Sustainable Biocatalytic Procedure for Obtaining New Branched Acid Esters
Abstract
:1. Introduction
2. Materials and Methods
2.1. Materials
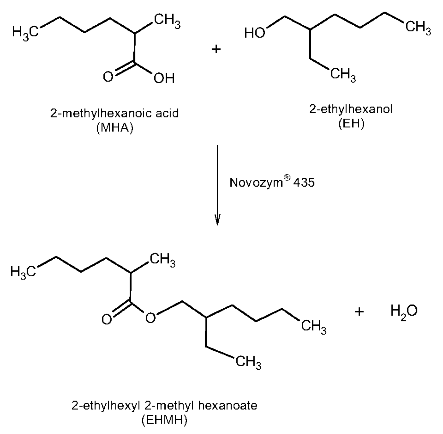
2.2. Enzymatic Synthesis
2.3. Acid Value Determination
2.4. Gas Chromatography Analysis
2.5. Recovery of Immobilized Lipase
3. Results and Discussion
3.1. Biocatalytic Synthesis of 2-Ethylhexyl 2-Methylhexanoate
3.2. Biocatalyst Reuse and Process Productivity
3.3. Green Metrics and Economical Assessment
4. Conclusions
Author Contributions
Funding
Institutional Review Board Statement
Informed Consent Statement
Data Availability Statement
Acknowledgments
Conflicts of Interest
References
- Montiel, M.C.; Máximo, F.; Serrano-Arnaldos, M.; Ortega-Requena, S.; Murcia, M.D.; Bastida, J. Biocatalytic solutions to cyclomethicones problem in cosmetics. Eng. Life Sci. 2019, 19, 370–388. [Google Scholar] [CrossRef] [Green Version]
- Wang, L.; Zhang, Y.; Zhang, Y.; Zheng, L.; Huang, H.; Wang, Z. Synthesis of 2-ethylhexyl palmitate catalyzed by enzyme under microwave. Appl. Biochem. Biotechnol. 2018, 185, 347–356. [Google Scholar] [CrossRef]
- Haßelberg, J.; Behr, A. Saturated branched fatty compounds: Proven industrial processes and new alternatives. Eur. J. Lipid Sci. Technol. 2016, 118, 36–46. [Google Scholar] [CrossRef]
- Murcia, M.D.; Serrano-Arnaldos, M.; Ortega-Requena, S.; Máximo, F.; Bastida, J.; Montiel, M.C. Optimization of a sustainable biocatalytic process for the synthesis of ethylhexyl fatty acids esters. Catal. Today 2020, 346, 98–105. [Google Scholar] [CrossRef]
- Serrano-Arnaldos, M.; Ortega-Requena, S.; Sánchez, J.A.; Hernández, A.; Montiel, M.C.; Máximo, F.; Bastida, J. Sustainable synthesis of branched-chain diesters. J. Biotechnol. 2021, 325, 91–99. [Google Scholar] [CrossRef] [PubMed]
- Gómez, M.; Murcia, M.D.; Serrano-Arnaldos, M.; Gómez, E.; Gómez, J.L.; Hidalgo, A.M.; Máximo, M.F. Developing the rate equations for two enzymatic Ping-Pong reactions in series: Application to the bio-synthesis of bis(2-ethylhexyl) azelate. Biochem. Eng. J. 2020, 161, 107691. [Google Scholar] [CrossRef]
- Serrano-Arnaldos, M.; García-Martínez, J.J.; Ortega-Requena, S.; Bastida, J.; Máximo, F.; Montiel, M.C. Reaction strategies for the enzymatic synthesis of neopentyl glycol diheptanoate. Enzyme Microb. Technol. 2020, 132, 109400. [Google Scholar] [CrossRef] [PubMed]
- Su, G.D.; Huang, D.F.; Han, S.Y.; Zheng, S.P.; Lin, Y. Display of Candida antarctica lipase B on Pichia pastoris and its application to flavor ester synthesis. Appl. Microbiol. Biotechnol. 2010, 86, 1493–1501. [Google Scholar] [CrossRef]
- Keng, P.S.; Basri, M.; Zakaria, M.R.S.; Rahman, M.B.A.; Ariff, A.B.; Rahman, R.N.Z.A.; Salleh, A.B. Newly synthesized palm esters for cosmetics industry. Ind. Crops Prod. 2009, 29, 37–44. [Google Scholar] [CrossRef]
- Daneshfar, A.; Ghaziaskar, H.S.; Shiri, L.; Manafi, M.H.; Nikorazm, M.; Abassi, S. Synthesis of 2-ethylhexyl-2-ethylhexanoate catalyzed by immobilized lipase in n-hexane: A kinetic study. Biochem. Eng. J. 2007, 37, 279–284. [Google Scholar] [CrossRef]
- Chen, H.C.; Kuo, C.-H.; Chen, H.H.; Liu, Y.-C.; Shieh, C.J. Optimization of enzymatic synthesis of cetyl 2-ethylhexanoate by Novozym® 435. J. Am. Oil Chem. Soc. 2011, 88, 1917–1923. [Google Scholar] [CrossRef]
- Ghaziaskar, H.S.; Daneshfar, A.; Calvo, L. Continuous esterification or dehydration in supercritical carbon dioxide. Green Chem. 2006, 8, 576–581. [Google Scholar] [CrossRef]
- Juhl, P.B.; Doderer, K.; Hollmann, F.; Thum, O.; Pleiss, J. Engineering of Candida antarctica lipase B for hydrolysis of bulky carboxylic acid esters. J. Biotechnol. 2010, 150, 474–480. [Google Scholar] [CrossRef]
- ASTM D974-02e1. Standard Test Method for Acid and Base Number by Color-Indicator Titration; ASTM International: West Conshohocken, PA, USA, 2002. [Google Scholar]
- Ortiz, C.; Ferreira, M.L.; Barbosa, O.; dos Santos, J.C.S.; Rodrigues, R.C.; Berenguer-Murcia, Á.; Briand, L.E.; Fernandez-Lafuente, R. Novozym 435: The “perfect” lipase immobilized biocatalyst? Catal. Sci. Technol. 2019, 9, 2380–2420. [Google Scholar] [CrossRef] [Green Version]
- Global Insight. A Study of the European Cosmetics Industry. Final Report. October 2007. Available online: https://ec.europa.eu/docsroom/documents/13125/attachments/1/translations/en/renditions/native (accessed on 9 November 2021).
