Synthesis and Properties of Mg-Mn-Zn Alloys for Medical Applications
Abstract
1. Introduction
2. Materials and Methods
2.1. Materials
2.2. Preparation of Mg-Mn-Zn Alloy
2.3. Mechanical Performance Test
2.3.1. Vickers Hardness Test
2.3.2. Compression Test
2.3.3. Three-Point Bending Test
2.4. Electrochemical Corrosion Test
3. Results and Discussion
3.1. Original Powder Morphological Characteristics
3.2. Characteristics of the Alloy Prepared by Powder Metallurgy
3.3. Mechanical Property Analysis
3.3.1. Microhardness and Bending Force
3.3.2. Compression Force
3.4. Microstructure Characterization after Powder Metallurgy Preparation
Fracture Morphology Analysis
3.5. Physical Phase Analysis
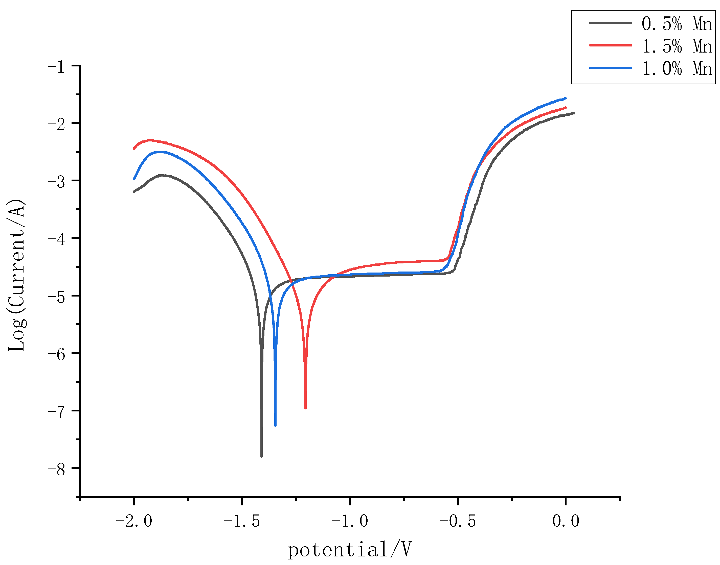
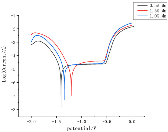
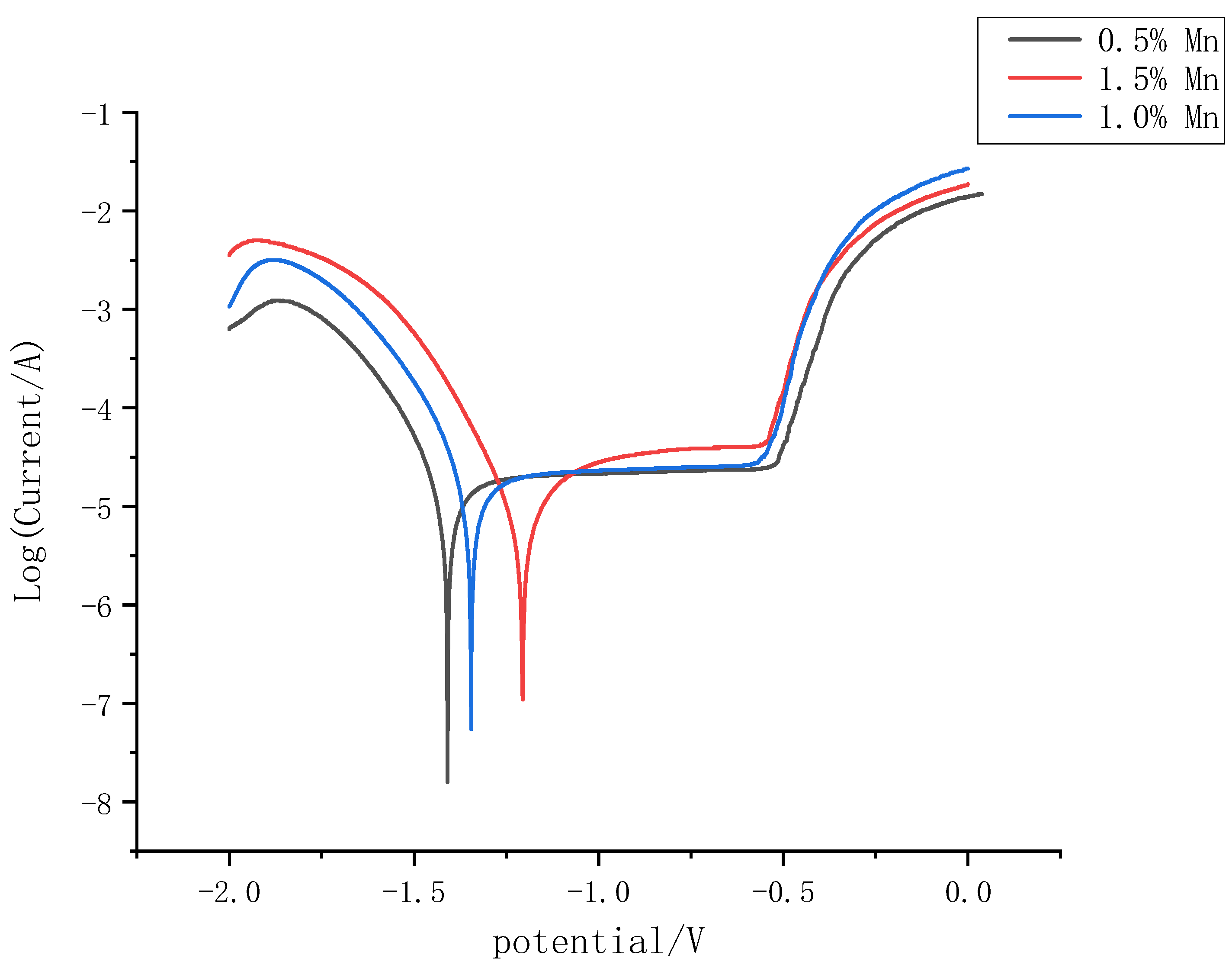
3.6. Electrochemical Analysis
4. Conclusions
- From the results, in the microstructure, as the content of manganese increases, it can be seen that the porosity of the alloy cross-section decreases and the diameter of the pores decreases. This indicates that the manganese element can have a grain-refining effect and reduce the generation of pores. In the fracture morphology, it can be seen that, as the manganese content increases, tearing edge representatives of brittle fracture are observed.
- The results show that the mechanical properties of the Mg-Mn-Zn alloy prepared by powder metallurgy have a maximum compressive stress of 316 MPa and a maximum bending strength of 186 MPa. The microhardness of the Mg-Mn-Zn alloy prepared after powder metallurgy increased with increasing manganese content, and the hardness values of Mg-1.5Mn-2Zn (wt.%) were effectively increased by 20% compared to those of Mg-0.5Mn-2Zn (wt.%).
- From the electrochemical corrosion experiments, with the increase of manganese content in the Mg-Mn-Zn alloy, the corrosion resistance of the alloy was improved, and in the polarization curve, the maximum positive shift of the corrosion potential of the specimens was 92 mv, and the maximum decrease of the corrosion current density was 10.2%. By comparing the above properties, it was concluded that Mg-1.0Mn-2.0Zn (wt.%) had the best overall performance among the three alloys prepared, and its maximum compressive stress and corrosion current density reached 232.42 MPa and 1.32 × 10−5 A·cm−2, respectively. Therefore, it is more suitable for service in the human body fluid environment.
