Effects of Short-Term Ageing Temperature on Conventional and High-Temperature Properties of Paving-Grade Bitumen with Anti-Stripping and WMA Additives
Abstract
1. Introduction
2. Materials and Methods
2.1. Materials
2.2. Methods
2.2.1. Preparation of the Asphalt Binders
2.2.2. Short-Term Ageing
2.2.3. Conventional Testing of Bituminous Binders
2.2.4. High-Temperature Functional Properties of Bituminous Binders
2.2.5. Statistical Analysis of the Results
3. Results
- XX—marks the type of the bitumen by its penetration range:
- ◯
- 35—35/50 penetration bitumen,
- ◯
- 57—50/70 penetration bitumen;
- YY—marks the type of the additive used:
- Z—marks the amount of the additive used:
- ◯
- L—low value (0.3% of AS and WL, 1.5% of WS),
- ◯
- H—high value (0.6% of AS and WL, 3.0% of WS).
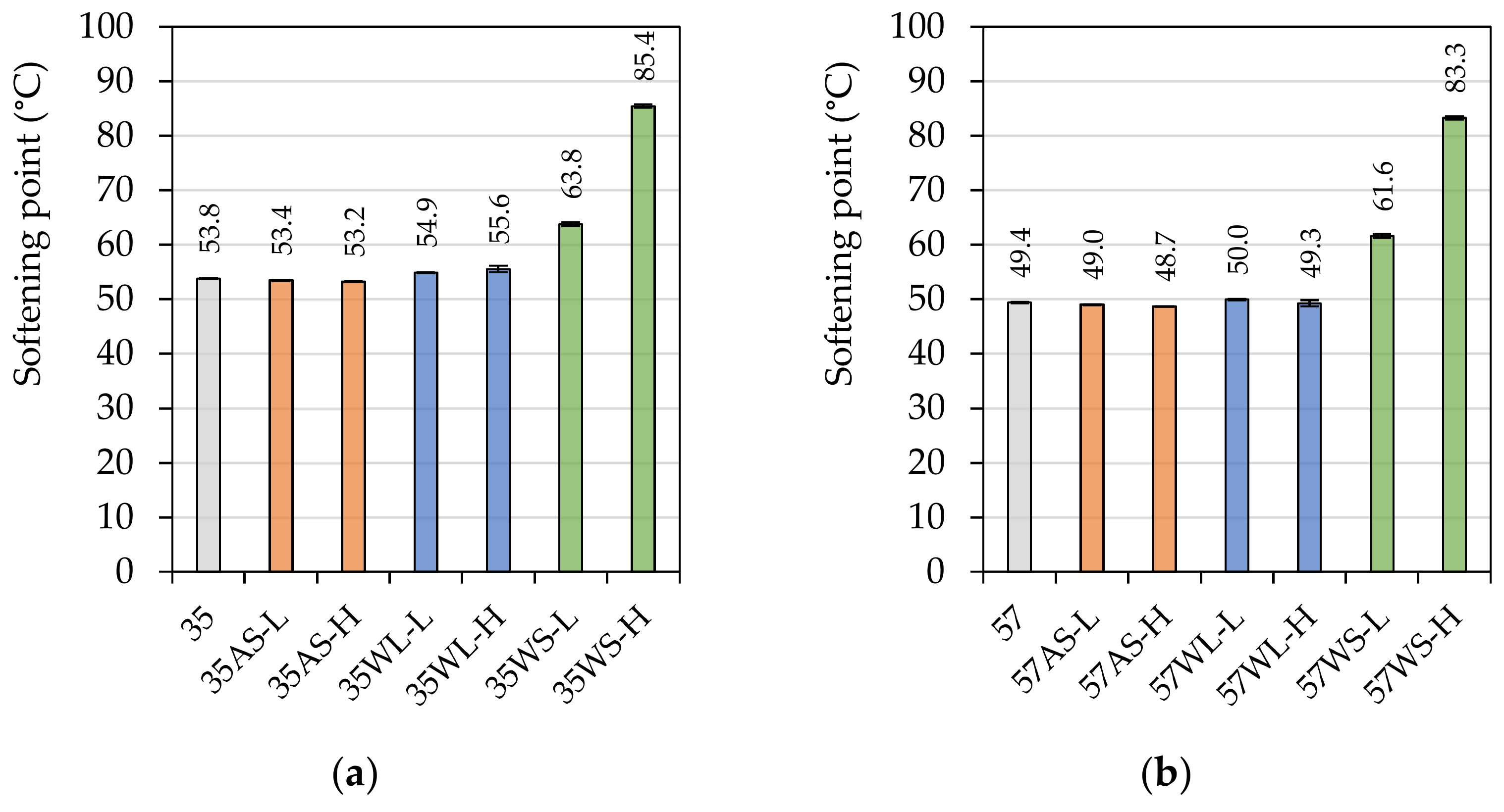
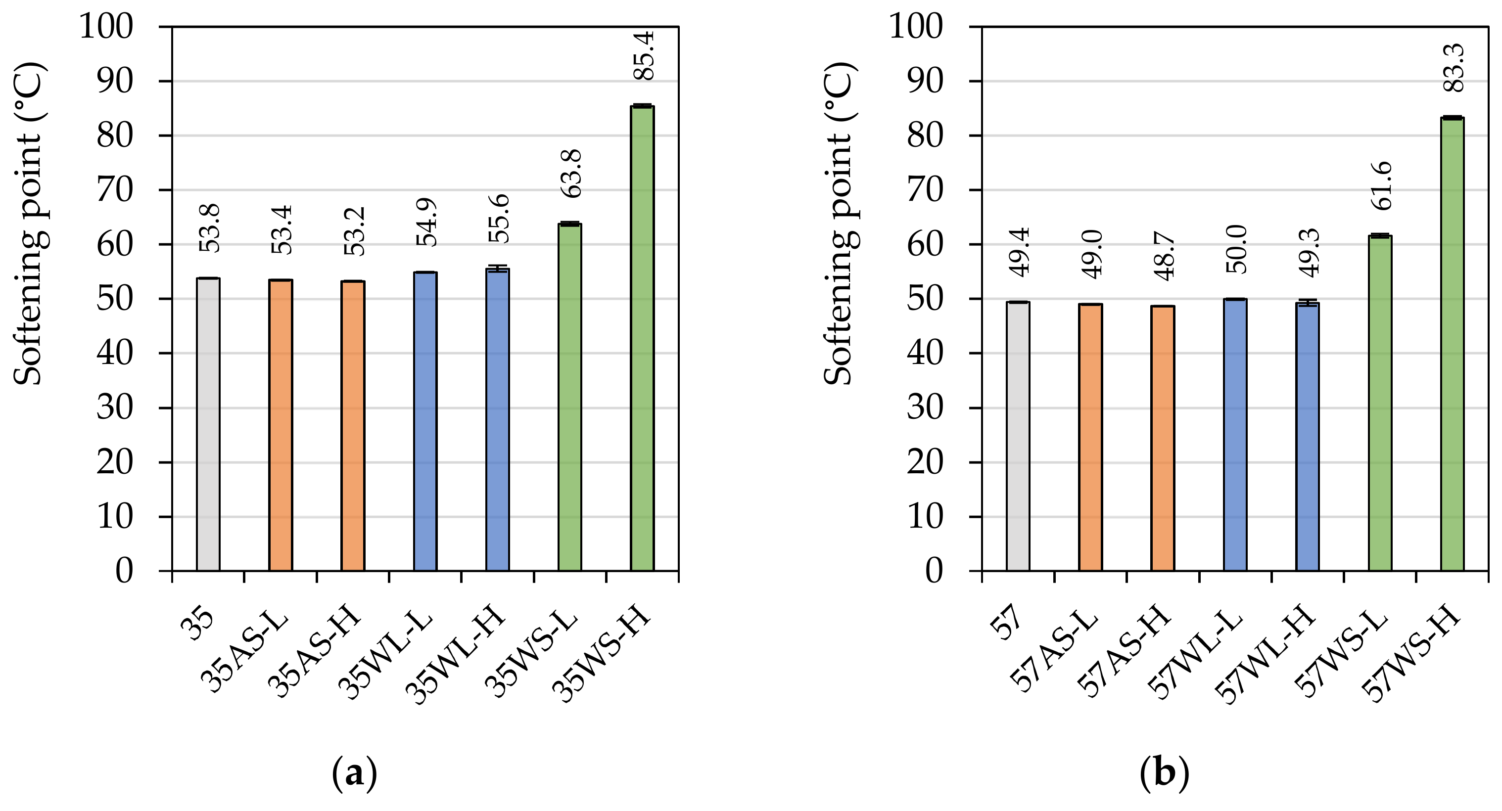
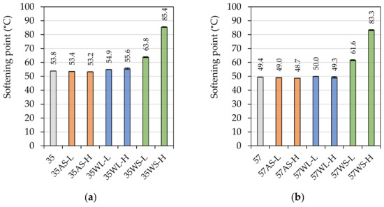
3.1. Conventional Propetries of the Bituminous Binders
3.2. High-Temperature Functional Properties of Bituminous Binders
4. Discussion
5. Conclusions
Author Contributions
Funding
Institutional Review Board Statement
Informed Consent Statement
Data Availability Statement
Conflicts of Interest
References
- Remišová, E.; Decký, M.; Mikolaš, M.; Hájek, M.; Kovalčík, L.; Mečár, M. Design of Road Pavement Using Recycled Aggregate. IOP Conf. Ser. Earth Environ. Sci. 2016, 44, 022016. [Google Scholar] [CrossRef]
- Bańkowski, W.; Król, J.; Gałązka, K.; Liphardt, A.; Horodecka, R. Design and Verification of Bituminous Mixtures with the Increased Content of Reclaimed Asphalt Pavement. IOP Conf. Ser. Mater. Sci. Eng. 2018, 356, 012009. [Google Scholar] [CrossRef]
- Ma, Y.; Polaczyk, P.; Park, H.; Jiang, X.; Hu, W.; Huang, B. Performance Evaluation of Temperature Effect on Hot In-Place Recycling Asphalt Mixtures. J. Clean. Prod. 2020, 277, 124093. [Google Scholar] [CrossRef]
- Raschia, S.; Moghaddam, T.B.; Perraton, D.; Baaj, H.; Carter, A.; Graziani, A. Effect of RAP Source on Compactability and Behavior of Cold-Recycled Mixtures in the Small Strain Domain. J. Mater. Civ. Eng. 2021, 33, 04021030. [Google Scholar] [CrossRef]
