Characterization of Fatty Acids as Biobased Organic Materials for Latent Heat Storage
Abstract
1. Introduction
2. Materials and Methods
2.1. Materials
2.1.1. Selection of Biobased PCM
- phase change transition in the range of thermal comfort (21–25 °C),
- high density and a high phase change enthalpy for a large energy storage density
- high thermal conductivity and diffusivity to favor heat transfers
- low volume expansion to avoid damaging the system integrating the selected PCM
- fast kinetics of crystallization for a fast release of the stored heat
- low undercooling to decrease the risk of cooling the PCM without solidification
- cost/sustainability/hazard
2.1.2. Description of Selected Fatty Acids and Their Eutectic Mixtures
2.2. Measurement Methods
2.2.1. Melting Temperatures and Enthalpies
2.2.2. Densities
2.2.3. Specific Heat
2.2.4. Thermal Conductivities and Diffusivities
2.2.5. Viscosity Measurements
3. Results
3.1. Melting Temperatures and Enthalpies
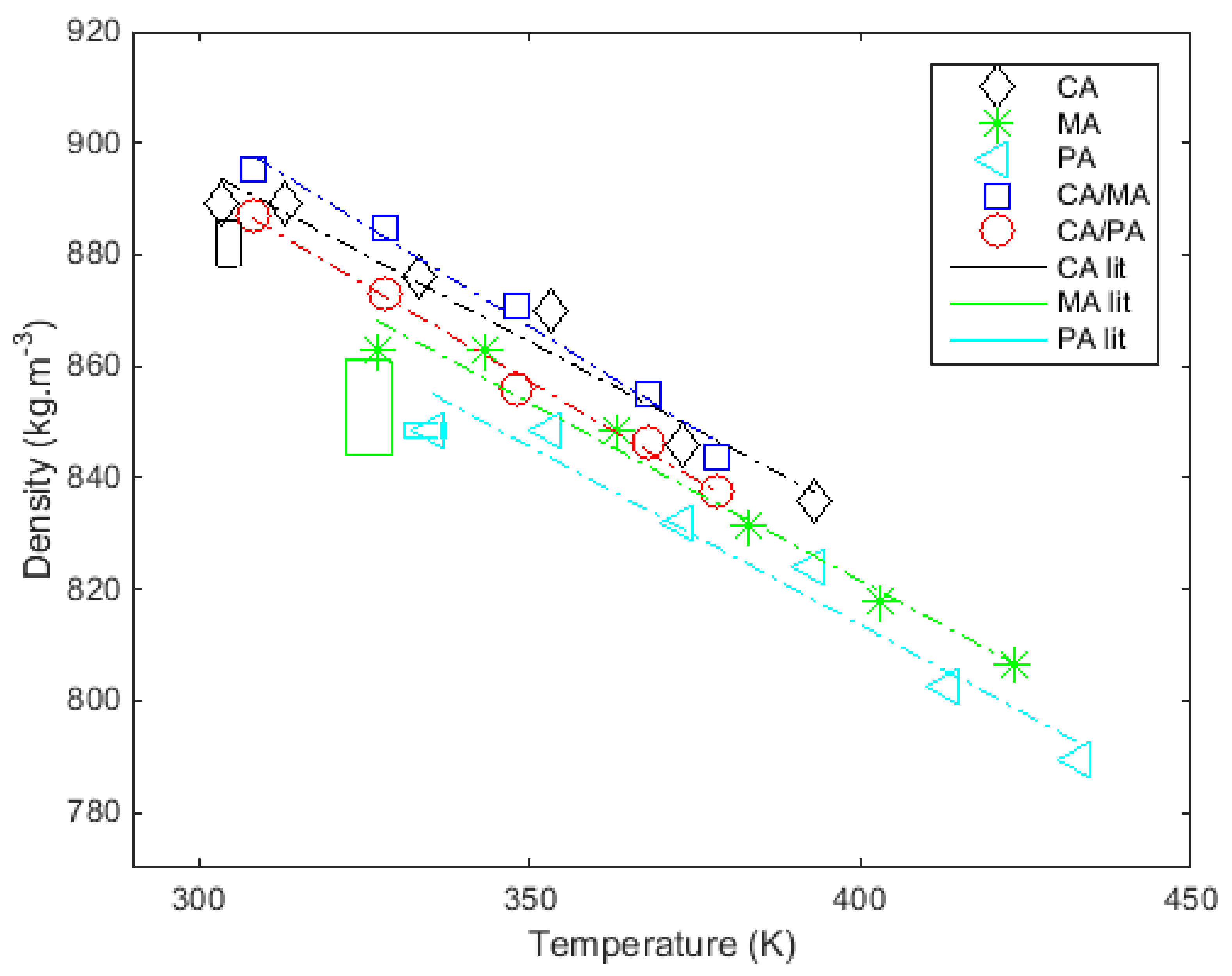
3.2. Densities
3.3. Specific Heat
3.4. Thermal Conductivities and Diffusivities
3.5. Viscosity Measurement
3.6. Energy Density
4. Discussion
- melting temperatures ranging from 297 K (24 °C) to 335 K (62 °C)
- melting enthalpies similar to those of paraffin, with values ranging from 137 J·g−1 to 212 J·g−1
- density both in solid state (942–1016 kg·m−3) and in liquid state (848–896 kg·m−3), slightly lower than those of sugar alcohols and hydrated salts but higher than those of paraffins
- specific heats ranging from 1.66 to 2.54 J·g−1·K−1 in solid state, and from 2.12 to 2.40 J·g−1·K−1 in liquid state, values comparable to those of paraffin waxes
- relatively low thermal conductivities (~0.3 W·m−1·K−1) but slightly higher than those of paraffin
- low values of thermal diffusivities and heat capacities, as with paraffin waxes and other organic PCM
- very low viscosities (ranging from 2 to 9 mPa·s) compared to those of paraffin waxes
- energy densities (ranging from 34.15 kWh·m−3 to 49.93 kWh·m−3) similar to those of paraffin waxes commonly used in storage systems.
5. Conclusions
Author Contributions
Funding
Institutional Review Board Statement
Informed Consent Statement
Data Availability Statement
Acknowledgments
Conflicts of Interest
References
- Abhat, A. Low temperature latent heat thermal energy storage: Heat storage materials. Sol. Energy 1983, 30, 313–332. [Google Scholar] [CrossRef]
- Zalba, B.; Marin, J.M.; Cabeza, L.F.; Mehling, H. Review on thermal energy storage with phase change: Materials, heat transfer analysis and applications. Appl. Therm. Eng. 2003, 23, 251–283. [Google Scholar] [CrossRef]
- Kenisarin, M.; Mahkamov, K. Solar energy storage using phase change materials. Renew. Sustain. Energy Rev. 2007, 11, 1913–1965. [Google Scholar] [CrossRef]
- Sharma, A.; Tyagi, V.V.; Chen, C.R.; Buddhi, D. Review on thermal energy storage with phase change materials and applications. Renew. Sustain. Energy Rev. 2009, 13, 318–345. [Google Scholar] [CrossRef]
