating fly ash and silica fume as partial cement replacements in order to reduce the environmental impact of cement production. A total of 24 mixtures were systematically evaluated, with 10–30% supplementary cementitious material and 0.9–1.8 kg/m3 polypropylene fiber dosages. This research establishes a quantitative framework for optimizing mechanical performance, durability, and Global Warming Potential. Experimental results reveal that silica fume replacement increases 28-day compressive strength by up to 31.13%, while an optimal polypropylene fiber dosage of 0.9 kg/m3 provides a 15.87% strength enhancement through a matrix-bridging effect. Conversely, excessive fiber content (1.8 kg/m3) increases porosity, leading to a 14.94% reduction in strength. Durability analysis demonstrates that silica fume and fly ash significantly refine the microstructure, reducing sorptivity and limiting freeze–thaw strength loss to a range of 18.13% to 41.03%. Crucially, the 30% by volume of the cement replaced with silica fume mixture was identified as the optimum design, achieving the lowest Global Warming Potential per unit strength at 8.82 kg CO2-eq/m3/MPa, compared to 18.75 for the high-fiber mixture. These findings provide new, specific evidence that these supplementary cementitious material blends can successfully produce dry-mix shotcrete with significantly lower carbon emissions. Full article
(This article belongs to the Section Building Materials, and Repair & Renovation)
Show Figures

Figure 1

24 pages, 4729 KB  
Article
Preparation and Synergistic Activation Mechanism of Cemented Backfill Materials Utilizing MSWI Fly Ash and Low-Titanium Slag
by Bo Su, Jie Chi, Siqi Zhang, Jia Li, Keqing Li, Xingyang Xu and Wen Ni
Materials 2026, 19(8), 1551; https://doi.org/10.3390/ma19081551 - 13 Apr 2026
Viewed by 280
Abstract
A low-titanium-slag-based multi-solid-waste cementitious system was developed for cemented paste backfill. The cementitious binder was prepared from low-titanium slag (LTS), steel slag (SS), municipal solid waste incineration (MSWI) fly ash, and flue gas desulfurization gypsum (FGDG), while lead–zinc tailings were used as the [...] Read more.
A low-titanium-slag-based multi-solid-waste cementitious system was developed for cemented paste backfill. The cementitious binder was prepared from low-titanium slag (LTS), steel slag (SS), municipal solid waste incineration (MSWI) fly ash, and flue gas desulfurization gypsum (FGDG), while lead–zinc tailings were used as the aggregate for backfill materials preparation. The activation of low-titanium slag, proportion optimization, and strength development mechanisms were systematically investigated. Mechanical grinding effectively activated low-titanium slag, and its activity index reached 108% after 90 min of grinding at 28 d. Steel slag alone could not fully activate low-titanium slag in the ternary system, whereas the incorporation of MSWI fly ash significantly enhanced the synergistic activation effect. The quaternary system with 40% MSWI fly ash replacement showed higher cumulative heat release and better later-age strength. The optimum backfill proportion was a solid mass concentration of 81% with a binder-to-tailings ratio of 1:4, yielding a 28 d compressive strength of 11.07 MPa with satisfactory flowability and setting behavior. Microstructural results indicated that the continuous formation of ettringite and gel phases promoted pore refinement and matrix densification. Moreover, the leaching concentrations of Pb, Zn, Cr, and soluble Cl were all below the relevant groundwater quality limits. These results demonstrate a feasible route for the high-value co-utilization of low-titanium slag and MSWI fly ash in cemented backfill materials. Full article
(This article belongs to the Section Construction and Building Materials)
21 pages, 4418 KB  
Article
Experimental Study on the Mechanical Properties of Steel-PE Hybrid Fiber Reinforced Engineering Cementitious Composites Containing Geopolymer Aggregates
by Jin Zhang and Yuzhuo Zeng
Buildings 2026, 16(8), 1520; https://doi.org/10.3390/buildings16081520 - 13 Apr 2026
Viewed by 251
Abstract
In engineered cementitious composites (ECCs), the use of fine quartz sand is associated with high cost and is unfavorable for reducing ECC shrinkage. Moreover, the mining and processing of fine quartz sand impose negative environmental impacts. At the same time, the polyethylene (PE) [...] Read more.
In engineered cementitious composites (ECCs), the use of fine quartz sand is associated with high cost and is unfavorable for reducing ECC shrinkage. Moreover, the mining and processing of fine quartz sand impose negative environmental impacts. At the same time, the polyethylene (PE) or polyvinyl alcohol (PVA) fibers added to ensure ECC ductility are expensive, which limits the widespread application of ECCs. With the aim of waste utilization and cost reduction while improving efficiency, this study employs geopolymer aggregate (GPA) as an alternative to fine quartz sand and partially replaces PE fibers with steel fibers to develop an economical and environmentally friendly geopolymer aggregate ECC. Six groups of ECC specimens with different mix proportions were designed and tested under uniaxial compression, flexural loading, and uniaxial tension. Different aggregate types (fine quartz sand and geopolymer aggregate) and volume fraction ratios of PE fibers to steel fibers (0:2.0, 0.5:1.5, 1.0:1.0, 1.5:0.5, and 2.0:0) were adopted to investigate their effects on mechanical properties, microstructural characteristics, and material sustainability. The experimental results reveal the failure process and deformation characteristics of the ECCs at different loading stages. The results indicate that geopolymer aggregate, owing to its lower stiffness and fracture energy, can promote multiple cracking behavior in ECCs. Although the complete replacement of quartz sand with porous GPA initially causes a slight reduction in the compressive and flexural strengths of the matrix, the hybridization strategy—partially replacing PE fibers with steel fibers—effectively compensates for this strength loss while maintaining excellent ductility. By comparing sustainability indicators with those of conventional ECCs, the results demonstrate that hybrid fiber geopolymer aggregate ECCs can effectively reduce material costs and carbon dioxide emissions. These findings verify the sustainability of producing green ECCs using industrial solid waste as an aggregate and provide guidance for the application of environmentally friendly geopolymer aggregate ECCs. Full article
(This article belongs to the Section Building Materials, and Repair & Renovation)
Show Figures