- Skotnicki, Ł.; Kuźniewski, J.; Szydło, A. Research on the Properties of Mineral-Cement Emulsion Mixtures Using Recycled Road Pavement Materials. Materials 2021, 14, 563. [Google Scholar] [CrossRef] [PubMed]
- Ma, Y.; Hu, W.; Polaczyk, P.A.; Han, B.; Xiao, R.; Zhang, M.; Huang, B. Rheological and Aging Characteristics of the Recycled Asphalt Binders with Different Rejuvenator Incorporation Methods. J. Clean. Prod. 2020, 262, 121249. [Google Scholar] [CrossRef]
- Jurczak, R.; Mieczkowski, P.; Budziński, B. Potential of Using Imidazoline in Recycled Asphalt Pavement. Balt. J. Road Bridge Eng. 2019, 14, 521–542. [Google Scholar] [CrossRef]
- Chomicz-Kowalska, A.; Iwański, M.M.; Mrugała, J. Basic Performance of Fibre Reinforced Asphalt Concrete with Reclaimed Asphalt Pavement Produced in Low Temperatures with Foamed Bitumen. IOP Conf. Ser. Mater. Sci. Eng. 2017, 245, 032092. [Google Scholar] [CrossRef]
- Chomicz-Kowalska, A. Laboratory Testing of Low Temperature Asphalt Concrete Produced in Foamed Bitumen Technology with Fiber Reinforcement. Bull. Pol. Acad. Sci. Tech. Sci. 2017, 65, 779–790. [Google Scholar] [CrossRef]
- Radziszewski, P.; Sarnowski, M.; Plewa, A.; Pokorski, P. Properties of Asphalt Concrete with Basalt-Polymer Fibers. Arch. Civ. Eng. 2018, 64, 197–209. [Google Scholar] [CrossRef]
- Mieczkowski, P.; Budziński, B.; Słowik, M.; Kempa, J.; Sorociak, W. Experimental Study of Tensile Properties of Styrene-Butadiene-Styrene Modified Asphalt Binders. Materials 2021, 14, 1734. [Google Scholar] [CrossRef]
- D’Angelo, J.A.; Harm, E.E.; Bartoszek, J.C.; Baumgardner, G.L. Warm-Mix Asphalt: European Practice; Federal Highway Administration: Washington, DC, USA, 2008. [Google Scholar]
- Iwański, M.; Chomicz-Kowalska, A. Moisture and Frost Resistance of the Recycled Base Rehabilitated with the Foamed Bitumen Technology. Arch. Civ. Eng. 2012, 58, 185–198. [Google Scholar] [CrossRef][Green Version]
- Rubio, M.C.; Martínez, G.; Baena, L.; Moreno, F. Warm Mix Asphalt: An Overview. J. Clean. Prod. 2012, 24, 76–84. [Google Scholar] [CrossRef]
- Iwanski, M.M.; Chomicz-Kowalska, A.; Maciejewski, K. Resistance to Moisture-Induced Damage of Half-Warm-Mix Asphalt Concrete with Foamed Bitumen. Materials 2020, 13, 654. [Google Scholar] [CrossRef] [PubMed]