- Rouault, F.; Bruneau, D.; Sebastian, P.; Lopez, J. Multiobjective optimization of an air-phase change material heat exchanger for free cooling in a single-family house. J. Energy Storage 2020, 32, 101944. [Google Scholar] [CrossRef]
- Diallo, T.M.; Zhao, X.; Dugue, A.; Bonnamy, P.; Miguel, F.J.; Martinez, A.; Theodosiou, T.; Liu, J.-S.; Brown, N. Numerical investigation of the energy performance of an Opaque Ventilated Façade system employing a smart modular heat recovery unit and a latent heat thermal energy system. Appl. Energy 2017, 205, 130–152. [Google Scholar] [CrossRef]
- Rosario, M.D.L.; Ángeles, O.D.; Austin, M.C.; Bruneau, D.; Nadeau, J.-P.; Sébastian, P.; Jaupard, D. Operation assessment of an air-PCM unit for summer thermal comfort in a naturally ventilated building. Arch. Sci. Rev. 2021, 64, 37–46. [Google Scholar] [CrossRef]
- Sarier, N.; Onder, E. Organic phase change materials and their textile applications: An overview. Thermochim. Acta 2012, 540, 7–60. [Google Scholar] [CrossRef]
- Jankowski, N.; McCluskey, F.P. A review of phase change materials for vehicle component thermal buffering. Appl. Energy 2014, 113, 1525–1561. [Google Scholar] [CrossRef]
- Kenisarin, M.M. Thermophysical properties of some organic phase change materials for latent heat storage. A review. Sol. Energy 2014, 107, 553–575. [Google Scholar] [CrossRef]
- Pielichowska, K.; Pielichowski, K. Phase change materials for thermal energy storage. Prog. Mater. Sci. 2014, 65, 67–123. [Google Scholar] [CrossRef]
- Kenisarin, M.; Mahkamov, K. Salt hydrates as latent heat storage materials: Thermophysical properties and costs. Sol. Energy Mater. Sol. Cells 2016, 145, 255–286. [Google Scholar] [CrossRef]
- Sharma, R.K.; Ganesan, P.; Tyagi, V.V.; Metselaar, H.S.C.; Sandaran, S.C. Developments in organic solid–liquid phase change materials and their applications in thermal energy storage. Energy Convers. Manag. 2015, 95, 193–228. [Google Scholar] [CrossRef]
- Biswas, K.; Abhari, R. Low-cost phase change material as an energy storage medium in building envelopes: Experimental and numerical analyses. Energy Convers. Manag. 2014, 88, 1020–1031. [Google Scholar] [CrossRef]
- Zhang, Y.; Zhou, G.; Lin, K.; Zhang, Q.; Di, H. Application of latent heat thermal energy storage in buildings: State-of-the-art and outlook. Build. Environ. 2007, 42, 2197–2209. [Google Scholar] [CrossRef]
- Wang, M.; Wolfe, E., IV; Craig, T.; LaClair, T.J.; Gao, Z.; Abdelaziz, O. Design and testing of a thermal storage system for electric vehicle cabin heating. In Proceedings of the 2016 SAE World Congress, Detroit, MI, USA, 12–14 April 2016. [Google Scholar]
- Rismanchi, B.; Saidur, R.; Masjuki, H.; Mahlia, T. Cost-benefit analysis of using cold thermal energy storage systems in building applications. Energy Procedia 2012, 14, 493–498. [Google Scholar] [CrossRef][Green Version]