Figure 1

23 pages, 51149 KB  
Article
Age-Dependent Effects of Graphene Oxide on Hydration-Gel Evolution and Strength Development of Fly Ash-Blended Cementitious Materials
by Hai-Sheng Huang, Ying Peng, Xiu-Cheng Zhang and Xue-Fei Chen
Gels 2026, 12(4), 312; https://doi.org/10.3390/gels12040312 - 6 Apr 2026
Viewed by 292
Abstract
Fly ash is an effective supplementary cementitious material for reducing clinker consumption and carbon emissions, but its low early reactivity often results in delayed hydration and insufficient early-age strength. This study investigated the age-dependent role of graphene oxide (GO) in fly ash-blended cementitious [...] Read more.
Fly ash is an effective supplementary cementitious material for reducing clinker consumption and carbon emissions, but its low early reactivity often results in delayed hydration and insufficient early-age strength. This study investigated the age-dependent role of graphene oxide (GO) in fly ash-blended cementitious materials by combining compressive strength testing with X-ray diffraction (XRD), thermogravimetric analysis (TG-DTG), 29Si magic-angle spinning nuclear magnetic resonance (29Si MAS NMR), and scanning electron microscopy coupled with energy-dispersive spectroscopy (SEM-EDS). Fly ash replacement levels of 10%, 20%, and 30% were considered, and 0.07% GO was introduced to evaluate its effect at 3, 7, and 28 days. The results showed that fly ash reduced the 3-day compressive strength, whereas the strength differences became much smaller at 28 days. GO enhanced the compressive strength of all fly ash-blended mixtures. XRD and TG-DTG results showed that GO refined Ca(OH)2 crystallization and reduced the retained CH content, indicating more effective CH utilization during hydration and pozzolanic reaction. At 28 days, the incorporation of 0.07% GO increased the compressive strength of the 30% fly ash mixture from 47.38 MPa to 56.58 MPa, while reducing the total CH content from 14.20% to 12.89%, indicating enhanced CH utilization and gel development. 29Si MAS NMR further demonstrated that GO promoted a more mature and polymerized silicate gel structure, as evidenced by lower Q0 fractions, higher mean chain length, and higher proportions of more polymerized silicate species. SEM-EDS observations confirmed that GO led to a denser matrix, less dominant coarse CH, and lower Ca/Si and Ca/(Si + Al) ratios. Overall, GO improved the mechanical performance of fly ash-blended cementitious materials through coupled regulation of hydration products, silicate gel polymerization, and matrix densification. Full article
(This article belongs to the Section Gel Chemistry and Physics)
Show Figures