- Iwański, M.; Chomicz-Kowalska, A.; Mazurek, G.; Buczyński, P.; Cholewińska, M.; Iwański, M.M.; Maciejewski, K.; Ramiączek, P. Effects of the Water-Based Foaming Process on the Basic and Rheological Properties of Bitumen 70/100. Materials 2021, 14, 2803. [Google Scholar] [CrossRef] [PubMed]
- Remišová, E.; Holý, M. Changes of Properties of Bitumen Binders by Additives Application. IOP Conf. Ser. Mater. Sci. Eng. 2017, 245, 032003. [Google Scholar] [CrossRef]
- Pucułek, M.; Liphardt, A.; Radziszewski, P. Evaluation of the Possibility of Reduction of Highly Modified Binders Technological Temperatures. Arch. Civ. Eng. 2020, 67, 557–570. [Google Scholar] [CrossRef]
- Woszuk, A.; Zofka, A.; Bandura, L.; Franus, W. Effect of Zeolite Properties on Asphalt Foaming. Constr. Build. Mater. 2017, 139, 247–255. [Google Scholar] [CrossRef]
- Chomicz-Kowalska, A.; Maciejewski, K.; Iwański, M.M.; Janus, K. Effects of Zeolites and Hydrated Lime on Volumetrics and Moisture Resistance of Foamed Warm Mix Asphalt Concrete. Bull. Pol. Acad. Sci. Tech. Sci. 2021, 2, e136731. [Google Scholar] [CrossRef]
- Ghabchi, R.; Singh, D.; Zaman, M. Laboratory Evaluation of Stiffness, Low-Temperature Cracking, Rutting, Moisture Damage, and Fatigue Performance of WMA Mixes. Road Mater. Pavement Des. 2015, 16, 334–357. [Google Scholar] [CrossRef]
- Woszuk, A.; Franus, W. A Review of the Application of Zeolite Materials in Warm Mix Asphalt Technologies. Appl. Sci. 2017, 7, 293. [Google Scholar] [CrossRef]
- Woszuk, A.; Panek, R.; Madej, J.; Zofka, A.; Franus, W. Mesoporous Silica Material MCM-41: Novel Additive for Warm Mix Asphalts. Constr. Build. Mater. 2018, 183, 270–274. [Google Scholar] [CrossRef]
- Iwański, M.M. Synergistic Effect of F–T Synthetic Wax and Surface-Active Agent Content on the Properties and Foaming Characteristics of Bitumen 50/70. Materials 2021, 14, 300. [Google Scholar] [CrossRef] [PubMed]
- Chomicz-Kowalska, A.; Maciejewski, K.; Iwański, M.M. Study of the Simultaneous Utilization of Mechanical Water Foaming and Zeolites and Their Effects on the Properties of Warm Mix Asphalt Concrete. Materials 2020, 13, 357. [Google Scholar] [CrossRef]
- Maciejewski, K. High Temperature Properties of Paving Grade Bitumens for Foamed Warm-Mix Asphalt in Terms of the Used Additives and Laboratory Short-Term Aging. Ph.D. Thesis, Kielce University of Technology, Kielce, Poland, 2019. [Google Scholar]