- Chiu, J.N.; Martin, V.; Setterwall, F. A Review of thermal energy storage systems with salt hydrate phase change materials for comfort cooling. In Proceedings of the 11th International Conference on Thermal Energy Storage, Stockholm, Sweden, 14–17 June 2009. [Google Scholar]
- Liu, Y.; Yang, Y. Preparation and thermal properties of Na2CO3·10H2O-Na2HPO4·12H2O eutectic hydrate salt as a novel phase change material for energy storage. Appl. Therm. Eng. 2017, 112, 606–609. [Google Scholar] [CrossRef]
- Memon, S.; Sajid, M.B.; Malik, M.S.; Alquaity, A.B.S.; Rehman, M.M.U.; Cheema, T.A.; Kwak, M.K.; Park, C.W. Investigation of the thermal performance of salt hydrate phase change of nanoparticle slurry flow in a microchannel. J. Chem. 2019, 2019, 5271923. [Google Scholar] [CrossRef]
- De Gracia, A.; Cabeza, L.F. Phase change materials and thermal energy storage for buildings. Energy Build. 2015, 103, 414–419. [Google Scholar] [CrossRef]
- Duquesne, M.; Mailhe, C.; Ruiz-Onofre, K.; Achchaq, F. Biosourced organic materials for latent heat storage: An economic and eco-friendly alternative. Energy 2019, 188, 116067. [Google Scholar] [CrossRef]
- Souayfane, F.; Fardoun, F.; Biwole, P. Phase change materials (PCM) for cooling applications in buildings: A review. Energy Build. 2016, 129, 396–431. [Google Scholar] [CrossRef]
- Feldman, D.; Khan, M.; Banu, D. Energy storage composite with an organic PCM. Sol. Energy Mater. 1989, 18, 333–341. [Google Scholar] [CrossRef]
- Bailey, A.E. Melting and Solidification of Fats; Interscience Publishers: Hoboken, NJ, USA, 1950. [Google Scholar]
- Zhang, Z.; Yuan, Y.; Zhang, N.; Cao, X. Thermophysical properties of some fatty acids/surfactants as phase change slurries for thermal energy storage. J. Chem. Eng. Data 2015, 60, 2495–2501. [Google Scholar] [CrossRef]
- Yuan, Y.; Zhang, N.; Tao, W.; Cao, X.; He, Y. Fatty acids as phase change materials: A review. Renew. Sustain. Energy Rev. 2014, 29, 482–498. [Google Scholar] [CrossRef]
- Kahwaji, S.; Johnson, M.B.; Kheirabadi, A.C.; Groulx, D.; White, M.A. Fatty acids and related phase change materials for reliable thermal energy storage at moderate temperatures. Sol. Energy Mater. Sol. Cells 2017, 167, 109–120. [Google Scholar] [CrossRef]
- Kosny, J.; Kossecka, E.; Brzezinski, A.; Tleoubaev, A.; Yarbrough, D. Dynamic thermal performance analysis of fiber insulations containing bio-based phase change materials (PCMs). Energy Build. 2012, 52, 122–131. [Google Scholar] [CrossRef]
- Jeong, S.-G.; Chung, O.; Yu, S.; Kim, S.; Kim, S. Improvement of the thermal properties of Bio-based PCM using exfoliated graphite nanoplatelets. Sol. Energy Mater. Sol. Cells 2013, 117, 87–92. [Google Scholar] [CrossRef]
- Jeong, S.-G.; Lee, J.-H.; Seo, J.; Kim, S. Thermal performance evaluation of Bio-based shape stabilized PCM with boron nitride for energy saving. Int. J. Heat Mass Transf. 2014, 71, 245–250. [Google Scholar] [CrossRef]
- Rubitherm GmbH. Available online: https://www.rubitherm.eu/ (accessed on 25 May 2020).
