Quantification of Chlorides and Sulphates on Concrete Surfaces Using Portable X-ray Fluorescence. Optimization of the Measurement Method Using Monte Carlo Simulation
Abstract
:1. Introduction
2. Materials and Methods
- -
- Identification of the optimal distribution of sulphate and chloride quantification results. Once the distribution is defined, the descriptive statistic parameters for each one of them are defined.
- -
- In the simulation itself, random values are taken for each of the distributions defined by the previous statistic parameters. The number of random values is increased so that when computing the averages, it is possible to identify which average is close to the real value with an error of 10%.
2.1. Materials
2.2. Analysis
2.3. Simulation Using Monte Carlo Method
- Fit the experimental data to an appropriate distribution and obtain the characteristic values, such as averages (mx) and standard deviation (sdx). Distributions will be obtained for each analyzed element and its concentration in the concrete.
- Simulation of a single surface analysis starting from the above distribution with the statistical parameters mx% and sdx%. One million random analyses were simulated for each element and concentration.
- The previous point is repeated for the case of performing 2, 3, 4, …, 20 analyses on the same surface.
- The corresponding means and deviations of the previous simulations are calculated and plotted together with confidence intervals of ±95% and ±90%, as well as the lines corresponding to ±10% error of the average.
3. Results and Discussion
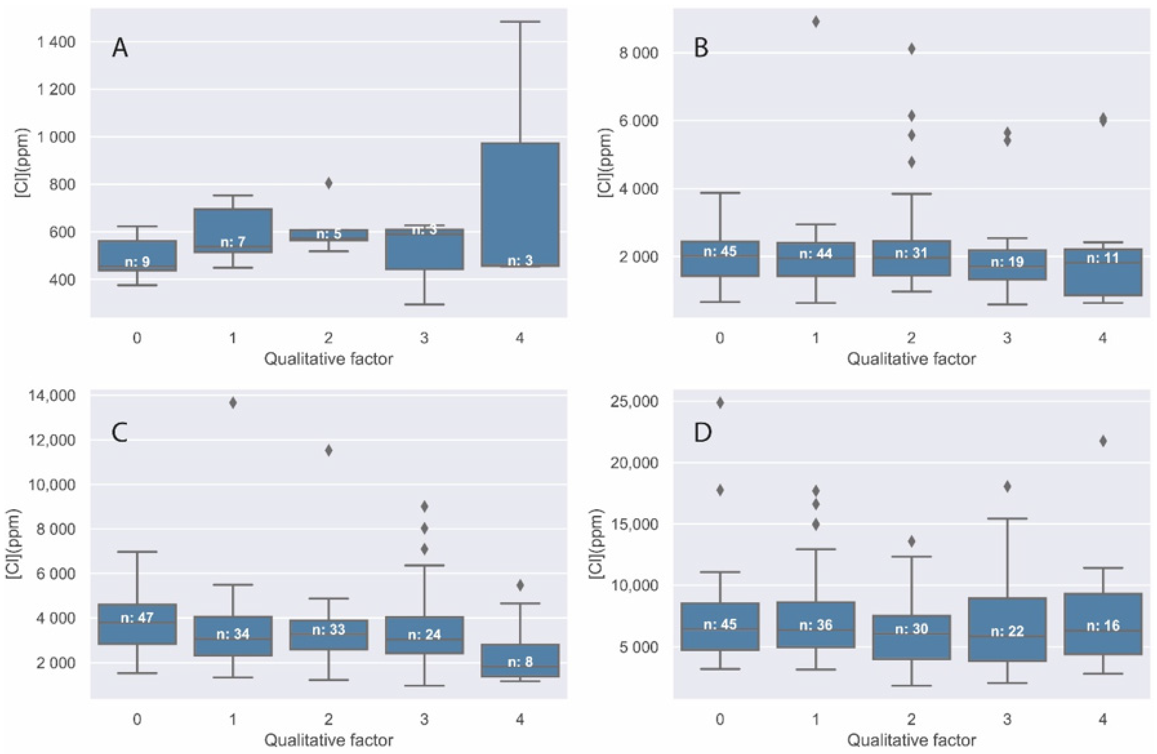
3.1. Sulphate Quantification
3.2. Chloride Determination
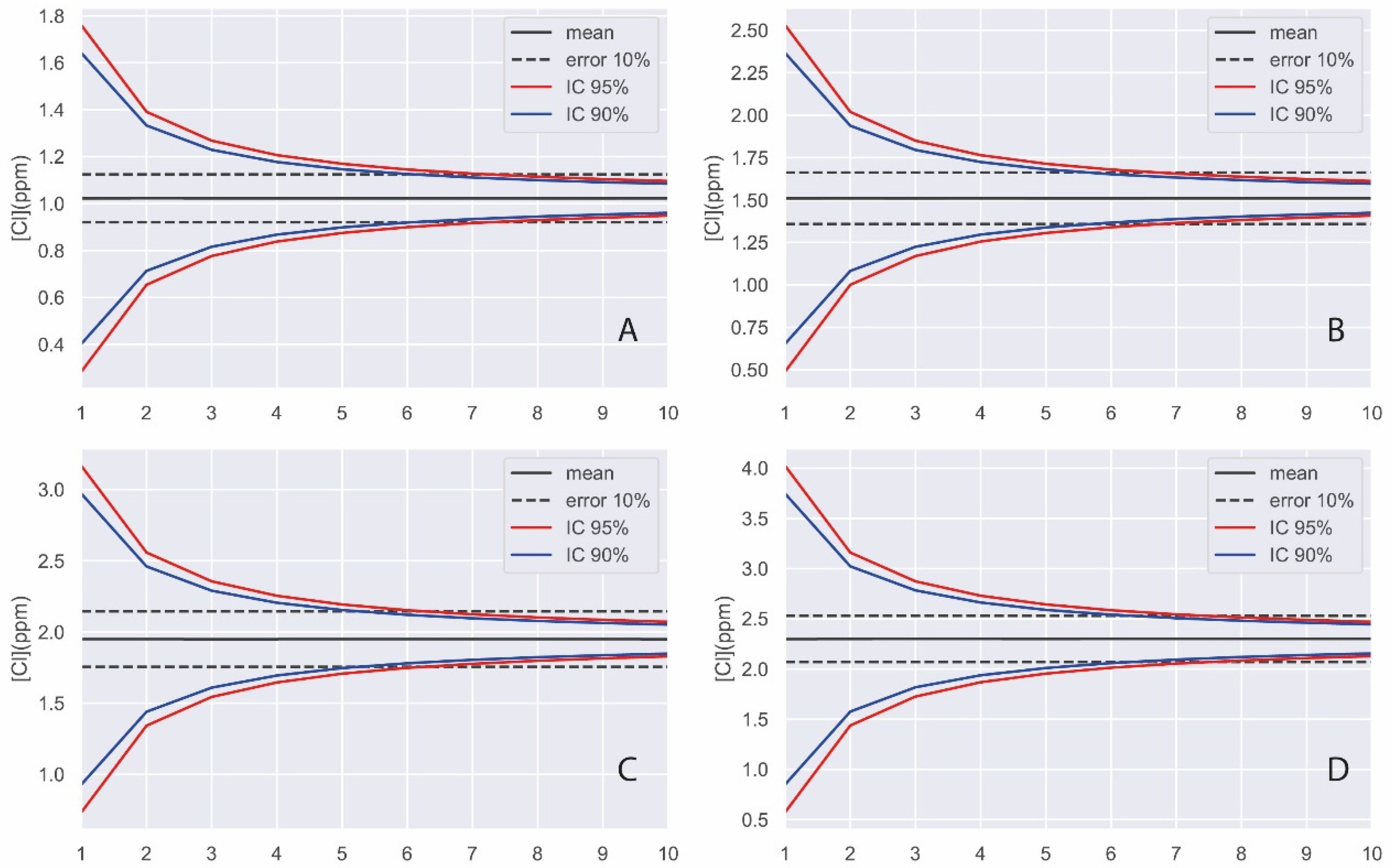
3.3. Simulation by Monte Carlo Method
- A random value is taken that meets the conditions for each of the distributions; that is, they are within a normal distribution with the mean and standard deviation of Table 3 for sulphates (folded normal for S4) and within a lognormal distribution with meanlog and sdlog indicated in Table 4 for chlorides. The process is replicated one million times.
- Next, we simulate taking two values with the same conditions as in Step 1 and calculate the mean and standard deviation. The process is replicated one million times and the mean and standard deviation values (mean2 and sd2) are saved.
