Mass Spectrometric Investigation of Organo-Functionalized Magnetic Nanoparticles Binding Properties toward Chalcones
Abstract
:1. Introduction
2. Materials and Methods
2.1. Chemicals
2.2. Instruments
2.3. Synthesis of Schiff Base-Modified Fe3O4 Nanoparticles
2.4. Synthesis of 2′,4′-Dihydroxy-2-Methoxychalcone (DH-2-MC) Complex with Cu(II) Ions
2.5. Adsorption Experiments
2.5.1. Adsorption of Pure Chalcones on the Fe3O4-Schiff Base Materials
2.5.2. Adsorption of Pure Chalcones on the [Fe3O4-Schiff base]Cu(II) Materials
2.5.3. Adsorption of [DH-2-MC]Cu(II) Complex on the Fe3O4-Schiff Base Materials
3. Results and Discussion
3.1. Synthesis and Characterization of Schiff Base-Modified Hybrid Materials
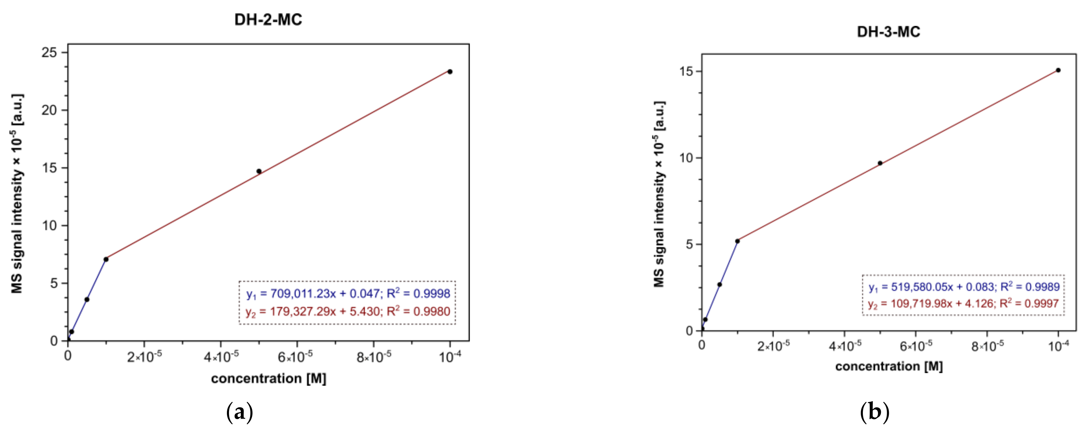
3.2. Adsorption of the Chalcones on the Schiff Base-Modified Materials
4. Conclusions
Author Contributions
Funding
Institutional Review Board Statement
Informed Consent Statement
Data Availability Statement
Conflicts of Interest
References
- Salehi, B.; Quispe, C.; Chamkhi, I.; El, O.N.; Balahbib, A.; Sharifi-Rad, J.; Bouyahya, A.; Akram, M.; Iqbal, M.; Docea, A.O.; et al. Pharmacological Properties of Chalcones: A Review of Preclinical Including Molecular Mechanisms and Clinical Evidence. Front. Pharmacol. 2021, 11, 592654. [Google Scholar] [CrossRef]
- Zhuang, C.; Zhang, W.; Sheng, C.; Zhang, W.; Xing, C.; Miao, Z. Chalcone: A Privileged Structure in Medicinal Chemistry. Chem. Rev. 2017, 117, 7762–7781. [Google Scholar] [CrossRef]
- Fouda, A.S.; Elmorsi, M.A.; Fayed, T.; Medhat, M. Corrosion Inhibition of C-steel used in Petroleum Pipelines in Aqueous Solutions using some Chalcone Derivatives. Chem. Sci. Rev. Lett. 2014, 3, 807–823. [Google Scholar]
- Kumar, B.; Vashisht, H.; Goyal, M.; Kumar, A.; Benhiba, F.; Prasad, A.K.; Kumar, S.; Bahadur, I.; Zarrouk, A. Study of adsorption mechanism of chalcone derivatives on mild steel-sulfuric acid interface. J. Mol. Liq. 2020, 318, 113890. [Google Scholar] [CrossRef]
- Ali, M.K.M.; Elzupir, A.O.; Ibrahem, M.A.; Suliman, I.I.; Modwi, A.; Idriss, H.; Ibnaouf, K.H. Characterization of optical and morphological properties of chalcone thin films for optoelectronics applications. Optik 2017, 145, 529–533. [Google Scholar] [CrossRef]
- Pannipara, M.; Asiri, A.M.; Alamry, K.A.; Arshad, M.N.; El-Daly, S.A. Synthesis, spectral behaviour and photophysics of donor-acceptor kind of chalcones: Excited state intramolecular charge transfer and fluorescence quenching studies. Spectr. Acta A Mol. Biol. Spectr. 2015, 136, 1893–1902. [Google Scholar] [CrossRef] [PubMed]
- Yeap, G.Y.; Chan, Y.H.; Mahmood, W.A.K. Novel Fluorometric Turn on Detection of Aluminum by Chalcone-Based Chemosensor in Aqueous Phase. J. Fluoresc. 2017, 27, 2017–2022. [Google Scholar] [CrossRef] [PubMed]
- Prabhu, J.; Velmurugan, K.; Nandhakumar, R. Development of fluorescent lead II sensor based on an anthracene derived chalcone. Spectr. Acta A Mol. Biol. Spectr. 2015, 144, 23–28. [Google Scholar] [CrossRef]
- Prabhu, J.; Velmurugan, K.; Raman, A.; Duraipandy, N.; Kiran, M.S.; Easwaramoorthi, S.; Nandhakumar, R. A simple chalcone based ratiometric chemosensor for sensitive and selective detection of Nickel ion and its imaging in live cells. Sens. Actuators B Chem. 2017, 238, 306–317. [Google Scholar] [CrossRef]