- Holý, M.; Remišová, E. Analysis of Influence of Bitumen Composition on the Properties Represented by Empirical and Viscosity Test. Transp. Res. Procedia 2019, 40, 34–41. [Google Scholar] [CrossRef]
- Perez-Martinez, M.; Marsac, P.; Gabet, T.; Pouget, S.; Hammoum, F. Ageing Evolution of Foamed Warm Mix Asphalt Combined with Reclaimed Asphalt Pavement. Mater. Constr. 2017, 67, 125. [Google Scholar] [CrossRef]
- West, R.; Rodezno, C.; Julian, G.; Prowell, B.; Frank, B.; Osborn, L.V.; Kriech, T. Field Performance of Warm Mix Asphalt Technologies; National Academies Press: Washington, DC, USA, 2014. [Google Scholar]
- Frigio, F.; Raschia, S.; Steiner, D.; Hofko, B.; Canestrari, F. Aging Effects on Recycled WMA Porous Asphalt Mixtures. Constr. Build. Mater. 2016, 123, 712–718. [Google Scholar] [CrossRef]
- Ayberk, Ö.; Zeliha, T.; Muhammet, K.; Seyit, A.Y. Investigation of Field Performance of Warm Mix Asphalt Produced with Foamed Bitumen. In Proceedings of the 7th Eurasphalt & Eurobitume Congress v1.0, Madrid, Spain, 16–18 June 2021. [Google Scholar]
- Wu, S.; Shen, S.; Zhang, W.; Muhunthan, B. Characterization of Long-term Performance of Warm Mix Asphalt in the United States. In Proceedings of the 7th Eurasphalt & Eurobitume Congress v1.0, Madrid, Spain, 16–18 June 2021. [Google Scholar]
- Petersen, J.C. A Review of the Fundamentals of Asphalt Oxidation: Chemical, Physicochemical, Physical Property, and Durability Relationships. Transp. Res. Circ. 2009, 140. [Google Scholar] [CrossRef]
- Xu, S.; Xiao, F.; Amirkhanian, S.; Singh, D. Moisture Characteristics of Mixtures with Warm Mix Asphalt Technologies-A Review. Constr. Build. Mater. 2017, 142, 148–161. [Google Scholar] [CrossRef]
- Garcia Cucalon, L.; Kassem, E.; Little, D.N.; Masad, E. Fundamental Evaluation of Moisture Damage in Warm-Mix Asphalts. Road Mater. Pavement Des. 2017, 18, 258–283. [Google Scholar] [CrossRef]
- Ragni, D.; Ferrotti, G.; Lu, X.; Canestrari, F. Effect of Temperature and Chemical Additives on the Short-Term Ageing of Polymer Modified Bitumen for WMA. Mater. Des. 2018, 160, 514–526. [Google Scholar] [CrossRef]