- PureTemp—Global Authority on Phase Change Material. Available online: https://www.puretemp.com/ (accessed on 26 October 2020).
- Khodadadi, J.; Fan, L.; Babaei, H. Thermal conductivity enhancement of nanostructure-based colloidal suspensions utilized as phase change materials for thermal energy storage: A review. Renew. Sustain. Energy Rev. 2013, 24, 418–444. [Google Scholar] [CrossRef]
- Khadiran, T.; Hussein, M.Z.; Zainal, Z.; Rusli, R. Encapsulation techniques for organic phase change materials as thermal energy storage medium: A review. Sol. Energy Mater. Sol. Cells 2015, 143, 78–98. [Google Scholar] [CrossRef]
- Del Barrio, E.P.; Cadoret, R.; Daranlot, J.; Achchaq, F. New sugar alcohols mixtures for long-term thermal energy storage applications at temperatures between 70 °C and 100 °C. Sol. Energy Mater. Sol. Cells 2016, 155, 454–468. [Google Scholar] [CrossRef]
- Oleoline. Available online: https://www.oleoline.com/ (accessed on 25 May 2020).
- Sarı, A. Eutectic mixtures of some fatty acids for low temperature solar heating applications: Thermal properties and thermal reliability. Appl. Therm. Eng. 2005, 25, 2100–2107. [Google Scholar] [CrossRef]
- Sari, A.; Karaipekli, A.; Kaygusuz, K. Capric acid and myristic acid for latent heat thermal energy storage. Energy Sources A Recover. Util. Environ. Eff. 2008, 30, 1498–1507. [Google Scholar] [CrossRef]
- Sarı, A.; Karaipekli, A. Preparation and thermal properties of capric acid/palmitic acid eutectic mixture as a phase change energy storage material. Mater. Lett. 2008, 62, 903–906. [Google Scholar] [CrossRef]
- Mailhé, C.; Duquesne, M.; Mahroug, I.; del Barrio, E.P. Improved infrared thermography method for fast estimation of complex phase diagrams. Thermochim. Acta 2019, 675, 84–91. [Google Scholar] [CrossRef]
- Boettinger, W.J.; Kattner, U.R.; Moon, K.-W.; Perepezko, J. NIST recommended practice guide: DTA and heat-flux DSC measurements of alloy melting and freezing. In Methods for Phase Diagram Determination; Elsevier: Kidlington, UK, 2006. [Google Scholar]
- Gustafsson, S.E. Transient plane source techniques for thermal conductivity and thermal diffusivity measurements of solid materials. Rev. Sci. Instrum. 1991, 62, 797–804. [Google Scholar] [CrossRef]
- Lane, D.G.A. Low temperature heat storage with phase change materials. Int. J. Ambient. Energy 1980, 1, 155–168. [Google Scholar] [CrossRef]
- Sarı, A.; Kaygusuz, K. Thermal performance of myristic acid as a phase change material for energy storage application. Renew. Energy 2001, 24, 303–317. [Google Scholar] [CrossRef]
- Dimaano, M.N.R.; Watanabe, T. Performance investigation of the capric and lauric acid mixture as latent heat energy storage for a cooling system. Sol. Energy 2002, 72, 205–215. [Google Scholar] [CrossRef]