Figure 1

21 pages, 2852 KB  
Article
A Mathematical Model for the Pullout Response of Hooked-End Shape Memory Alloy Fibres Embedded into Concrete
by Demewoz W. Menna and Aikaterini S. Genikomsou
Constr. Mater. 2026, 6(2), 22; https://doi.org/10.3390/constrmater6020022 - 2 Apr 2026
Viewed by 298
Abstract
This study investigates the pullout behaviour of hooked-end superelastic shape memory alloy (SMA) fibres embedded in concrete with the aim to develop an analytical model. Single fibre pullout experiments were performed to evaluate the mechanical response of SMA fibres with various hook geometries. [...] Read more.
This study investigates the pullout behaviour of hooked-end superelastic shape memory alloy (SMA) fibres embedded in concrete with the aim to develop an analytical model. Single fibre pullout experiments were performed to evaluate the mechanical response of SMA fibres with various hook geometries. A mathematical model based on the friction pulley method was then developed to predict the experimental pullout load versus displacement plots. The model integrates the tensile stress–strain response and the elastic–plastic constitutive behaviour of superelastic SMA materials, while also accounting for fibre slip and superelastic deformation during the pullout process. The pullout process is modelled through staged mechanisms including elastic response and debonding, progressive mechanical anchorage, and frictional pullout. The contribution of mechanical anchorage is governed by the elastic–superelastic strain distribution within the hook bends. The proposed model reasonably reproduces the overall load-slip response, peak pullout load, slip at peak load, and pullout energy for the three different fibre geometries extracted from normal strength and high-performance concrete matrix. The proposed mathematical model offers a transferable and predictive tool for assessing the pullout performance of hooked-end SMA fibres and supports their integration into design of SMA fibre-reinforced cementitious composites. Full article
Show Figures