- The same process is simulated for 3, 4, 5, 6, … up to 10 values. For each one, it is replicated one million times and the mean and standard deviation values are saved (mean3 and sd3, mean4 and sd4, mean5 and sd5, … up to mean10 and sd10).
- Finally, the mean values are plotted together with the confidence intervals and a 10% error. That is, the values meann, 95% IC, 90% IC, error +10%, and error −10% calculated are plotted according to:SE = sdn/Sqr(n)IC 95% = meann + 1.96 * SEIC 90% = meann + 1.645 * SEError ±10% = meann ± 0.1 * meann
4. Conclusions
Author Contributions
Funding
Institutional Review Board Statement
Informed Consent Statement
Data Availability Statement
Acknowledgments
Conflicts of Interest
References
- Hooton, R.D. A Review of Different Forms of Sulfate Attack; University of Toronto, Department of Civil Engineering: Toronto, ON, Canada, 2013. [Google Scholar]
- Neville, A. The confused world of sulfate attack on concrete. Cem. Concr. Res. 2004, 34, 1275–1296. [Google Scholar] [CrossRef]
- Chinchón-Payá, S.; Aguado, A.; Nugteren, H.W.; Chinchón, S. External sulfate attack in dam concretes with thaumasite formation. Mater. Constr. 2015, 65, e042. [Google Scholar] [CrossRef] [Green Version]
- Sarkar, P.K.; Mitra, N.; Prasad, D. Molecular level deformation mechanism of ettringite. Cem. Concr. Res. 2019, 124, 105836. [Google Scholar] [CrossRef]
- Chinchón-Payá, S.; Torres, J.; Rebolledo, N.; Sánchez, J. Evaluación del estado de elementos estructurales del Mercado de Legazpi: Ataque por sulfatos al hormigón y corrosión de las armaduras. Inf. Constr. 2021, 73, e380. [Google Scholar] [CrossRef]
- İnan Sezer, G.; Ramyar, K.; Karasu, B.; Burak Göktepe, A.; Sezer, A. Image analysis of sulfate attack on hardened cement paste. Mater. Des. 2008, 29, 224–231. [Google Scholar] [CrossRef]
- Chinchón-Payá, S. Áridos Reactivos en Hormigones de Presa. Reacción Sulfática con Formación de Thaumasita. Ph.D. Thesis, University of Alicante, Alicante, Spain, 2013. [Google Scholar]
- Young, R.A. The Rietveld Method; Oxford University Press: Oxford, UK, 1995; ISBN 9780198559122. [Google Scholar]
- Rodríguez-Carvajal, J. FULLPROF: A Program for Rietveld Refinement and Pattern Matching Analysis. In Proceedings of the Satellite Meeting on Powder Diffraction of the XV Congress of the IUCr, Toulouse, France, 19–28 July 1990; Volume 127. [Google Scholar]
- Angst, U.M.; Geiker, M.R.; Alonso, M.C.; Polder, R.; Isgor, O.B.; Elsener, B.; Wong, H.; Michel, A.; Hornbostel, K.; Gehlen, C.; et al. The effect of the steel–concrete interface on chloride-induced corrosion initiation in concrete: A critical review by RILEM TC 262-SCI. Mater. Struct. 2019, 52, 88. [Google Scholar] [CrossRef]
- Pachón-Montaño, A.; Sánchez-Montero, J.; Andrade, C.; Fullea, J.; Moreno, E.; Matres, V. Threshold concentration of chlorides in concrete for stainless steel reinforcement: Classic austenitic and new duplex stainless steel. Constr. Build. Mater. 2018, 186, 495–502. [Google Scholar] [CrossRef]
- Markeset, G. Critical chloride content and its influence on service life predictions. Mater. Corros. 2009, 60, 593–596. [Google Scholar] [CrossRef]
- Sanchez, J.; Fullea, J.; Andrade, C. Fracto-surface mobility mechanism in high-strength steel wires. Eng. Fract. Mech. 2017, 186, 410–422. [Google Scholar] [CrossRef]