Author Contributions
Funding
Institutional Review Board Statement
Informed Consent Statement
Data Availability Statement
Conflicts of Interest
References
- Raftopoulos, D.; Katsamanis, E.; Saul, F.; Liu, W.; Saddemi, S. An intermediate loading rate technique for the determination of mechanical properties of human femoral cortical bone. J. Biomed. Eng. 1993, 15, 60–66. [Google Scholar] [CrossRef]
- Mert, F. Wear behaviour of hot rolled AZ31B magnesium alloy as candidate for biodegradable implant material. Trans. Nonferr. Met. Soc. China 2017, 27, 2598–2606. [Google Scholar] [CrossRef]
- Lukyanova, E.; Anisimova, N.; Martynenko, N.; Kiselevsky, M.; Dobatkin, S.; Estrin, Y. Features of in vitro and in vivo behaviour of magnesium alloy WE43. Mater. Lett. 2018, 215, 308–311. [Google Scholar] [CrossRef]
- Cao, F.; Song, G.-L.; Atrens, A. Corrosion and passivation of magnesium alloys. Corros. Sci. 2016, 111, 835–845. [Google Scholar] [CrossRef]
- Du, H.; Wei, Z.; Liu, X.; Zhang, E. Effects of Zn on the microstructure, mechanical property and bio-corrosion property of Mg–3Ca alloys for biomedical application. Mater. Chem. Phys. 2011, 125, 568–575. [Google Scholar] [CrossRef]
- Gu, X.-N.; Zheng, Y.-F. A review on magnesium alloys as biodegradable materials. Front. Mater. Sci. China 2010, 4, 111–115. [Google Scholar] [CrossRef]
- Witte, F.; Hort, N.; Vogt, C.; Cohen, S.; Kainer, K.U.; Willumeit, R.; Feyerabend, F. Degradable biomaterials based on magnesium corrosion. Curr. Opin. Solid State Mater. Sci. 2008, 12, 63–72. [Google Scholar] [CrossRef]
- Hao, G.L.; Han, F.S.; Li, W.D. Processing and mechanical properties of magnesium foams. J. Porous Mater. 2008, 16, 251–256. [Google Scholar] [CrossRef]
- Wang, H.; Jiang, Q.; Wang, Y.; Ma, B.; Zhao, F. Fabrication of TiB2 particulate reinforced magnesium matrix composites by powder metallurgy. Mater. Lett. 2004, 58, 3509–3513. [Google Scholar] [CrossRef]
- Witte, F.; Feyerabend, F.; Maier, P.; Fischer, J.; Störmer, M.; Blawert, C.; Dietzel, W.; Hort, N. Biodegradable magnesium–hydroxyapatite metal matrix composites. Biomaterial 2007, 28, 2163–2174. [Google Scholar] [CrossRef]
- Kang, S.; Ebrary, I. Sintering: Densification, grain growth, and microsturcture. J. Phys. Colloq. 2014, 7, 674–742. [Google Scholar] [CrossRef][Green Version]
- Zander, D.; Zumdick, N.A. Influence of Ca and Zn on the microstructure and corrosion of biodegradable Mg−Ca−Zn alloys. Corros. Sci. 2015, 93, 222–233. [Google Scholar] [CrossRef]
- Walton, T. Biomaterials metals and alloys web alert. Curr. Opin. Solid State Mater. Sci. 1998, 3, 217–218. [Google Scholar] [CrossRef]
- Carboneras, M.; Hernández, L.; Del Valle, J.; Garcia-Alonso, M.C.; Escudero, M.L. Corrosion protection of different environmentally friendly coatings on powder metallurgy magnesium. J. Alloy. Compd. 2010, 496, 442–448. [Google Scholar] [CrossRef]
- Yu, K.; Chen, L.; Zhao, J.; Li, S.; Dai, Y.; Huang, Q.; Yu, Z. In vitro corrosion behavior and in vivo biodegradation of biomedical β-Ca3(PO4)2/Mg–Zn composites. Acta Biomater. 2012, 8, 2845–2855. [Google Scholar] [CrossRef]
- Padmavathi, C.; Upadhyaya, A.; Agrawal, D. Effect of microwave and conventional heating on sintering behavior and properties of Al–Mg–Si–Cu alloy. Mater. Chem. Phys. 2011, 130, 449–457. [Google Scholar] [CrossRef]