Figure 1

25 pages, 8863 KB  
Article
PVA-KH792-Enhanced Composite Cementitious Material from Lead–Zinc Slag and Electroplating Sludge: Mechanical Performance and Heavy-Metal Immobilization
by Pengpeng Zhang and Dongwei Li
Materials 2026, 19(7), 1420; https://doi.org/10.3390/ma19071420 - 2 Apr 2026
Viewed by 390
Abstract
To address the limited simultaneous optimization of mechanical performance and heavy-metal stabilization in waste-based alkali-activated systems, this study investigates the development and characterization of a novel composite cementitious material for potential construction applications, utilizing lead and zinc smelting slag (LZSS) and electroplating sludge [...] Read more.
To address the limited simultaneous optimization of mechanical performance and heavy-metal stabilization in waste-based alkali-activated systems, this study investigates the development and characterization of a novel composite cementitious material for potential construction applications, utilizing lead and zinc smelting slag (LZSS) and electroplating sludge (ES) as precursors. The novelty of this study lies in the co-modification of an LZSS-based alkali-activated matrix with PVA and KH792 to improve both compressive behavior and heavy-metal stabilization in ES-containing specimens. Based on single-factor optimization, the optimal matrix was obtained at 3.5% alkali content, a water-glass modulus of 1.4, and a liquid-to-solid ratio of 0.22, followed by 28 days of curing before testing. On this basis, ES and PVA-KH792 were introduced to investigate their effects on mechanical behavior, heavy-metal leaching, and immobilization mechanisms. The results showed that adding ES reduced the compressive strength of the alkali-activated matrix, whereas PVA-KH792 modification partially restored matrix integrity and improved performance. At 5% ES content, the compressive strength of the modified specimen increased by 7.66% compared with that of the unmodified ES-containing sample. More importantly, under the sulfuric acid–nitric acid leaching method, the Cr leaching concentration decreased from 20.1 mg/L to 13.7 mg/L, meeting the relevant regulatory limit (GB5085.3-2007 and EPA limit). Microstructural and spectroscopic analyses indicated that the beneficial effect of PVA-KH792 was associated with matrix densification and enhanced heavy-metal immobilization. The immobilization mechanisms were mainly attributed to Cr(VI) reduction by Fe(II), complexation/coordination with functional groups introduced by PVA-KH792, and physical encapsulation within the alkali-activated matrix. The findings provide a promising approach to waste valorization and the development of sustainable building materials, contributing to resource efficiency and reducing the environmental impact of the construction sector. Full article
(This article belongs to the Section Construction and Building Materials)
Show Figures

Figure 1

22 pages, 5178 KB  
Article
Recycled Aggregates Influence on the Mechanical Properties of Cement Lime-Based Mortars Part II
by Ioan Sorin Letiu, Catalin Saitis, Daniela Lucia Manea, Claudiu Aciu, Marioara Moldovan, Stanca Cuc and Ioan Petean
Materials 2026, 19(7), 1386; https://doi.org/10.3390/ma19071386 - 31 Mar 2026
Viewed by 328
Abstract
In the current framework of sustainable development, stricter international regulations are shaping waste management practices, particularly in the construction sector—one of the main generators of waste. This study investigates the reuse of deteriorated plaster waste from façades scheduled for rehabilitation, by partially replacing [...] Read more.
In the current framework of sustainable development, stricter international regulations are shaping waste management practices, particularly in the construction sector—one of the main generators of waste. This study investigates the reuse of deteriorated plaster waste from façades scheduled for rehabilitation, by partially replacing cement or aggregates in lime–cement mortars. Four mortar formulations were tested: a reference mix, one with 45% aggregate replacement by plaster waste, one with 10% cement replacement, and another combining the 45% aggregate replacement with polypropylene fibers. Both microstructural and macrostructural analyses were conducted to identify correlations between these levels when incorporating waste and fibers. Results show a decrease in compressive strength (36% for aggregate and 29% for cement replacement) and flexural strength (24% and 18%, respectively) as the replacement ratio increases. However, the inclusion of polypropylene fibers improved the mechanical performance. SEM analysis confirmed significant microstructural variations within the cementitious matrix due to waste incorporation. Despite reduced strength values, all mixtures remained within the limits defined by current standards, validating the feasibility of using plaster waste in mortars and emphasizing its potential to reduce construction waste and promote sustainable development. Full article
(This article belongs to the Section Construction and Building Materials)
Show Figures

