Shoulder Related Temperature Thresholds in FSSW of Aluminium Alloys
Abstract
:1. Introduction
| FSSW | FSW | ||
|---|---|---|---|
| Author | Base Material | Author | Base Material |
| AA7075 |
| AA6063 |
| AA2024 |
| AA5083, AA6082 |
| AA6111 |
| AA7050 |
| Pure Al |
| 7050 |
| AA6082 |
| AA6019 |
| AA5052, AA6061 |
| AA7075 |
| AA7050 |
| AA2524 |
| AA6061 |
| AA6056 |
| AA5052 |
| AA2014 |
| AA7B04 |
| AA 6061 |
| AA2024-T3, AA6082-T6, AA7449-T3 |
| AA5052 |
| AA2024, AA7075 |
| AA7075 |
| - | - |
| AA2019 |
| - | - |
| AA7020, AA6060 |
| - | - |
| AA5754 |
| - | - |
| AA6061 |
| - | - |
| AA6082 |
2. Experimental Procedure
3. Results and Discussion
3.1. Temperature Evolution during the Welding Process
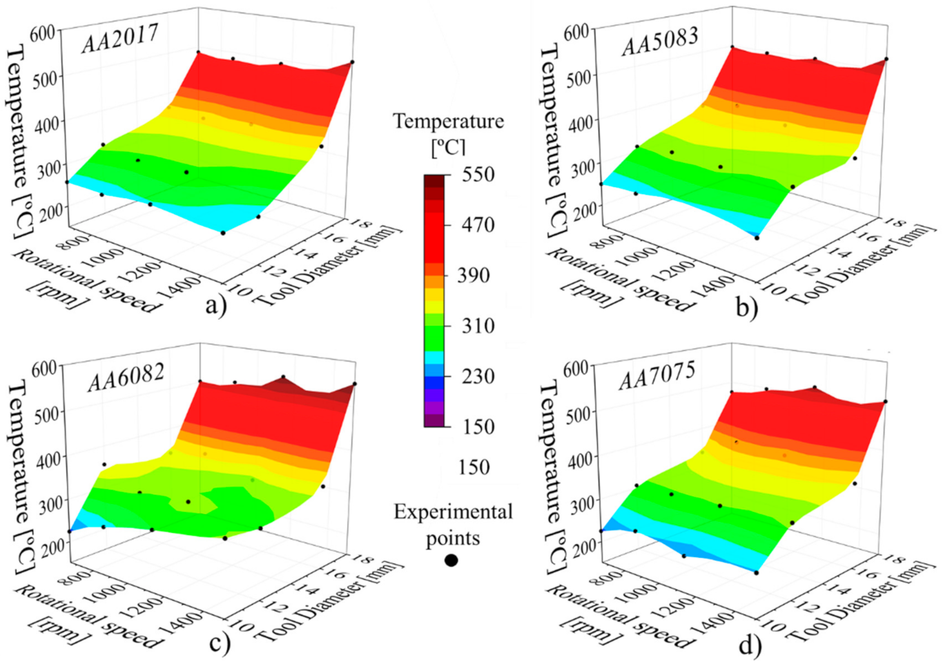
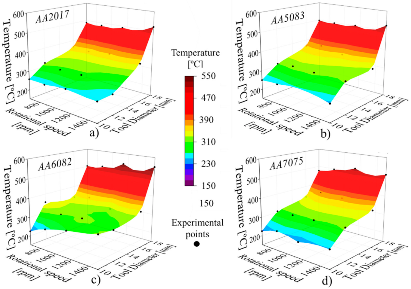
3.2. Temperature Evolution with Process Parameters
3.3. Torque Evolution with Process Parameters
3.4. Modelling Temperature
4. Conclusions
- For rotational speeds higher than 600 rpm, the welding thermal cycles may be fully controlled by an appropriate selection of the tool diameter. For each tool diameter, a threshold in the welding temperatures is reached, independent of the rotational speed, tool material and/or aluminium alloy being welded.
