The Study of Magnetoimpedance Effect for Magnetoelectric Laminate Composites with Different Magnetostrictive Layers
Abstract
:1. Introduction
2. Experiment
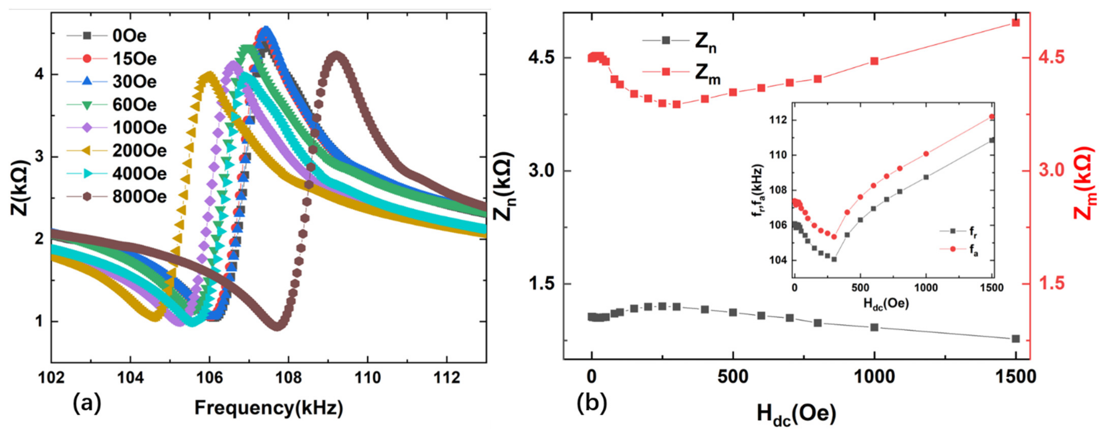
3. Results and Discussion
4. Conclusions
Author Contributions
Funding
Institutional Review Board Statement
Informed Consent Statement
Data Availability Statement
Conflicts of Interest
References
- Leung, C.M.; Zhuang, X.; Gao, M.; Tang, X.; Xu, J.; Li, J.; Zhang, J.; Srinivasan, G.; Viehland, D. Enhanced stability of magnetoelectric gyrators under high power conditions. Appl. Phys. Lett. 2017, 111, 182901. [Google Scholar] [CrossRef]
- Zhang, R.; Zhang, S.; Xu, Y.; Zhou, L.; Liu, F.; Xu, X. Modeling of a magnetoelectric laminate ring using generalized hamilton’s principle. Materials 2019, 12, 1442. [Google Scholar] [CrossRef] [Green Version]
- Zhang, J.; Kang, Y.; Gao, Y.; Weng, G.J. Experimental investigation of the magnetoelectric effect in NdFeB-driven a-line shape terfenol-D/PZT-5A structures. Materials 2019, 12, 1055. [Google Scholar] [CrossRef] [PubMed] [Green Version]
- Chu, Z.; Pourhosseiniasl, M.J.; Dong, S. Review of multi-layered magnetoelectric composite materials and devices applications. J. Phys. D Appl. Phys. 2018, 51, 243001. [Google Scholar] [CrossRef]
- Rupp, T.; Truong, B.D.; Williams, S.; Roundy, S. Magnetoelectric transducer designs for use as wireless power receivers in wearable and implantable applications. Materials 2019, 12, 512. [Google Scholar] [CrossRef] [PubMed] [Green Version]
- Chen, L.; Wang, Y. The effects of the soft magnetic alloys’ material characteristics on resonant magnetoelectric coupling for magnetostrictive/piezoelectric composites. Smart Mater. Struct. 2019, 28, 045003. [Google Scholar] [CrossRef]
- Zhuang, X.; Leung, C.M.; Sreenivasulu, G.; Gao, M.; Zhang, J.; Srinivasan, G.; Li, J.; Viehland, D. Upper limit for power conversion in magnetoelectric gyrators. Appl. Phys. Lett. 2017, 111, 163902. [Google Scholar] [CrossRef]
- Hu, J.-M.; Duan, C.-G.; Nan, C.-W.; Chen, L.-Q. Understanding and designing magnetoelectric heterostructures guided by computation: Progresses, remaining questions, and perspectives. NPJ Comput. Mater. 2017, 3, 1–21. [Google Scholar] [CrossRef]
- Spetzler, B.; Kirchhof, C.; Reermann, J.; Durdaut, P.; Höft, M.; Schmidt, G.; Quandt, E.; Faupel, F. Influence of the quality factor on the signal to noise ratio of magnetoelectric sensors based on the delta-E effect. Appl. Phys. Lett. 2019, 114, 183504. [Google Scholar] [CrossRef]
- Li, M.; Matyushov, A.; Dong, C.; Chen, H.; Lin, H.; Nan, T.; Qian, Z.; Rinaldi, M.; Lin, Y.; Sun, N.X. Ultra-sensitive NEMS magnetoelectric sensor for picotesla DC magnetic field detection. Appl. Phys. Lett. 2017, 110, 143510. [Google Scholar] [CrossRef]
- Liu, G.; Cui, X.; Dong, S. A tunable ring-type magnetoelectric inductor. J. Appl. Phys. 2010, 108, 094106. [Google Scholar] [CrossRef]