Figure 1

21 pages, 7534 KB  
Article
Analytical Model and FE Implementation for FRCM-Retrofitted Flat Masonry Under Direct Shear Tests
by Hamza Tahat, Natalia Pingaro and Mario Fagone
J. Compos. Sci. 2026, 10(4), 177; https://doi.org/10.3390/jcs10040177 - 26 Mar 2026
Viewed by 316
Abstract
This study presents an analytical and numerical framework to describe the debonding behavior of fiber-reinforced cementitious matrix (FRCM)-reinforced flat masonry elements under direct shear tests. A sawtooth shear stress–slip law, initially proposed for Steel Reinforced Grout (SRG) systems by two of the authors, [...] Read more.
This study presents an analytical and numerical framework to describe the debonding behavior of fiber-reinforced cementitious matrix (FRCM)-reinforced flat masonry elements under direct shear tests. A sawtooth shear stress–slip law, initially proposed for Steel Reinforced Grout (SRG) systems by two of the authors, is calibrated for a PBO-FRCM system based on the experimental results available in the literature. These recent experimental outcomes on flat masonry pillars serve to validate the model by capturing essential interface behaviors, including residual strength and pseudo-linear hardening. Furthermore, a finite element (FE) model of the specimens has been developed to simulate the interface response, allowing for a comparison between numerical predictions and experimental results. The sawtooth law is implemented directly in commercial FE software without the need for custom coding. Additionally, a mesh sensitivity analysis was performed to verify numerical stability and identify the optimal discretization parameters for consistent model response. Results show good agreement among experimental observations, the sawtooth analytical model, and FE simulations. The analytical model slightly underestimates the experimental peak load by about 4–6%, while the FE predictions differ from the experimental results by less than 10%, confirming the reliability of the proposed modeling framework. Full article
Show Figures

Figure 1

14 pages, 4096 KB  
Article
Biochar-Enhanced Inorganic Gel for Water Plugging in High-Temperature and High-Salinity Fracture-Vuggy Reservoirs
by Shiwei He and Tengfei Wang
Processes 2026, 14(6), 1014; https://doi.org/10.3390/pr14061014 - 21 Mar 2026
Viewed by 390
Abstract
With the expansion of global oil and gas resource exploration and development into deep and ultra deep layers, the efficient development of deep carbonate rock fracture cave reservoirs has become the key to ensuring energy security. However, this type of reservoir commonly faces [...] Read more.
With the expansion of global oil and gas resource exploration and development into deep and ultra deep layers, the efficient development of deep carbonate rock fracture cave reservoirs has become the key to ensuring energy security. However, this type of reservoir commonly faces high temperatures, high salinity, and extremely strong heterogeneity, leading to increasingly severe water content spikes caused by dominant water flow channels. Although the existing traditional inorganic plugging agent has good temperature resistance, it has the defects of great brittleness and easy cracking, while the organic polymer gel is prone to degradation failure under high temperature and high salt environments. In order to solve the above problems, a new biochar-enhanced inorganic composite gel system was constructed by using biochar prepared from agricultural and forestry waste pyrolysis as a functional enhancement component. Through rheological testing, high-temperature and high-pressure mechanical experiments, long-term thermal stability evaluation, and dynamic sealing experiments of fractured rock cores, the reinforcement and toughening laws and rheological control mechanisms of biochar on inorganic matrices were systematically studied. Research has found that a biochar content of 0.5 wt% can significantly improve the micro pore structure of the matrix. By utilizing its micro aggregate filling effect and interfacial chemical bonding, the compressive strength of the solidified body can be increased to over 2 MPa, and there is no significant decline in strength after aging at 130 °C for 30 days. More importantly, the unique “adsorption slow-release” mechanism of biochar effectively stabilizes the hydration reaction kinetics at high temperatures, extending the solidification time of the system to 15 h and solving the problem of flash condensation in deep well pumping. This system exhibits excellent shear thinning characteristics and crack sealing ability, and presents a unique “yield reconstruction” toughness sealing feature. This study elucidates the multidimensional strengthening mechanism of biochar in inorganic cementitious materials, providing technical reference for stable oil and water control in deep fractured reservoirs. Full article
Show Figures