- The shoulder related temperature threshold is attained for temperatures far below the melting temperature of the alloy being welded and increase with the increase of the tool diameter. Increasing the tool diameter from 10 to 18 mm resulted in an increase of the welding temperature of around 250 °C. The temperature evolution with the process parameters was found to be similar among the different aluminium alloys.
- The tool torque was found to decrease with the increase of the rotational speed and with the decrease of the tool diameter. For the 10 and 18 mm tool diameters, increasing the rotational speed from 660 to 1500 rpm, resulted in a decrease in torque of around 7 and 20 Nm, respectively. On the other hand, a linear relation was observed between the welding power and the temperature for all the aluminium alloys ().
- An analytical coefficient, CT,SW, was determined for calculating the temperature from process parameters, which provide accurate temperature predictions for the very large range of welding conditions and base materials tested. The model constants were found to be similar among the different aluminium alloys (.
Author Contributions
Funding
Institutional Review Board Statement
Informed Consent Statement
Data Availability Statement
Conflicts of Interest
References
- Shen, Z.; Ding, Y.; Gerlich, A.P. Advances in friction stir spot welding. Crit. Rev. Solid State Mater. Sci. 2020, 45, 457–534. [Google Scholar] [CrossRef]
- Rai, R.; De, A.; Bhadeshia, H.K.D.H.; Debroy, T. Review: Friction stir welding tools. Sci. Technol. Weld. Join. 2011, 16, 325–342. [Google Scholar] [CrossRef]
- Janeczek, A.; Tomków, J.; Fydrych, D. The Influence of Tool Shape and Process Parameters on the Mechanical Properties of AW-3004 Aluminium Alloy Friction Stir Welded Joints. Materials 2021, 14, 3244. [Google Scholar] [CrossRef]
- Andrade, D.; Leitão, C.; Dialami, N.; Chiumenti, M.; Rodrigues, D. Modelling torque and temperature in friction stir welding of aluminium alloys. Int. J. Mech. Sci. 2020, 182, 105725. [Google Scholar] [CrossRef]
- Andrade, D.; Leitão, C.; Dialami, N.; Chiumenti, M.; Rodrigues, D. Analysis of contact conditions and its influence on strain rate and temperature in friction stir welding. Int. J. Mech. Sci. 2021, 191, 106095. [Google Scholar] [CrossRef]
- Sato, Y.S.; Urata, M.; Kokawa, H. Parameters controlling microstructure and hardness during friction-stir welding of precipitation-hardenable aluminum alloy 6063. Met. Mater. Trans. A 2002, 33, 625–635. [Google Scholar] [CrossRef]
- Gerlich, A.; Avramovic-Cingara, G.; North, T.H. Stir zone microstructure and strain rate during Al 7075-T6 friction stir spot welding. Met. Mater. Trans. A 2006, 37, 2773–2786. [Google Scholar] [CrossRef]
- Gerlich, A.; Su, P.; Yamamoto, M.; North, T.H. Effect of welding parameters on the strain rate and microstructure of friction stir spot welded 2024 aluminum alloy. J. Mater. Sci. 2007, 42, 5589–5601. [Google Scholar] [CrossRef]
- Upadhyay, P.; Reynolds, A. Effects of thermal boundary conditions in friction stir welded AA7050-T7 sheets. Mater. Sci. Eng. A 2010, 527, 1537–1543. [Google Scholar] [CrossRef]