- Moreno-Calvo, E.; Cordobilla, R.; Calvet, T.; Cuevas-Diarte, M.A.; Gbabode, G.; Negrier, P.; Mondieig, D.; Oonk, H.A.J. Polymorphism of even saturated carboxylic acids from n-decanoic to n-eicosanoic acid. New J. Chem. 2007, 31, 947–957. [Google Scholar] [CrossRef]
- Kauranen, P.; Peippo, K.; Lund, P. An organic PCM storage system with adjustable melting temperature. Sol. Energy 1991, 46, 275–278. [Google Scholar] [CrossRef]
- Yan, Q. The thermal properties of shape-stabilized fatty acid mixtures used for wallboard. Int. J. Sustain. Energy 2011, 30, 47–54. [Google Scholar] [CrossRef]
- Yinping, Z.; Yi, J. A simple method, the -history method, of determining the heat of fusion, specific heat and thermal conductivity of phase-change materials. Meas. Sci. Technol. 1999, 10, 201–205. [Google Scholar] [CrossRef]
- Peippo, K.; Kauranen, P.; Lund, P.D. A multicomponent PCM wall optimized for passive solar heating. Energy Build. 1991, 17, 259–270. [Google Scholar] [CrossRef]
- Sarı, A.; Kaygusuz, K. Some fatty acids used for latent heat storage: Thermal stability and corrosion of metals with respect to thermal cycling. Renew. Energy 2003, 28, 939–948. [Google Scholar] [CrossRef]
- Feldman, D.; Shapiro, M.; Banu, D.; Fuks, C. Fatty acids and their mixtures as phase-change materials for thermal energy storage. Sol. Energy Mater. 1989, 18, 201–216. [Google Scholar] [CrossRef]
- Keleş, S.; Kaygusuz, K.; Sarı, A. Lauric and myristic acids eutectic mixture as phase change material for low-temperature heating applications. Int. J. Energy Res. 2005, 29, 857–870. [Google Scholar] [CrossRef]
- Sarı, A. Thermal characteristics of a eutectic mixture of myristic and palmitic acids as phase change material for heating applications. Appl. Therm. Eng. 2003, 23, 1005–1017. [Google Scholar] [CrossRef]
- Kaygusuz, K.; Sari, A. Thermal energy storage performance of fatty acids as a phase change material. Energy Sources A Recover. Util. Environ. Eff. 2006, 28, 105–116. [Google Scholar] [CrossRef]
- Hasan, A.; Sayigh, A. Some fatty acids as phase-change thermal energy storage materials. Renew. Energy 1994, 4, 69–76. [Google Scholar] [CrossRef]
- Ke, H. Phase diagrams, eutectic mass ratios and thermal energy storage properties of multiple fatty acid eutectics as novel solid-liquid phase change materials for storage and retrieval of thermal energy. Appl. Therm. Eng. 2017, 113, 1319–1331. [Google Scholar] [CrossRef]
- Sharma, A.; Won, L.D.; Buddhi, D.; Park, J.U. Numerical heat transfer studies of the fatty acids for different heat exchanger materials on the performance of a latent heat storage system. Renew. Energy 2005, 30, 2179–2187. [Google Scholar] [CrossRef]
- Wu, S.; Fang, G. Dynamic performances of solar heat storage system with packed bed using myristic acid as phase change material. Energy Build. 2011, 43, 1091–1096. [Google Scholar] [CrossRef]
- Frede, E.; Precht, D. Crystal structures of binary systems of saturated fatty acids. J. Am. Oil Chem. Soc. 1976, 53, 668–670. [Google Scholar] [CrossRef]