- Yan, Y.; Geng, L.D.; Zhang, L.; Tu, C.; Sriramdas, R.; Liu, H.; Li, X.; Sanghadasa, M.; Ngo, K.D.T.; Wang, Y.U.; et al. High-Power Magnetoelectric Voltage Tunable Inductors. IEEE Trans. Ind. Electron. 2021, 68, 5355–5365. [Google Scholar] [CrossRef]
- Wang, W.; Luo, X.B.; Zhang, N.; Ma, Q.Y. Giant room-temperature magnetocapacitance in Terfenol-D/PZT/Terfenol-D trilayer composites. Sens. Actuator. A Phys. 2011, 171, 248–251. [Google Scholar] [CrossRef]
- Zhang, J.J.; Wen, J.B.; Gao, Y.W. A nonlinear model for magnetocapacitance effect in PZT-ring/Terfenol-D-strip magnetoelectric composites. AIP Adv. 2016, 6, 065318. [Google Scholar] [CrossRef] [Green Version]
- Fang, X.; Zhang, N.; Wang, Z.L. Converse magnetoelectric effects on heterotype electrostrain-piezopermeability composites. Appl. Phys. Lett. 2008, 93, 102503. [Google Scholar] [CrossRef]
- Lou, J.; Reed, D.; Liu, M.; Sun, N.X. Electrostatically tunable magnetoelectric inductors with large inductance tunability. Appl. Phys. Lett. 2009, 94, 112508. [Google Scholar] [CrossRef]
- Zhang, J.; Chen, D.; Filippov, D.A.; Zhang, Q.; Li, K.; Hang, X.; Ge, B.; Cao, L.; Srinivasan, G. Improved tunability in Metglas/Ferrite/PZT magnetoelectric tunable inductors. IEEE Trans. Magn. 2019, 55, 1–4. [Google Scholar] [CrossRef]
- Singh, P.; Laishram, R.; Sharma, P.; Kolte, J. Giant magnetocapacitance in magnetoelectric BNT/NFO particulate composites. J. Mater. Sci. Mater. Electron. 2021, 32, 21288–21296. [Google Scholar] [CrossRef]
- Zhang, J.J. Effect of boundary conditions on magnetocapacitance effect in a ring-type magnetoelectric structure. Phys. Lett. A 2017, 381, 3909–3916. [Google Scholar] [CrossRef]
- Leung, C.M.; Zhuang, X.; Xu, J.; Li, J.; Zhang, J.; Srinivasan, G.; Viehland, D. Enhanced tunability of magneto-impedance and magneto-capacitance in annealed Metglas/PZT magnetoelectric composites. AIP Adv. 2018, 8, 055803. [Google Scholar] [CrossRef]
- Wang, W.; Wang, Z.; Luo, X.; Tao, J.; Zhang, N.; Xu, X.; Zhou, L. Capacitive type magnetoimpedance effect in piezoelectric-magnetostrictive composite resonator. Appl. Phys. Lett. 2015, 107, 172904. [Google Scholar] [CrossRef]
- Wan, J.G.; Li, Z.Y.; Wang, Y.; Zeng, M.; Wang, G.H.; Liu, J.M. Strong flexural resonant magnetoelectric effect in Terfenol-D/epoxy-Pb(Zr,Ti)O3 bilayer. Appl. Phys. Lett. 2005, 86, 202504. [Google Scholar] [CrossRef]
- Salahun, E.; Queffelec, P.; Tanne, G.; Adenot, A.-L.; Acher, O. Correlation between magnetic properties of layered ferromagnetic/dielectric materials and tunable device applications. J. Appl. Phys. 2002, 91, 5449–5455. [Google Scholar] [CrossRef]
- Born, M.; Wolf, E. Principle of Optics; Pergamon Press: New York, NY, USA, 1959; p. 803. [Google Scholar]
- Suo, Z. Stress and strain in ferroelectrics. Curr. Opin. Solid State Mater. Sci. 1998, 3, 486–489. [Google Scholar] [CrossRef]
- Bichurin, M.I.; Petrov, V.M.; Srinivasan, G. Theory of low-frequency magnetoelectric coupling in magnetostrictive-piezoelectric bilayers. Phys. Rev. B 2003, 68, 054402. [Google Scholar] [CrossRef] [Green Version]