- Rabby, R.-E.-; Reynolds, A.P. Effect of Tool Pin Thread Forms on Friction Stir Weldability of Different Aluminum Alloys. Procedia Eng. 2014, 90, 637–642. [Google Scholar] [CrossRef]
- Mehta, M.; Arora, A.; De, A.; Debroy, T. Tool Geometry for Friction Stir Welding—Optimum Shoulder Diameter. Met. Mater. Trans. A 2011, 42, 2716–2722. [Google Scholar] [CrossRef]
- Su, Z.-M.; Qiu, Q.-H.; Lin, P.-C. Design of Friction Stir Spot Welding Tools by Using a Novel Thermal-Mechanical Approach. Materials 2016, 9, 677. [Google Scholar] [CrossRef] [PubMed] [Green Version]
- Shibayanagi, T.; Mizushima, K.; Yoshikawa, S.; Ikeuchi, K. Friction stir spot welding of pure aluminum sheet in view of high temperature deformation. Trans. JWRI 2011, 40, 1–5. [Google Scholar]
- Buffa, G.; Fanelli, P.; Fratini, L.; Vivio, F. Influence of Joint Geometry on Micro and Macro Mechanical Properties of Friction Stir Spot Welded Joints. Procedia Eng. 2014, 81, 2086–2091. [Google Scholar] [CrossRef]
- Lin, Y.-C.; Chen, J.-N. Influence of process parameters on friction stir spot welded aluminum joints by various threaded tools. J. Mater. Process. Technol. 2015, 225, 347–356. [Google Scholar] [CrossRef]
- D’Urso, G.; Giardini, C. Thermo-Mechanical Characterization of Friction Stir Spot Welded AA7050 Sheets by Means of Experimental and FEM Analyses. Materials 2016, 9, 689. [Google Scholar] [CrossRef] [Green Version]
- Rana, P.K.; Narayanan, R.G.; Kailas, S.V. Effect of rotational speed on friction stir spot welding of AA5052-H32/HDPE/AA5052-H32 sandwich sheets. J. Mater. Process. Technol. 2018, 252, 511–523. [Google Scholar] [CrossRef]
- Zhao, Y.; Wang, C.; Li, J.; Tan, J.; Dong, C. Local melting mechanism and its effects on mechanical properties of friction spot welded joint for Al-Zn-Mg-Cu alloy. J. Mater. Sci. Technol. 2018, 34, 185–191. [Google Scholar] [CrossRef]
- Jedrasiak, P.; Shercliff, H. Small strain finite element modelling of friction stir spot welding of Al and Mg alloys. J. Mater. Process. Technol. 2019, 263, 207–222. [Google Scholar] [CrossRef]
- Zhang, G.-J.; Xiao, C.-Y.; Ojo, O.O. Dissimilar friction stir spot welding of AA2024-T3/AA7075-T6 aluminum alloys under different welding parameters and media. Def. Technol. 2021, 17, 531–544. [Google Scholar] [CrossRef]
- Peel, M.J.; Steuwer, A.; Withers, P.; Dickerson, T.; Shi, Q.; Shercliff, H. Dissimilar friction stir welds in AA5083-AA6082. Part I: Process parameter effects on thermal history and weld properties. Met. Mater. Trans. A 2006, 37, 2183–2193. [Google Scholar] [CrossRef]
- Emam, S.A.; Domiaty, A. A Refined Energy-Based Model for Friction-Stir Welding. World Acad. Sci. Eng. Technol. 2009, 29, 1010–1016. [Google Scholar]
- Wade, M.; Reynolds, A.P. Friction stir weld nugget temperature asymmetry. Sci. Technol. Weld. Join. 2010, 15, 64–69. [Google Scholar] [CrossRef]
- Arora, A.; DebRoy, T.; Bhadeshia, H. Back-of-the-envelope calculations in friction stir welding—Velocities, peak temperature, torque, and hardness. Acta Mater. 2011, 59, 2020–2028. [Google Scholar] [CrossRef]