- de Meneses, A.C.; Almeida Sá, A.G.; Lerin, L.A.; Corazza, M.L.; de Araújo, P.H.H.; Sayer, C.; de Oliveira, D. Benzyl butyrate esterification mediated by immobilized lipases: Evaluation of batch and fed-batch reactors to overcome lipase-acid deactivation. Process Biochem. 2019, 78, 50–57. [Google Scholar] [CrossRef]
- Hollmann, F.; Grzebyk, P.; Heinrichs, V.; Doderer, K.; Thum, O. On the inactivity of Candida antartica lipase B towards strong acids. J. Mol. Catal. B Enzym. 2009, 57, 257–261. [Google Scholar] [CrossRef]
- Nordblad, M.; Adlercreutz, P. Effects of acid concentration and solvent choice on enzymatic acrylation by Candida antarctica lipase B. J. Biotechnol. 2008, 133, 127–133. [Google Scholar] [CrossRef]
- 2-Methylhexanoic Acid Properties. Available online: https://www.chemicalbook.com/ChemicalProductProperty_EN_CB1421374.htm (accessed on 8 September 2021).
- Heath, R.S.; Ruscoe, R.E.; Turner, N.J. The beauty of biocatalysis: Sustainable synthesis of ingredients in cosmetics. Nat. Prod. Rep. 2021. [Google Scholar] [CrossRef]
- Lee, A.; Kim, H.; Choi, N.; Yoon, S.W.; Kim, Y.; Kim, H.-R.; Kim, I.-H. Preparation of diisononyl adipate in a solvent-free system via an immobilized lipase-catalyzed esterification. Enzyme Microb. Technol. 2019, 131, 109340. [Google Scholar] [CrossRef]
- Tufvesson, P.; Lima-Ramos, J.; Nordblad, M.; Woodley, J. Guidelines and cost analysis for catalyst production in biocatalytic processes. Org. Process Res. Dev. 2011, 15, 266–274. [Google Scholar] [CrossRef]
- Anastas, P.; Eghbali, N. Green chemistry: Principles and practice. Chem. Soc. Rev. 2010, 39, 301–312. [Google Scholar] [CrossRef] [PubMed]
- Sheldon, R. Atom efficiency and catalysis in organic synthesis. Pure Appl. Chem. 2000, 72, 1233–1246. [Google Scholar] [CrossRef]
- Sheldon, R.A. The E factor 25 years on: The rise of green chemistry and sustainability. Green Chem. 2017, 19, 18–43. [Google Scholar] [CrossRef]
- Lima Ramos, J.; Tufvesson, P.; Woodley, J. Application of environmental and economic metrics to guide the development of biocatalytic processes. Green Process. Synth. 2014, 3, 195–213. [Google Scholar] [CrossRef] [Green Version]
- Augé, J. A new rationale of reaction metrics for green chemistry. Mathematical expression of the environmental impact factor of chemical processes. Green Chem. 2008, 10, 225–231. [Google Scholar] [CrossRef]
- Comisión Nacional de los Mercados y la Competencia. Boletín de Indicadores eléctricos de Julio de 2021. 2021. Available online: https://www.cnmc.es/sites/default/files/3644997_0.pdf (accessed on 15 September 2021).
- Available online: https://www.novozymes.com/en/advance-your-business/pharma (accessed on 15 September 2021).
- Available online: https://m.lookchem.com/casno4536-23-6.html (accessed on 15 September 2021).
- Available online: https://spanish.alibaba.com/product-detail/industrial-2-ethylhexanol-2eh-2-ethyl-hexanol-for-sale-1600225851350.html?spm=a2700.shop_plser.41413.24.517c5592ca093M (accessed on 15 September 2021).