- Noureddini, H.; Teoh, B.C.; Clements, L.D. Viscosities of vegetable oils and fatty acids. J. Am. Oil Chem. Soc. 1992, 69, 1189–1191. [Google Scholar] [CrossRef]





| Selection Criteria | Paraffins RT21, 25, 26, PureTemp 25 | Selected Fatty Acids |
|---|---|---|
| Toxicity | yes | no |
| Flammability | no | no |
| Chemical Reactivity | no | no |
| Biobased PCM | no | yes |
| Purity * | – | ≥98% |
| Melting temperature (°C) | from 19 to 30 | from 24 to 62 |
| Undercooling | yes | low |
| Enthalpy (J·g−1) | from 150 to 230 | from 137 to 212 |
| Energy storage density (kWh·m−3) | 35–55 | 35–54 |
| Price (€/kg) | ~5 | ~3 |
| Fatty Acid | Acronym | CAS Number | Formula | Supplier | Purity * (%) |
|---|---|---|---|---|---|
| Capric acid (Decanoic acid) | CA | 334-48-5 | C10H20O2 | Alfa Aesar | 99 |
| Myristic acid (Tetradecanoic acid) | MA | 544-63-8 | C14H28O2 | Acros Organics | 99 |
| Palmitic acid (Hexadecanoic acid) | PA | 57-10-3 | C16H32O2 | Acros Organics | 99 |
| Binary System | Acronym | Molar Composition (%) | Solidification Temperature (°C) | Melting Temperature (°C) |
|---|---|---|---|---|
| Capric acid–myristic acid | CA/MA | 83–17 | 21.36 | 24.14 |
| Capric acid–palmitic acid | CA/PA | 88–12 | 24.58 | 26.10 |
| Materials | This Work | Previous Works | |||
|---|---|---|---|---|---|
| (°C) DSC | (K) DSC | (J·g−1) DSC | (K) Literature | (J·g−1) Literature | |
| CA | 30.41 | 303.41 | 167.97 | 302.77–306.30 [25,26,28,40,44,46,47,48,49,50,51,53,57,58] | 139.77–168.77 [25,26,28,40,44,46,47,48,49,50,51,53,57,58] |
| MA | 53.98 | 326.98 | 195.44 | 322.15–329.21 [25,26,28,38,44,45,47,48,49,50,51,52,53,54,55,56,57,58] | 178.14–210.70 [25,26,28,38,44,45,47,48,49,50,51,52,53,54,55,56,57,58] |
| PA | 62.35 | 335.35 | 211.85 | 331.24–337.15 [25,26,28,38,40,44,47,48,49,50,51,52,53,55,56,57,58] | 185.40–233.24 [25,26,28,38,40,44,47,48,49,50,51,52,53,55,56,57,58] |
| CA/MA | 24.29 | 297.29 | 137.3 | 293.23–299.17 [26,48,49,51,58] | 147.70–155.20 [26,48,49,51,58] |
| CA/PA | 26.25 | 299.25 | 148.14 | 295.25–301.86 [26,40,48,49,51,58] | 141.40–153.00 [26,40,48,49,51,58] |
| Materials | (kg·m−3·K−1) | (kg·m−3) | (kg·m−3) | Temperature Range (K) | |
|---|---|---|---|---|---|
| CA | −0.6835 ± 0.2287 | 918.06 ± 19.403 | 0.9679 | 4.5444 | [313; 393] |
| MA | −0.7148 ± 0.0873 | 912.02 ± 9.910 | 0.9956 | 1.7340 | [343; 423] |
| PA | −0.7349 ± 0.1614 | 907.54 ± 19.894 | 0.9859 | 3.2068 | [353; 433] |
| CA/MA | −0.7313 ± 0.1562 | 923.33 ± 12.083 | 0.9867 | 2.8107 | [308; 378] |
| CA/PA | −0.6981 ± 0.1104 | 910.91 ± 8.5375 | 0.9927 | 1.9860 | [308; 378] |
| Materials | This Work | Previous Works | ||||
|---|---|---|---|---|---|---|
| (K) | (kg·m−3) | (kg·m−3) | (%) | (kg·m−3) | (kg·m−3) | |
| CA | 303.41 | 1016.1 ± 3.7 | 889.0 ± 19.8 | 14.3 ± 2.6 | 850–1004 [28,44,59] | 878–886 [28,44,59] |