- Sanchez, J.; Fullea, J.; Andrade, C. Corrosion-induced brittle failure in reinforcing steel. Theor. Appl. Fract. Mech. 2017, 92, 229–232. [Google Scholar] [CrossRef]
- Morales, J.A.; Torres, J.; Rebolledo, N.; Sánchez, J. Experimental and Statistical Analysis of the Corrosion in Tendons in Contact With Water. Front. Mater. 2019, 6, 167. [Google Scholar] [CrossRef] [Green Version]
- Iordachescu, M.; Valiente, A.; Pérez-Guerrero, M.; Elices, M. Environment-assisted failure of structural tendons for construction and building applications. Constr. Build. Mater. 2018, 159, 499–507. [Google Scholar] [CrossRef]
- Keßler, S.; Fischer, J.; Straub, D.; Gehlen, C. Updating of service-life prediction of reinforced concrete structures with potential mapping. Cem. Concr. Compos. 2014, 47, 47–52. [Google Scholar] [CrossRef]
- Belletti, B.; Rodríguez, J.; Andrade, C.; Franceschini, L.; Sánchez Montero, J.; Vecchi, F. Experimental tests on shear capacity of naturally corroded prestressed beams. Struct. Concr. 2020, 21, 1777–1793. [Google Scholar] [CrossRef]
- Vecchi, F.; Belletti, B.; Franceschini, L.; Andrade, C.; Rodriguez, J.; Montero, S.J. Flexural Tests on Prestressed Beams Exposed to Natural Chloride Action. In Proceedings of the FIB CACRCS DAYS 2020, Online, 1–4 December 2021; pp. 205–212. [Google Scholar]
- Belletti, B.; Vecchi, F.; Bandini, C.; Andrade, C.; Montero, J.S. Numerical evaluation of the corrosion effects in prestressed concrete beams without shear reinforcement. Struct. Concr. 2020, 21, 1794–1809. [Google Scholar] [CrossRef]
- Possan, E.; Dal Molin, D.C.C.; Andrade, J.J.O. A conceptual framework for service life prediction of reinforced concrete structures. J. Build. Pathol. Rehabil. 2018, 3, 2. [Google Scholar] [CrossRef]
- Angst, U.; Elsener, B.; Larsen, C.K.; Vennesland, Ø. Critical chloride content in reinforced concrete—A review. Cem. Concr. Res. 2009, 39, 1122–1138. [Google Scholar] [CrossRef]
- EUROPEAN STANDARD UNE-EN 196-2:2014. Métodos de Ensayo de Cementos. Parte 2: Análisis Químico de Cementos; AENOR: Madrid, Spain, 2014. [Google Scholar]
- Sui, S.; Wilson, W.; Georget, F.; Maraghechi, H.; Kazemi-Kamyab, H.; Sun, W.; Scrivener, K. Quantification methods for chloride binding in Portland cement and limestone systems. Cem. Concr. Res. 2019, 125, 105864. [Google Scholar] [CrossRef]
- EUROPEAN STANDARD UNE-EN 14629:2007. Productos y Sistemas para la Protección y Reparación de Estructuras de Hormigón. Métodos de Ensayo. Determinación del Contenido en Cloruros en el Hormigón Endurecido; AENOR: Madrid, Spain, 2007. [Google Scholar]
- Chinchón-Payá, S.; Torres Martín, J.E.; Ramos, N.R.; Montero, J.S. Use of a handheld x-ray fluorescence analyser to quantify chloride ions in situ: A case study of structural repair. Materials 2021, 14, 571. [Google Scholar] [CrossRef] [PubMed]
- Kalos, M.H.; Whitlock, P.A. Monte Carlo Methods, 2nd ed.; John Wiley & Sons, Ltd.: Hoboken, NJ, USA, 2008; ISBN 9783527626212. [Google Scholar]
- Robert, C.; Casella, G. Monte Carlo Statistical Methods; Statistics, S.T., Ed.; Springer: New York, NY, USA, 2004; ISBN 978-1-4757-4145-2. [Google Scholar]
- Bojórquez, J.; Ponce, S.; Ruiz, S.E.; Bojórquez, E.; Reyes-Salazar, A.; Barraza, M.; Chávez, R.; Valenzuela, F.; Leyva, H.; Baca, V. Structural reliability of reinforced concrete buildings under earthquakes and corrosion effects. Eng. Struct. 2021, 237, 112161. [Google Scholar] [CrossRef]