- Upadhyay, P.; Reynolds, A. Effects of forge axis force and backing plate thermal diffusivity on FSW of AA6056. Mater. Sci. Eng. A 2012, 558, 394–402. [Google Scholar] [CrossRef]
- Giraud, L.; Robe, H.; Claudin, C.; Desrayaud, C.; Bocher, P.; Feulvarch, E. Investigation into the dissimilar friction stir welding of AA7020-T651 and AA6060-T6. J. Mater. Process. Technol. 2016, 235, 220–230. [Google Scholar] [CrossRef]
- Costa, M.; Leitão, C.; Rodrigues, D. Parametric study of friction stir welding induced distortion in thin aluminium alloy plates: A coupled numerical and experimental analysis. Thin Walled Struct. 2019, 134, 268–276. [Google Scholar] [CrossRef]
- Kalinenko, A.; Kim, K.; Vysotskiy, I.; Zuiko, I.; Malopheyev, S.; Mironov, S.; Kaibyshev, R. Microstructure-strength relationship in friction-stir welded 6061-T6 aluminum alloy. Mater. Sci. Eng. A 2020, 793, 139858. [Google Scholar] [CrossRef]
- Salih, O.S.; Neate, N.; Ou, H.; Sun, W. Influence of process parameters on the microstructural evolution and mechanical characterisations of friction stir welded Al-Mg-Si alloy. J. Mater. Process. Technol. 2020, 275, 116366. [Google Scholar] [CrossRef]
- Bakavos, D.; Prangnell, P. Effect of reduced or zero pin length and anvil insulation on friction stir spot welding thin gauge 6111 automotive sheet. Sci. Technol. Weld. Join. 2009, 14, 443–456. [Google Scholar] [CrossRef]
- Ramanjaneyulu, K.; Reddy, G.M.; Rao, A.V. Role of Tool Shoulder Diameter in Friction Stir Welding: An Analysis of the Temperature and Plastic Deformation of AA 2014 Aluminium Alloy. Trans. Indian Inst. Met. 2014, 67, 769–780. [Google Scholar] [CrossRef]
- Tufaro, L.N.; Manzoni, I.; Svoboda, H.G. Effect of Heat Input on AA5052 Friction Stir Welds Characteristics. Procedia Mater. Sci. 2015, 8, 914–923. [Google Scholar] [CrossRef] [Green Version]
- Papahn, H.; Bahemmat, P.; Haghpanahi, M.; Pour Aminaie, I. Effect of friction stir welding tool on temperature, applied forces and weld quality. IET Sci. Meas. Technol. 2015, 9, 475–484. [Google Scholar] [CrossRef]
- Rao, C.V.; Reddy, G.M.; Rao, K.S. Influence of tool pin profile on microstructure and corrosion behaviour of AA2219 Al–Cu alloy friction stir weld nuggets. Def. Technol. 2015, 11, 197–208. [Google Scholar] [CrossRef] [Green Version]
- Tang, W.; Guo, X.; McClure, J.C.; Murr, L.; Nunes, A. Heat Input and Temperature Distribution in Friction Stir Welding. J. Mater. Process. Manuf. Sci. 1998, 7, 163–172. [Google Scholar] [CrossRef]
- Schmidt, H.; Hattel, J.; Wert, J. An analytical model for the heat generation in friction stir welding. Model. Simul. Mater. Sci. Eng. 2003, 12, 143–157. [Google Scholar] [CrossRef]
- Andrade, D.; Leitão, C.; Rodrigues, D. Influence of base material characteristics and process parameters on frictional heat generation during Friction Stir Spot Welding of steels. J. Manuf. Process. 2019, 43, 98–104. [Google Scholar] [CrossRef]
- MTS Corporations. ISTIRTM Friction Stir Welding Solutions. 2003. Available online: https://corp.mts.com/cs/groups/public/documents/library/mts_003906.pdf (accessed on 27 July 2021).