- Hofko, B.; Cannone Falchetto, A.; Grenfell, J.; Huber, L.; Lu, X.; Porot, L.; Poulikakos, L.D.; You, Z. Effect of Short-Term Ageing Temperature on Bitumen Properties. Road Mater. Pavement Des. 2017, 18, 108–117. [Google Scholar] [CrossRef]
- Chomicz-Kowalska, A.; Mrugała, J.; Maciejewski, K. Evaluation of Foaming Performance of Bitumen Modified with the Addition of Surface Active Agent. IOP Conf. Ser. Mater. Sci. Eng. 2017, 245, 032086. [Google Scholar] [CrossRef]
- Edwards, Y.; Isacsson, U. Wax in Bitumen. Road Mater. Pavement Des. 2005, 6, 281–309. [Google Scholar] [CrossRef]
- Hurley, G.C.; Prowell, B.D. Evaluation of Sasobit for Use in Warm Mix Asphalt. NCAT Rep. 2005, 5, 1–27. [Google Scholar]
- Wasiuddin, N.M.; Zaman, M.M.; O’Rear, E.A. Effect of Sasobit and Aspha-Min on Wettability and Adhesion between Asphalt Binders and Aggregates. Transp. Res. Rec. 2008, 2051, 80–89. [Google Scholar] [CrossRef]
- Edwards, Y.; Tasdemir, Y.; Isacsson, U. Influence of Commercial Waxes on Bitumen Aging Properties. Energy Fuels 2005, 19, 2519–2525. [Google Scholar] [CrossRef]
- Mazurek, G.; Iwanski, M. Analysis of Selected Properties of Asphalt Concrete with Synthetic Wax. Bull. Pol. Acad. Sci. Tech. Sci. 2018, 66, 217–228. [Google Scholar] [CrossRef]
- Bairgi, B.K.; Tarefder, R.A. Effect of Foaming Water Contents on High-Temperature Rheological Characteristics of Foamed Asphalt Binder. In Proceedings of the International Conference on Transportation and Development 2018; American Society of Civil Engineers: Reston, VA, USA, 2018; pp. 243–251. [Google Scholar]
- Bairgi, B.K.; Mannan, U.A.; Tarefder, R.A. Influence of Foaming on Tribological and Rheological Characteristics of Foamed Asphalt. Constr. Build. Mater. 2019, 205, 186–195. [Google Scholar] [CrossRef]
- Bairgi, B.K.; Mannan, U.A.; Tarefder, R.A. Tribological Evaluation for an In-Depth Understanding of Improved Workability of Foamed Asphalt. Transp. Res. Rec. J. Transp. Res. Board 2019, 2673, 533–545. [Google Scholar] [CrossRef]
- Maciejewski, K.; Chomicz-Kowalska, A. Foaming Performance and FTIR Spectrometric Analysis of Foamed Bituminous Binders Intended for Surface Courses. Materials 2021, 14, 2055. [Google Scholar] [CrossRef]