- Alwash, M.; Breysse, D.; Sbartaï, Z.M. Using Monte-Carlo simulations to evaluate the efficiency of different strategies for nondestructive assessment of concrete strength. Mater. Struct. Constr. 2017, 50, 90. [Google Scholar] [CrossRef]
- Wang, X.F.; Yang, Z.J.; Yates, J.R.; Jivkov, A.P.; Zhang, C. Monte Carlo simulations of mesoscale fracture modelling of concrete with random aggregates and pores. Constr. Build. Mater. 2015, 75, 35–45. [Google Scholar] [CrossRef]
- Huang, Y.J.; Yang, Z.J.; Chen, X.W.; Liu, G.H. Monte Carlo simulations of meso-scale dynamic compressive behavior of concrete based on X-ray computed tomography images. Int. J. Impact Eng. 2016, 97, 102–115. [Google Scholar] [CrossRef]
- Possan, E.; De Oliveira Andrade, J.J. Markov chains and reliability analysis for reinforced concrete structure service life. Mater. Res. 2014, 17, 593–602. [Google Scholar] [CrossRef] [Green Version]








| Aggregate (6919 g.). | Cement (g.) * | Water (g.) ** | ||
|---|---|---|---|---|
| 0/4 | 4/10 | 10/20 | 1181 | 591 |
| 2768 | 2975 | 1176 | ||
| Name | Weight Na2SO4 (g.) | %SO4 Cement | %SO4 Concrete | Weight NaCl (g.) | %Cl Cement | %Cl Concrete |
|---|---|---|---|---|---|---|
| S1 | 0.00 | 0.00 | 0.00 | - | - | - |
| S2 | 32.22 | 1.84 | 0.25 | - | - | - |
| S3 | 64.45 | 3.69 | 0.50 | - | - | - |
| S4 | 128.89 | 7.38 | 1.00 | - | - | - |
| Cl1 | - | - | - | 0.00 | 0.00 | 0.00 |
| Cl2 | - | - | - | 26.48 | 1.36 | 0.18 |
| Cl3 | - | - | - | 52.93 | 2.72 | 0.37 |
| Cl4 | - | - | - | 105.87 | 5.44 | 0.74 |
| Name | Mean (%) | SD |
|---|---|---|
| S1 | 1.02 | 0.38 |
| S2 | 1.51 | 0.49 |
| S3 | 1.95 | 0.62 |
| S4 | 2.26 | 0.91 |
| Name | Meanlog (%) | SDlog |
|---|---|---|
| Cl1 | 6.34 | 0.28 |
| Cl2 | 7.52 | 0.51 |
| Cl3 | 8.06 | 0.43 |
| Cl4 | 8.75 | 0.46 |
Publisher’s Note: MDPI stays neutral with regard to jurisdictional claims in published maps and institutional affiliations. |
© 2021 by the authors. Licensee MDPI, Basel, Switzerland. This article is an open access article distributed under the terms and conditions of the Creative Commons Attribution (CC BY) license (https://creativecommons.org/licenses/by/4.0/).
Share and Cite
Chinchón-Payá, S.; Torres Martín, J.E.; Silva Toledo, A.; Sánchez Montero, J. Quantification of Chlorides and Sulphates on Concrete Surfaces Using Portable X-ray Fluorescence. Optimization of the Measurement Method Using Monte Carlo Simulation. Materials 2021, 14, 7892. https://doi.org/10.3390/ma14247892
Chinchón-Payá S, Torres Martín JE, Silva Toledo A, Sánchez Montero J. Quantification of Chlorides and Sulphates on Concrete Surfaces Using Portable X-ray Fluorescence. Optimization of the Measurement Method Using Monte Carlo Simulation. Materials. 2021; 14(24):7892. https://doi.org/10.3390/ma14247892
Chicago/Turabian StyleChinchón-Payá, Servando, Julio E. Torres Martín, Antonio Silva Toledo, and Javier Sánchez Montero. 2021. "Quantification of Chlorides and Sulphates on Concrete Surfaces Using Portable X-ray Fluorescence. Optimization of the Measurement Method Using Monte Carlo Simulation" Materials 14, no. 24: 7892. https://doi.org/10.3390/ma14247892
APA StyleChinchón-Payá, S., Torres Martín, J. E., Silva Toledo, A., & Sánchez Montero, J. (2021). Quantification of Chlorides and Sulphates on Concrete Surfaces Using Portable X-ray Fluorescence. Optimization of the Measurement Method Using Monte Carlo Simulation. Materials, 14(24), 7892. https://doi.org/10.3390/ma14247892