- Serrano-Arnaldos, M.; Montiel, M.C.; Ortega-Requena, S.; Máximo, F.; Bastida, J. Development and economic evaluation of an eco-friendly biocatalytic synthesis of emollient esters. Bioproc. Biosyst. Eng. 2020, 43, 495–505. [Google Scholar] [CrossRef]
- Serrano-Arnaldos, M.; Ortega-Requena, S.; Montiel, M.C.; Máximo, F.; Bastida, J.; Murcia, M.D. Preliminary economic assessment: A valuable tool to establish biocatalytic process feasibility with an in-lab immobilized lipase. J. Chem. Technol. Biotechnol. 2019, 94, 409–417. [Google Scholar] [CrossRef]






| Experiment | Temperature (°C) | Substrates Molar Ratio |
|---|---|---|
| Batch reactor | 70 and 80 | 1:1 |
| Fed batch reactor with MHA stepwise addition | 70 and 80 | 1:1 |
| Batch reactor with 10% EH molar excess | 70 and 80 | 1:1.1 |
| Batch reactor with 20% EH molar excess | 80 | 1:1.2 |
| Experimental Conditions | Product Concentration (% w/w) | Process Productivity (kg EHMH × kg Biocatalyst−1) |
|---|---|---|
| 70 °C, 10% EH excess (biocatalyst single use) | 86.40 | 34.55 |
| 80 °C, 20% EH excess (biocatalyst single use) | 84.40 | 33.76 |
| 70 °C, 10% EH excess (biocatalyst six uses) | 84.93 | 203.84 |
| 80 °C, 20% EH excess (biocatalyst six uses) | 82.27 | 197.46 |
| Green Metrics | 70 °C, 10% EH Excess | 80 °C, 20% EH Excess |
|---|---|---|
| Atom economy (AE) * (%) | 93.09 | 93.09 |
| E-factor ** | 0.16 | 0.19 |
| Carbon mass efficiency (CME) *** (%) | 86.10 | 83.85 |
| Materials and Equipment | Cost Item | Prices |
|---|---|---|
| Biocatalyst and substrates | Novozym® 435 | 1600 € × kg−1 (Gifted) [30] |
| MHA | 2.46 € × kg−1 [31] | |
| EH | 0.82 € × kg−1 [32] | |
| Thermostatic bath (70 °C) | Initial | 5.2 × 10−3 € × min−1 |
| Maintenance | 2 × 10−4 € × min−1 | |
| Thermostatic bath (80 °C) | Initial | 5.2 × 10−3 € × min−1 |
| Maintenance | 6 × 10−4 € × min−1 | |
| Vertical stirrer | 10−4 € × min−1 |
| Cost Item | 70 °C, 10% EH Excess (Biocat. Single Use) | 80 °C, 20% EH Excess (Biocat. Single Use) | 70 °C, 10% EH Excess (Biocat. Six Uses) | 80 °C, 20% EH Excess (Biocat. Six Uses) |
|---|---|---|---|---|
| Start-up time (min) | 10 | 14 | 60 | 84 |
| Reaction time (min) | 360 | 300 | 2700 | 2340 |
| Biocatalyst (€ × kg EHMH−1) | 46.30 | 47.40 | 7.85 | 8.10 |
| Substrates (€ × kg EHMH−1) | 1.85 | 1.85 | 1.88 | 1.90 |
| Energy (€ × kg EHMH−1) | 9.59 | 16.22 | 11.42 | 17.03 |
| Total cost (€ × kg EHMH−1) | 57.75 | 65.47 | 21.16 | 27.03 |
Publisher’s Note: MDPI stays neutral with regard to jurisdictional claims in published maps and institutional affiliations. |
© 2021 by the authors. Licensee MDPI, Basel, Switzerland. This article is an open access article distributed under the terms and conditions of the Creative Commons Attribution (CC BY) license (https://creativecommons.org/licenses/by/4.0/).
Share and Cite
Montiel, M.C.; Asensi, M.; Gimeno-Martos, S.; Máximo, F.; Bastida, J. Sustainable Biocatalytic Procedure for Obtaining New Branched Acid Esters. Materials 2021, 14, 6847. https://doi.org/10.3390/ma14226847
Montiel MC, Asensi M, Gimeno-Martos S, Máximo F, Bastida J. Sustainable Biocatalytic Procedure for Obtaining New Branched Acid Esters. Materials. 2021; 14(22):6847. https://doi.org/10.3390/ma14226847
Chicago/Turabian StyleMontiel, María Claudia, Miguel Asensi, Silvia Gimeno-Martos, Fuensanta Máximo, and Josefa Bastida. 2021. "Sustainable Biocatalytic Procedure for Obtaining New Branched Acid Esters" Materials 14, no. 22: 6847. https://doi.org/10.3390/ma14226847
APA StyleMontiel, M. C., Asensi, M., Gimeno-Martos, S., Máximo, F., & Bastida, J. (2021). Sustainable Biocatalytic Procedure for Obtaining New Branched Acid Esters. Materials, 14(22), 6847. https://doi.org/10.3390/ma14226847