- Huang, B.; Zhang, Y.; Shu, X.; Liu, Y.; Penumadu, D.; Ye, X.P. Neutron Scattering for Moisture Detection in Foamed Asphalt. J. Mater. Civ. Eng. 2013, 25, 932–938. [Google Scholar] [CrossRef]
- Kennedy, T.W.; Huber, G.A.; Harrigan, E.T.; Cominsky, R.J.; Hughes, C.S.; Von Quintus, H.; Moulthrop, J.S. Superior Performing Ashpalt Pavements (Superpave): The Product of the SHRP Ashpalt Research Program; National Academy of Sciences: Washington, DC, USA, 1994; p. 156. [Google Scholar]
- D’Angelo, J. Current Status of Superpave Binder Specification. Road Mater. Pavement Des. 2009, 10, 13–24. [Google Scholar] [CrossRef]
- Hossain, Z.; Ghosh, D.; Zaman, M.; Hobson, K. Use of the Multiple Stress Creep Recovery (MSCR) Test Method to Characterize Polymer-Modified Asphalt Binders. J. Test. Eval. 2016, 44, 20140061. [Google Scholar] [CrossRef]
- Rys, D.; Jaczewski, M.; Pszczola, M.; Jaskula, P.; Bankowski, W. Effect of Bitumen Characteristics Obtained According to EN and Superpave Specifications on Asphalt Mixture Performance in Low-Temperature Laboratory Tests. Constr. Build. Mater. 2020, 231, 117156. [Google Scholar] [CrossRef]
- Blazejowski, K.; Dolzycki, B. Relationships between Asphalt Mix Rutting Resistance and MSCR Test Results. In Proceedings of the Geo-Hubei 2014 International Conference on Sustainable Civil Infrastructure, Yichang, China, 20–22 July 2014; pp. 202–209. [Google Scholar] [CrossRef]
- Yan, C.; Zhang, Y.; Bahia, H.U. Predicting Rutting Performance of Asphalt Mixture from Binder Properties and Mixture Design Variables. Road Mater. Pavement Des. 2020, 1–18. [Google Scholar] [CrossRef]
- Remišová, E.; Zatkaliková, V.; Schlosser, F. Study of Rheological Properties of Bituminous Binders in Middle and High Temperatures. Civ. Environ. Eng. 2016, 12, 13–20. [Google Scholar] [CrossRef]
- Nouryon Wetfix, B.E. Available online: https://www.nouryon.com/globalassets/inriver/resources/technical-bulletin-asphalt-wetfix-be-global-en.pdf (accessed on 20 August 2021).
- Nouryon Rediset, L.Q. Available online: https://www.nouryon.com/product/rediset-lq-1200/ (accessed on 20 August 2021).
- Sasol Sasobit. Available online: https://www.sasobit.com/files/downloads/en/sasobit/DosageRecommendations_en.pdf (accessed on 20 August 2021).