| MA | 326.98 | 1000.2 ± 0.9 | 862.8 ± 18.6 | 15.9 ± 2.5 | 860–990 [28,38,44,45,52,59,60] | 844–861 [28,38,44,45,52,59,60] |
| PA | 335.35 | 989.6 ± 1.7 | 848.4 ± 18.0 | 16.6 ± 2.5 | 900–989 [28,38,44,52,59] | 847–850 [28,38,44,52,59] |
| CA/MA | 297.29 | 942.8 ± 4.4 | 895.3 ± 20.0 | 5.3 ± 2.4 | – | – |
| CA/PA | 299.25 | 989.2 ± 1.6 | 887 ± 19.7 | 11.5 ± 2.5 | – | – |
| Materials | × 105 (J·g−1·K−4) | (J·g−1·K−3) | (J·g−1·K−2) | (J·g−1·K−1) | (J·g−1·K−1) | Temperature Range (K) | |
|---|---|---|---|---|---|---|---|
| CA | 3.6535 ± 6.9456 | −0.0310 ± 0.0597 | 8.7941 ± 17.1184 | −830.51 ± 1635.1 | 0.9871 | 0.0140 | [278; 296] |
| MA | 0.7738 ± 0.1805 | −0.0066 ± 0.0016 | 1.8873 ± 0.4805 | −179.18 ± 47.657 | 0.9991 | 0.0068 | [278; 318] |
| PA | 0.8506 ± 0.1354 | −0.0074 ± 0.0012 | 2.1770 ± 0.3727 | −211.51 ± 37.566 | 0.9981 | 0.0112 | [278; 328] |
| CA/MA | 22.996 ± 8.9840 | −0.1940 ± 0.0761 | 54.563 ± 21.509 | −5114.5 ± 2025.0 | 0.9915 | 0.0110 | [278; 291] |
| CA/PA | 22.856 ± 4.8510 | −0.1932 ± 0.0412 | 54.445 ± 11.661 | −5113.0 ± 1100.0 | 0.9949 | 0.0077 | [278; 290] |
| Materials | This Work | Previous Works | |||
|---|---|---|---|---|---|
| (K) | (J·g−1·K−1) | (J·g−1·K−1) | (J·g−1·K−1) | (J·g−1·K−1) | |
| CA | 303.41 | 1.88–2.30 ± 0.05 | 2.14 ± 0.04 | 2.09–2.10 [59] | 1.90–3.00 [59] |
| MA | 326.98 | 1.72–2.46 ± 0.03 | 2.36 ± 0.02 | 2.16–2.40 [59,60] | 1.70–2.18 [59,60] |
| PA | 335.35 | 1.66–2.54 ± 0.02 | 2.39 ± 0.02 | 2.27–2.8 [59] | 1.90–2.06 [59] |
| CA/MA | 297.29 | 1.83–2.05 ± 0.08 | 2.40 ± 0.05 | – | – |
| CA/PA | 299.25 | 1.85–2.05 ± 0.07 | 2.12 ± 0.05 | – | – |
| Materials | This Work | Previous Work | ||
|---|---|---|---|---|
| (W·m−1·K−1) | × 107 (m2·s−1) | (W·m−1·K−1) | (m2·s−1) × 107 | |
| CA | 0.2195 ± 0.0067 | 1.364 ± 0.043 | 0.21 [59] | 1.2 [59] |
| MA | 0.2524 ± 0.0031 | 2.064 ± 0.146 | 0.17–0.39 [59,60] | 2 [59,60] |
| PA | 0.2526 ± 0.0106 | 1.870 ± 0.053 | 0.3 [59] | 1.7 [59] |
| CA/MA | 0.2717 ± 0.0103 | 1.480 ± 0.072 | – | – |
| CA/PA | 0.2358 ± 0.1151 | 1.151 ± 0.133 | – | – |
| CA | MA | PA | CA/MA | CA/PA | |||||
|---|---|---|---|---|---|---|---|---|---|
| (°C) | (mPa·s) | (°C) | (mPa·s) | (°C) | (mPa·s) | (°C) | (mPa·s) | (°C) | (mPa·s) |
| 40 | 4.91 ± 0.04 | 60 | 5.67 ± 0.02 | 70 | 6.25 ± 0.01 | 30 | 8.21 ± 0.02 | 35 | 7.08 ± 0.01 |
| 45 | 4.36 ± 0.01 | 65 | 5.06 ± 0.01 | 75 | 5.53 ± 0.12 | 35 | 7.11 ± 0.03 | 40 | 6.19 ± 0.01 |
| 50 | 3.90 ± 0.02 | 70 | 4.55 ± 0.02 | 80 | 5.00 ± 0.04 | 40 | 6.19 ± 0.02 | 45 | 5.44 ± 0.02 |
| 55 | 3.50 ± 0.02 | 75 | 4.11 ± 0.02 | 85 | 4.54 ± 0.04 | 45 | 5.45 ± 0.03 | 50 | 4.81 ± 0.03 |
| 60 | 3.17 ± 0.02 | 80 | 3.73 ± 0.01 | 90 | 4.15 ± 0.02 | 50 | 4.84 ± 0.02 | 55 | 4.30 ± 0.03 |
| 65 | 2.88 ± 0.02 | 85 | 3.41 ± 0.01 | 95 | 3.79 ± 0.01 | 55 | 4.30 ± 0.03 | 60 | 3.86 ± 0.02 |
| 70 | 2.63 ± 0.02 | 90 | 3.13 ± 0.02 | 100 | 3.47 ± 0.02 | 60 | 3.87 ± 0.02 | 65 | 3.49 ± 0.02 |