Figure 1

21 pages, 4925 KB  
Article
Modeling and Prediction of Mechanical Properties of MFRC Based on Fiber Distribution Characteristics
by Kuan Lu, Jianjian Wu, Yajing Guan, Kaixing Liao, Deming Zeng and Mingli Cao
Buildings 2026, 16(6), 1247; https://doi.org/10.3390/buildings16061247 - 21 Mar 2026
Viewed by 211
Abstract
This study develops a multi-scale fiber-reinforced cementitious composite (MFRC) by hybridizing calcium carbonate whisker (CW), polyvinyl alcohol (PVA) fiber, and steel fiber. The interfacial micromechanical properties between steel fiber/matrix and PVA fiber/matrix under the influence of CW were systematically examined through single-fiber pull-out [...] Read more.
This study develops a multi-scale fiber-reinforced cementitious composite (MFRC) by hybridizing calcium carbonate whisker (CW), polyvinyl alcohol (PVA) fiber, and steel fiber. The interfacial micromechanical properties between steel fiber/matrix and PVA fiber/matrix under the influence of CW were systematically examined through single-fiber pull-out tests. The two-dimensional and three-dimensional distribution characteristics of fibers in the MFRC were analyzed using backscattered electron imaging (BSE) and X-ray computed tomography (X-CT), respectively. Based on the fiber distribution characteristics, flexural strength prediction models were developed with R2 values of 0.79 (2D) and 0.82 (3D). Experimental validation via splitting tensile tests and three-point bending tests confirmed the model’s effectiveness in simultaneously predicting splitting tensile strength (R2 = 0.89) and flexural strength (R2 = 0.93). These findings demonstrate the reliability and universality of the proposed model for predicting flexural–tensile strength in an MFRC. Full article
(This article belongs to the Section Building Materials, and Repair & Renovation)
Show Figures

Figure 1

13 pages, 2937 KB  
Article
Modeling the Mechanical Bending Behavior of Steel Fiber-Reinforced Self-Compacting Mortars: Analysis of Fiber Distribution Effect
by Hamza Mechakra, Lynda Kheddache, Brahim Safi, Alena Pribulova, Peter Futas, Kahina Chahour, Miktha Farid Alkadri and Beata Grabowska
J. Compos. Sci. 2026, 10(3), 168; https://doi.org/10.3390/jcs10030168 - 20 Mar 2026
Viewed by 419
Abstract
This paper presents an experimental and numerical study on the effect of steel fiber distribution on the flexural behavior of self-compacting mortars (FRSCMs). Six FRSCM mixtures were modeled in ABAQUS as prismatic specimens (40 × 40 × 160 mm3) subjected to [...] Read more.
This paper presents an experimental and numerical study on the effect of steel fiber distribution on the flexural behavior of self-compacting mortars (FRSCMs). Six FRSCM mixtures were modeled in ABAQUS as prismatic specimens (40 × 40 × 160 mm3) subjected to static three-point bending. The methodology involved two steps: (i) preparation of six mortar variants composed of three layers with different hooked steel fiber dosages (20, 30, and 40 kg/m3 for M20, M30, and M40) assembled in various configurations to study fiber distribution effects; (ii) numerical modeling of prismatic specimens in ABAQUS, using structured meshing with C3D8R hexahedral elements. Each layer was meshed separately with aligned nodes to ensure proper assembly. Our results highlight the strong influence of fiber distribution: despite identical fiber content (90 kg/m3 of hooked steel fibers), flexural strength varied across beam configurations. Layered casting led to an increase in flexural strength of up to 71.83% compared to the reference. The numerical predictions closely matched the experimental results, with relative errors ranging from 1% to 8.13% for most variants, demonstrating the reliability of the model. The larger discrepancies observed for specimens M324 and M342 are attributed to the limitation of the study to the elastic domain, as damage and plasticity effects were not included in the simulations. The distribution and orientation of fibers (particularly steel fibers) in a cementitious matrix, namely concrete or cement mortar, has been the subject of several studies aimed at determining the best mechanical performance of fiber-reinforced concrete. The proposed modeling approach of bending mechanical behavior allows us to predict the effects of fiber distribution in fluid mortars and reinforced self-compacting mortars, thereby reducing the need for extensive experimental testing. It also represents a significant improvement over existing approaches reported in the literature. Full article
(This article belongs to the Section Composites Manufacturing and Processing)
Show Figures

Figure 1

Back to TopTop