- Prowell, B.D.; Hurley, G.C. Warm-Mix Asphalt: Best Practices, 3rd ed.; National Asphalt Pavement Association: Lanham, MD, USA, 2007. [Google Scholar]
- Shenoy, A.; Mitchell, T.; Gibson, N.; Youtcheff, J.; Harman, T.; Qi, X.; Al-Khateeb, G. Performance of the FHWA’s ALF Modified-Binder Pavements. In Proceedings of the 10th International Conference on Asphalt Pavements; International Society for Asphalt Pavements, Quebec City, QC, Canada; 2006. [Google Scholar]
- General Directorate of National Roads and Highways. WT-2 2014. Asphalt mixes. Technical Requirements. Appendix to ordinance No. 54 of the General Director of National Roads and Highways, 8.11.2014. 2014. Available online: https://www.gov.pl/attachment/34584de6-9577-4d36-876a-2e11c703128c/ (accessed on 20 August 2021).
- Zhu, C.; Xu, G.; Zhang, H.; Xiao, F.; Amirkhanian, S.; Wu, C. Influence of Different Anti-Stripping Agents on the Rheological Properties of Asphalt Binder at High Temperature. Constr. Build. Mater. 2018, 164, 317–325. [Google Scholar] [CrossRef]
- Stefańczyk, B.; Mieczkowski, P. Additives, Catalysts and Emulsifiers in Asphalt Mixtures; WKiL: Warsaw, Poland, 2010. [Google Scholar]
- Walubita, L.F.; Gonzalez-Hernandez, J.G.; Martinez-Arguelles, G.; Tanvir, H.; Fuentes, L.; Tahami, S.A. Statistical Evaluation of the Material-Source Effects on the DSR Rheological Properties of Plant-Mix Extracted Asphalt-Binders. Materials 2021, 14, 1931. [Google Scholar] [CrossRef]











| Binder Type | 35/50 (“35”) | 50/70 (“57”) | |
|---|---|---|---|
| Penetration, EN 1426, (0.1 mm) | 49.5 | 63.5 | |
| Softening point, EN 1427, (°C) | 53.8 | 49.4 | |
| Frass breaking point, EN 12593, (°C) | −13.0 | −14.0 | |
| Dynamic viscosity, EN 13302, (Pa·s) | at 105 °C at 120 °C at 135 °C at 150 °C | 6.30 1.87 0.78 0.36 | 3.65 1.16 0.52 0.25 |
| High PG (continuous), ASTM D 7643, (°C) | 75.4 | 68.5 | |
| Performance grade, AASHTO M 332, (°C) | 70–22 | 64–22 | |
| Property | Wetfix BE [56] | Rediset LQ [57,59] | Sasobit [58,59] |
|---|---|---|---|
| Form | viscous liquid | viscous liquid | solid pellets |
| Color | dark brown | brown | white |
| Density (kg/m3) | 0.980 | 0.975 | 0.902 |
| Viscosity at 20 °C (mPa∙s) | 538 | 471 | n/a |
| Dosing range (by wt. of asphalt binder) | 0.1–1.0% | 0.3–0.8% | 1–4% |
| Congealing point (°C) | n/a | n/a | 100–110 |
| Penetration at 25 °C (0.1 mm) | n/a | n/a | 0–2 |
| Tukey HSD Test, Homogenous Groups, α = 0.05. Variable: Penetration at 25 °C | ||||||||||
|---|---|---|---|---|---|---|---|---|---|---|
| Groupings | 1 | 2 | 3 | 4 | 5 | 1 | 2 | 3 | 4 | |
| 35 | 2 | 57 | 1 | |||||||
| 35AS-L | 3 | 57AS-L | 2 | |||||||
| 35AS-H | 3 | 57AS-H | 2 | |||||||
| 35WL-L | 1 | 57WL-L | 1 | |||||||
| 35WL-H | 1 | 2 | 57WL-H | 1 | ||||||
| 35WS-L | 4 | 57WS-L | 4 | |||||||
| 35WS-H | 5 | 57WS-H | 3 | |||||||
| Tukey HSD Test, Homogenous Groups, α = 0.05. Variable: Softening Point | ||||||||
|---|---|---|---|---|---|---|---|---|
| Groupings | 1 | 2 | 3 | 4 | 1 | 2 | 3 | |
| 35 | 1 | 57 | 1 | |||||