- Kumar, A.; Ahmed, N. A coumarin-chalcone hybrid used as a selective and sensitive colorimetric and turn-on fluorometric sensor for Cd2+ detection. New J. Chem. 2017, 41, 14746–14753. [Google Scholar]
- Velmurugan, K.; Prabhu, J.; Tang, L.; Chidambaram, T.; Noel, M.; Radhakrishnan, S.; Nandhakumar, R. A simple chalcone-based fluorescent chemosensor for the detection and removal of Fe3+ ions using a membrane separation method. Anal. Methods 2014, 6, 2883–2888. [Google Scholar] [CrossRef]
- Yeap, G.Y.; Hrishikesan, E.; Chan, Y.H.; Mahmood, W.A.K. A New Emissive Chalcone-Based Chemosensor Armed by Coumarin and Naphthol with Fluorescence “Turn-on” Properties for Selective Detection of F−Ions. J. Fluoresc. 2017, 27, 105–110. [Google Scholar] [CrossRef]
- Ling, C.; Cui, M.; Chen, J.; Xia, L.; Deng, D.; Gu, Y.; Wang, P. A novel highly selective fluorescent probe with new chalcone fluorophore for monitoring and imaging endogenous peroxynitrite in living cells and drug-damaged liver tissue. Talanta 2020, 215, 120934. [Google Scholar] [CrossRef] [PubMed]
- Shan, Y.; Liu, Z.; Cao, D.; Sun, Y.; Wang, K.; Chen, H. Nitro substituted chalcone derivatives as quick-response chemosensors for cyanide anions. Sens. Actuators B Chem. 2014, 198, 15–19. [Google Scholar] [CrossRef]
- DiCesare, N.; Lakowicz, J.R. Chalcone-analogue fluorescent probes for saccharides signaling using the boronic acid group. Tetrahedron Lett. 2002, 43, 2615–2618. [Google Scholar] [CrossRef]
- El-Nahass, M.N.; Fayed, T.A.; Shaaban, M.H.; Hassan, F.M. Chalcone isothiocyanate-mesoporous silicates: Selective anchoring and toxic metal ions detection. Sens. Actuators B Chem. 2015, 210, 56–68. [Google Scholar] [CrossRef]
- Willsky, G.R.; Halvorsen, K.; Godzala, M.E.; Chi, L.H.; Most, M.; Kaszynski, P.; Crans, D.C.; Goldfine, A.B.; Kostyniak, P.J. Coordination chemistry may explain pharmacokinetics and clinical response of vanadyl sulfate in type 2 diabetic patients. Metallomics 2013, 5, 1491–1502. [Google Scholar] [CrossRef] [Green Version]
- Muthukumar, M.; Viswanathamurthi, P. Spectral, catalytic, and anti-fungal studies of ruthenium(II) chalcone complexes. J. Coord. Chem. 2010, 63, 1263–1272. [Google Scholar] [CrossRef]
- Mahapatra, D.K.; Bharti, S.K.; Asati, V.; Singh, S.K. Perspectives of medicinally privileged chalcone based metal coordination compounds for biomedical applications. Eur. J. Med. Chem. 2019, 174, 142–158. [Google Scholar] [CrossRef] [PubMed]
- Thaker, B.T.; Barvalia, R.S. Bidentate coordinating behaviour of chalcone based ligands towards oxocations: VO(IV) and Mo(V). Spectrochim. Acta A Mol. Biomol. Spectr. 2013, 112, 101–109. [Google Scholar] [CrossRef]
- Sulpizio, C.; Breibeck, J.; Rompel, A. Recent progress in synthesis and characterization of metal chalcone complexes and their potential as bioactive agents. Coor. Chem. Rev. 2018, 374, 497–524. [Google Scholar] [CrossRef]
- Sulpizio, C.; Müller, S.T.R.; Zhang, Q.; Brecker, L.; Rompel, A. Synthesis, characterization, and antioxidant activity of Zn2+ and Cu2+ coordinated polyhydroxychalcone complexes. Monatsh. Chem. 2016, 147, 1871–1881. [Google Scholar] [CrossRef] [Green Version]
- El Sayed Aly, M.R.; Abd El Razek Fodah, H.H.; Saleh, S.Y. Antiobesity, antioxidant and cytotoxicity activities of newly synthesized chalcone derivatives and their metal complexes. Eur. J. Med. Chem. 2014, 76, 517–530. [Google Scholar] [CrossRef] [PubMed]