| 75 | 2.41 ± 0.02 | 95 | 2.87 ± 0.02 | 105 | 3.19 ± 0.02 | 65 | 3.49 ± 0.03 | 70 | 3.16 ± 0.03 |
| – | – | – | – | – | – | 70 | 3.16 ± 0.03 | – | – |
| Materials | × 10−6 (Pa·s) | (K) | × 109 (Pa·s) | Temperature Range (K) | |
|---|---|---|---|---|---|
| CA | 3.8674 ± 0.6950 | 2236.5 ± 57.6 | 0.99955 | 0.32376 | [313; 348] |
| MA | 4.1726 ± 0.7215 | 2401.7 ± 59.7 | 0.99941 | 0.56511 | [333; 368] |
| PA | 4.3810 ± 1.1159 | 2488.8 ± 90.5 | 0.9991 | 1.4171 | [343; 378] |
| CA/MA | 2.0070 ± 0.4128 | 2518.8 ± 65.7 | 0.99919 | 2.3031 | [303; 343] |
| CA/PA | 2.3638 ± 0.4695 | 2464.9 ± 64.6 | 0.99931 | 1.2000 | [308; 343] |
| Materials | (kWh·m−3) |
|---|---|
| CA | 41.48 ± 2.27 |
| MA | 46.84 ± 2.55 |
| PA | 49.93 ± 2.71 |
| CA/MA | 34.15 ± 1.87 |
| CA/PA | 36.50 ± 2.00 |
| Materials | (K) | (J·g−1) | (kg·m−3) | (J·g−1·K−1) | (W·m−1·K−1) | (kWh·m−3) | ||
|---|---|---|---|---|---|---|---|---|
| Sol. (Tamb) | Liq. (Tm) | Sol. | Liq. | Sol. | ||||
| CA/MA | 297.29 | 137.3 | 942.8 | 895.3 | 1.83–2.05 | 2.40 | 0.2717 | 34.15 |
| CA/PA | 299.25 | 148.14 | 989.2 | 887 | 1.85–2.05 | 2.12 | 0.2358 | 36.50 |
| CaCl2-6H2O [44] | 302.75 | 191 | 1802 | 1562 | 1.42 | 2.10 | 1.088 | 82.87 |
| PureTemp 25 [33] | 298.15 | 187 | 950 | 860 | 1.99 | 2.29 | – | 44.67 |
Publisher’s Note: MDPI stays neutral with regard to jurisdictional claims in published maps and institutional affiliations. |
© 2021 by the authors. Licensee MDPI, Basel, Switzerland. This article is an open access article distributed under the terms and conditions of the Creative Commons Attribution (CC BY) license (https://creativecommons.org/licenses/by/4.0/).
Share and Cite
Duquesne, M.; Mailhé, C.; Doppiu, S.; Dauvergne, J.-L.; Santos-Moreno, S.; Godin, A.; Fleury, G.; Rouault, F.; Palomo del Barrio, E. Characterization of Fatty Acids as Biobased Organic Materials for Latent Heat Storage. Materials 2021, 14, 4707. https://doi.org/10.3390/ma14164707
Duquesne M, Mailhé C, Doppiu S, Dauvergne J-L, Santos-Moreno S, Godin A, Fleury G, Rouault F, Palomo del Barrio E. Characterization of Fatty Acids as Biobased Organic Materials for Latent Heat Storage. Materials. 2021; 14(16):4707. https://doi.org/10.3390/ma14164707
Chicago/Turabian StyleDuquesne, Marie, Clément Mailhé, Stefania Doppiu, Jean-Luc Dauvergne, Sergio Santos-Moreno, Alexandre Godin, Guillaume Fleury, Fabien Rouault, and Elena Palomo del Barrio. 2021. "Characterization of Fatty Acids as Biobased Organic Materials for Latent Heat Storage" Materials 14, no. 16: 4707. https://doi.org/10.3390/ma14164707
APA StyleDuquesne, M., Mailhé, C., Doppiu, S., Dauvergne, J.-L., Santos-Moreno, S., Godin, A., Fleury, G., Rouault, F., & Palomo del Barrio, E. (2021). Characterization of Fatty Acids as Biobased Organic Materials for Latent Heat Storage. Materials, 14(16), 4707. https://doi.org/10.3390/ma14164707