- Lóh, N.; Simão, L.; Faller, C.; De Noni, A.; Montedo, O. A review of two-step sintering for ceramics. Ceram. Int. 2016, 42, 12556–12572. [Google Scholar] [CrossRef]
- Liu, C.; Liu, Z. Research progress on dynamic recrystallization of magnesium and magnesium alloys. Chin. J. Nonferrous Met. 2006, 16, 1–10. [Google Scholar] [CrossRef]
- Zhang, W.; Fan, J.; Zhang, H. Grain Refinement and Mechanical Properties of High Pressure Low Temperature Sintered AZ91 Magnesium Alloy. In Proceedings of the 11th National Conference of Heat Treatment, Taiyuan, China, 17–20 July 2015. [Google Scholar] [CrossRef]
- Yin, P.; Li, N.F.; Lei, T.; Liu, L.; Ouyang, C. Effects of Ca on microstructure, mechanical and corrosion properties and biocompatibility of Mg–Zn–Ca alloys. J. Mater. Sci. Mater. Med. 2013, 24, 1365–1373. [Google Scholar] [CrossRef]
- Jiang, M.; Xu, C.; Nakata, T.; Yan, H.; Chen, R.; Kamado, S. High-speed extrusion of dilute Mg-Zn-Ca-Mn alloys and its effect on microstructure, texture and mechanical properties. Mater. Sci. Eng. A 2016, 678, 329–338. [Google Scholar] [CrossRef]
- Cho, D.H.; Lee, B.W.; Park, J.Y.; Cho, K.M.; Park, I.M. Effect of Mn addition on corrosion properties of biodegradable Mg-4Zn-0.5Ca-xMn alloys. J. Alloy. Compd. 2017, 695, 1166–1174. [Google Scholar] [CrossRef]
















| Powder | Powder Shape | Particle Size/μm | Purity/wt.% | Melting Point/°C |
|---|---|---|---|---|
| Mg | Spherical | <40 | 99.9 | 648.9 |
| Mn | Irregular shape | <30 | 99.9 | 1244 |
| Zn | Spherical | <30 | 99.9 | 419.5 |
| Magnesium Alloy | Maximum Bending Force (kN) | Maximum Bending Strength (MPa) |
|---|---|---|
| Mg-0.5%Mn-2%Zn | 389.05 ± 12 | 186.74 ± 20 |
| Mg-1.0%Mn-2%Zn | 256.49 ± 8.5 | 155.11 ± 10 |
| Mg-1.5%Mn-2%Zn | 175.08 ± 10.5 | 101.06 ± 15 |
| Magnesium Alloy | Maximum Compression Force (kN) | Compressive Strength (Mpa) | Compression Ratio to Specimen (%) |
|---|---|---|---|
| Mg-0.5%Mn-2%Zn | 24.866 ± 0.645 | 316.61 ± 3.951 | 41.98 |
| Mg-1.0%Mn-2%Zn | 18.253 ± 1.618 | 232.42 ± 20.60 | 32.57 |
| Mg-1.5%Mn-2%Zn | 14.570 ± 1.437 | 185.611 ± 18.30 | 24.50 |
| Magnesium Alloy | φcorr/V | Jcorr/(A·cm−2) |
|---|---|---|
| Mg-0.5%Mn-2%Zn | −1.409 | 1.46 × 10−5 |
| Mg-1.0%Mn-2%Zn | −1.345 | 1.32 × 10−5 |
| Mg-1.5%Mn-2%Zn | −1.187 | 1.31 × 10−5 |
Publisher’s Note: MDPI stays neutral with regard to jurisdictional claims in published maps and institutional affiliations. |
© 2021 by the authors. Licensee MDPI, Basel, Switzerland. This article is an open access article distributed under the terms and conditions of the Creative Commons Attribution (CC BY) license (https://creativecommons.org/licenses/by/4.0/).
Share and Cite
Hu, Y.; Dong, D.; Wang, X.; Chen, H.; Qiao, Y. Synthesis and Properties of Mg-Mn-Zn Alloys for Medical Applications. Materials 2021, 14, 1855. https://doi.org/10.3390/ma14081855
Hu Y, Dong D, Wang X, Chen H, Qiao Y. Synthesis and Properties of Mg-Mn-Zn Alloys for Medical Applications. Materials. 2021; 14(8):1855. https://doi.org/10.3390/ma14081855
Chicago/Turabian StyleHu, Yunpeng, Delong Dong, Xiangyu Wang, Hongtang Chen, and Yang Qiao. 2021. "Synthesis and Properties of Mg-Mn-Zn Alloys for Medical Applications" Materials 14, no. 8: 1855. https://doi.org/10.3390/ma14081855
APA StyleHu, Y., Dong, D., Wang, X., Chen, H., & Qiao, Y. (2021). Synthesis and Properties of Mg-Mn-Zn Alloys for Medical Applications. Materials, 14(8), 1855. https://doi.org/10.3390/ma14081855