- El-Sayed, Y.S.; Gaber, M. Studies on chalcone derivatives: Complex formation, thermal behavior, stability constant and antioxidant activity. Spectrochim. Acta A Mol. Biomol. Spectr. 2015, 137, 423–431. [Google Scholar] [CrossRef] [PubMed]
- Dkhar, L.; Banothu, V.; Pinder, E.; Phillips, R.M.; Kaminsky, W.; Kollipara, M.R. Ru, Rh and Ir metal complexes of pyridyl chalcone derivatives: Their potent antibacterial activity, comparable cytotoxicity potency and selectivity to cisplatin. Polyhedron 2020, 185, 114606. [Google Scholar] [CrossRef]
- Sumathi, S.; Tharmaraj, P.; Sheela, C.D.; Ebenezer, R. Synthesis, spectral, bioactivity, and NLO properties of chalcone metal complexes. J. Coord. Chem. 2011, 64, 1707–1717. [Google Scholar] [CrossRef]
- Atlam, F.M.; El-Nahass, M.N.; Bakr, E.A.; Fayed, T.A. Metal complexes of chalcone analogue: Synthesis, characterization, DNA binding, molecular docking and antimicrobial evaluation. Appl. Organometal. Chem. 2018, 32, e3951. [Google Scholar] [CrossRef]
- Pawlaczyk, M.; Pasieczna-Patkowska, S.; Schroeder, G. Photoacoustic Spectroscopy of Surface-Functionalized Fe3O4-SiO2 Nanoparticles. Appl. Spectr. 2020, 74, 712–719. [Google Scholar] [CrossRef]
- Smoluch, M.; Bartkowiak, G.; Reszke, E.; Lechowicz, W.; Silberring, J.; Schroeder, G. FAPA mass spectrometry of hydroxychalcones. Comparative studies with classical methods of ionization. Curr. Issues Pharm. Med. Sci. 2014, 27, 27–31. [Google Scholar] [CrossRef] [Green Version]
- Johnson, J.; Yardily, A. Chalconoid metal chelates: Spectral, biological and catalytic applications. J. Coord. Chem. 2019, 72, 2437–2488. [Google Scholar] [CrossRef]
- Omidi, S.; Kakanejadifard, A. A review on biological activities of Schiff base, hydrazone, and oxime derivatives of curcumin. RSC Adv. 2020, 10, 30186–30202. [Google Scholar] [CrossRef]















Publisher’s Note: MDPI stays neutral with regard to jurisdictional claims in published maps and institutional affiliations. |
© 2021 by the authors. Licensee MDPI, Basel, Switzerland. This article is an open access article distributed under the terms and conditions of the Creative Commons Attribution (CC BY) license (https://creativecommons.org/licenses/by/4.0/).
Share and Cite
Pawlaczyk, M.; Frański, R.; Cegłowski, M.; Schroeder, G. Mass Spectrometric Investigation of Organo-Functionalized Magnetic Nanoparticles Binding Properties toward Chalcones. Materials 2021, 14, 4705. https://doi.org/10.3390/ma14164705
Pawlaczyk M, Frański R, Cegłowski M, Schroeder G. Mass Spectrometric Investigation of Organo-Functionalized Magnetic Nanoparticles Binding Properties toward Chalcones. Materials. 2021; 14(16):4705. https://doi.org/10.3390/ma14164705
Chicago/Turabian StylePawlaczyk, Mateusz, Rafał Frański, Michał Cegłowski, and Grzegorz Schroeder. 2021. "Mass Spectrometric Investigation of Organo-Functionalized Magnetic Nanoparticles Binding Properties toward Chalcones" Materials 14, no. 16: 4705. https://doi.org/10.3390/ma14164705
APA StylePawlaczyk, M., Frański, R., Cegłowski, M., & Schroeder, G. (2021). Mass Spectrometric Investigation of Organo-Functionalized Magnetic Nanoparticles Binding Properties toward Chalcones. Materials, 14(16), 4705. https://doi.org/10.3390/ma14164705