- Yang, Z.; Lei, C.; Zhou, Y.; Sun, X. Study of the giant magnetoimpedance effect in micro-patterned co-based amorphous ribbons with single strip structure sand tortuous shape. Microsyst. Technol. 2015, 21, 1995. [Google Scholar] [CrossRef]
- Engdahl, G. Handbook of Giant Magnetostrictive Materials; Academic Press: San Diego, CA, USA, 2000. [Google Scholar]
- Or, S.W.; Nersessian, N.; Carman, G.P. Dynamic magnetomechanical behavior of Terfenol-D/Epoxy 1–3 particulate composites. IEEE Trans. Magn. 2004, 40, 71–77. [Google Scholar] [CrossRef]
- Clark, A.E.; Savage, H.T. Giant magnetically induced changes in the elastic moduli in Tb.3Dy.7Fe2. IEEE Trans. Sonics Ultrason. 1975, 22, 50. [Google Scholar] [CrossRef]
- Cullity, B.D. Introduction to Magnetic Materials; Addison-Wesley Press: Cambridge, MA, USA, 1972. [Google Scholar]
- Xing, Z.P.; Zhai, J.Y.; Dong, S.X.; Li, J.F.; Viehland, D.; Odendaal, W.G. Modeling and detection of quasi-static nanotesla magnetic field variations using magnetoelectric laminate sensors. Meas. Sci. Technol. 2008, 19, 015206. [Google Scholar] [CrossRef]
- Chen, L.; Li, P.; Wen, Y.; Qiu, J. The magnetostrictive material effects on magnetic field sensitivity for magnetoelectric sensor. J. Appl. Phys. 2012, 111, 07E503. [Google Scholar] [CrossRef]
- Wang, Y.; Wen, Y.; Song, F.; Li, P.; Yu, S. Enhanced inductance in laminated multilayer magnetic planar inductor for sensitive magnetic field detection. Appl. Phys. Lett. 2018, 112, 182403. [Google Scholar] [CrossRef] [Green Version]








Publisher’s Note: MDPI stays neutral with regard to jurisdictional claims in published maps and institutional affiliations. |
© 2021 by the authors. Licensee MDPI, Basel, Switzerland. This article is an open access article distributed under the terms and conditions of the Creative Commons Attribution (CC BY) license (https://creativecommons.org/licenses/by/4.0/).
Share and Cite
Chen, L.; Wang, Y.; Luo, T.; Zou, Y.; Wan, Z. The Study of Magnetoimpedance Effect for Magnetoelectric Laminate Composites with Different Magnetostrictive Layers. Materials 2021, 14, 6397. https://doi.org/10.3390/ma14216397
Chen L, Wang Y, Luo T, Zou Y, Wan Z. The Study of Magnetoimpedance Effect for Magnetoelectric Laminate Composites with Different Magnetostrictive Layers. Materials. 2021; 14(21):6397. https://doi.org/10.3390/ma14216397
Chicago/Turabian StyleChen, Lei, Yao Wang, Tianhong Luo, Yongkang Zou, and Zhongjie Wan. 2021. "The Study of Magnetoimpedance Effect for Magnetoelectric Laminate Composites with Different Magnetostrictive Layers" Materials 14, no. 21: 6397. https://doi.org/10.3390/ma14216397
APA StyleChen, L., Wang, Y., Luo, T., Zou, Y., & Wan, Z. (2021). The Study of Magnetoimpedance Effect for Magnetoelectric Laminate Composites with Different Magnetostrictive Layers. Materials, 14(21), 6397. https://doi.org/10.3390/ma14216397