| 35AS-L | 1 | 57AS-L | 1 | |||||
| 35AS-H | 1 | 57AS-H | 1 | |||||
| 35WL-L | 2 | 57WL-L | 1 | |||||
| 35WL-H | 2 | 57WL-H | 1 | |||||
| 35WS-L | 3 | 57WS-L | 2 | |||||
| 35WS-H | 4 | 57WS-H | 3 | |||||
| Asphalt Binder | 35 | 35 AS-H | 35 WL-H | 35 WS-L | 57 | 57 AS-H | 57 WL-H | 57 WS-H |
|---|---|---|---|---|---|---|---|---|
| Compaction (maximum, °C) | 145 | 143 | 144 | 142 | 135 | 133 | 134 | 132 |
| Mixing (minimum, °C) | 158 | 157 | 158 | 154 | 154 | 149 | 150 | 147 |
| Tukey HSD Test, Homogenous Groups, α = 0.05. Variable: G*/sin(δ) | |||||||||||||||
|---|---|---|---|---|---|---|---|---|---|---|---|---|---|---|---|
| Ageing | Not Aged | RTFOT (163 °C) | Not Aged | RTFOT (163 °C) | |||||||||||
| Groupings | 1 | 2 | 3 | 4 | 1 | 2 | 3 | 4 | 1 | 2 | 3 | 1 | 2 | 3 | |
| 35 | 1 | 2 | 4 | 57 | 1 | 1 | |||||||||
| 35AS-L | 1 | 1 | 57AS-L | 1 | 1 | ||||||||||
| 35AS-H | 1 | 2 | 57AS-H | 1 | 1 | ||||||||||
| 35WL-L | 2 | 1 | 2 | 57WL-L | 1 | 1 | |||||||||
| 35WL-H | 2 | 1 | 57WL-H | 1 | 1 | ||||||||||
| 35WS-L | 3 | 3 | 57WS-L | 2 | 2 | ||||||||||
| 35WS-H | 4 | 3 | 57WS-H | 3 | 3 | ||||||||||
| Binder | 35/50: G*/sin(δ) (70 °C) | 50/70: G*/sin(δ) (64 °C) | ||
|---|---|---|---|---|
| Additive | Not Aged | RTFOT at 163 °C | Not Aged | RTFOT at 163 °C |
| none | 100.0% | 100.0% | 100.0% | 100.0% |
| AS-L | 92.6% | 87.1% | 96.0% | 101.5% |
| AS-H | 94.4% | 77.5% | 96.3% | 99.9% |
| WL-L | 110.1% | 84.9% | 98.4% | 101.4% |
| WL-H | 108.6% | 90.5% | 95.9% | 98.2% |
| WS-L | 145.4% | 128.8% | 168.7% | 155.2% |
| WS-H | 164.3% | 129.7% | 230.8% | 174.6% |
Publisher’s Note: MDPI stays neutral with regard to jurisdictional claims in published maps and institutional affiliations. |
© 2021 by the authors. Licensee MDPI, Basel, Switzerland. This article is an open access article distributed under the terms and conditions of the Creative Commons Attribution (CC BY) license (https://creativecommons.org/licenses/by/4.0/).
Share and Cite
Maciejewski, K.; Ramiączek, P.; Remisova, E. Effects of Short-Term Ageing Temperature on Conventional and High-Temperature Properties of Paving-Grade Bitumen with Anti-Stripping and WMA Additives. Materials 2021, 14, 6229. https://doi.org/10.3390/ma14216229
Maciejewski K, Ramiączek P, Remisova E. Effects of Short-Term Ageing Temperature on Conventional and High-Temperature Properties of Paving-Grade Bitumen with Anti-Stripping and WMA Additives. Materials. 2021; 14(21):6229. https://doi.org/10.3390/ma14216229
Chicago/Turabian StyleMaciejewski, Krzysztof, Piotr Ramiączek, and Eva Remisova. 2021. "Effects of Short-Term Ageing Temperature on Conventional and High-Temperature Properties of Paving-Grade Bitumen with Anti-Stripping and WMA Additives" Materials 14, no. 21: 6229. https://doi.org/10.3390/ma14216229
APA StyleMaciejewski, K., Ramiączek, P., & Remisova, E. (2021). Effects of Short-Term Ageing Temperature on Conventional and High-Temperature Properties of Paving-Grade Bitumen with Anti-Stripping and WMA Additives. Materials, 14(21), 6229. https://doi.org/10.3390/ma14216229