- Leitao, C.; Louro, R.; Rodrigues, D. Analysis of high temperature plastic behaviour and its relation with weldability in friction stir welding for aluminium alloys AA5083-H111 and AA6082-T6. Mater. Des. 2012, 37, 402–409. [Google Scholar] [CrossRef]
- Sabari, S.; Galvão, I.; Leitão, C.; Rodrigues, D.M. Influence of Softening Mechanisms on Base Materials Plastic Behaviour and Defects Formation in Friction Stir Lap Welding. J. Manuf. Mater. Process. 2020, 4, 120. [Google Scholar] [CrossRef]
- Andrade, D.; Sabari, S.S.; Leitão, C.; Rodrigues, D. Influence of the galvanized coating thickness and process parameters on heat generation and strength of steel spot welds. Thin Walled Struct. 2021, 160, 107401. [Google Scholar] [CrossRef]
- MacKenzie, D.S.; Bogh, N.; Croucher, T. Quenching of Aluminum Alloys. Heat Treat. Nonferrous Alloy. 2016, 4E, 148–178. [Google Scholar] [CrossRef] [Green Version]











| Chemical Composition (Weight %) | Si | Fe | Cu | Mn | Mg | Cr | Zn | Ti | Al |
|---|---|---|---|---|---|---|---|---|---|
| AA2017-T451 | 0.2–0.8 | 0.7 | 3.5–4.5 | 0.4–1 | 0.4–1 | 0.1 | 0.25 | 0.25 | Rem. |
| AA5083-H111 | 0.4 | 0.4 | 0.1 | 0.4–1 | 4–4.9 | 0.05–0.25 | 0.25 | 0.15 | Rem. |
| AA6082-T651 | 0.7–1.3 | 0.5 | 0.1 | 0.4–1 | 0.6–1.2 | 0.25 | 0.2 | 0.1 | Rem. |
| AA7075-T651 | 0.4 | 0.5 | 1.2–2 | 0.3 | 2.1–2.9 | 0.18–0.28 | 5.1–6.1 | 0.2 | Rem. |
| Base Material | Tool Diameter [mm] | Tool Material | Rotational Speed [rpm] | Dwell Time [s] |
|---|---|---|---|---|
![]() | ![]() | ![]() | ![]() | ![]() |
| AA2017-T451 AA5083-H111 AA6082-T651 AA7075-T651 | 10, 12,16, 18 | WC | 660, 870, 1140, 1500 | 60 |
| AA6082-T651 | 12 | WC+ CrAlN WC+ CrAlAgN WC+ CrAlN/TiAlN | 660 | 60 |
| Coating | CrAlN | CrAlAgN | CrAlN/TiAlN |
|---|---|---|---|
| Chemical Composition (at.%) | Cr—36.2 Al—14.2 N—49.6 | Cr—30.3 Al—9.8 Ag—10.3 N—49.7 | Cr—24.3 Al—14.8 Ti—13.3 N—47.5 |
| Hardness (GPa) | 18 | 20 | 20 |
| Young’s Modulos (GPa) | 280 | 251 | 469 |
| Elastic strain to failure (H/E) parameter | 0.064 | 0.080 | 0.043 |
| Coating thickness (µm) | 2.6 | 3.1 | 3.5 |
Publisher’s Note: MDPI stays neutral with regard to jurisdictional claims in published maps and institutional affiliations. |
© 2021 by the authors. Licensee MDPI, Basel, Switzerland. This article is an open access article distributed under the terms and conditions of the Creative Commons Attribution (CC BY) license (https://creativecommons.org/licenses/by/4.0/).
Share and Cite
Andrade, D.G.; Sabari, S.; Leitão, C.; Rodrigues, D.M. Shoulder Related Temperature Thresholds in FSSW of Aluminium Alloys. Materials 2021, 14, 4375. https://doi.org/10.3390/ma14164375
Andrade DG, Sabari S, Leitão C, Rodrigues DM. Shoulder Related Temperature Thresholds in FSSW of Aluminium Alloys. Materials. 2021; 14(16):4375. https://doi.org/10.3390/ma14164375
Chicago/Turabian StyleAndrade, David G., Sree Sabari, Carlos Leitão, and Dulce M. Rodrigues. 2021. "Shoulder Related Temperature Thresholds in FSSW of Aluminium Alloys" Materials 14, no. 16: 4375. https://doi.org/10.3390/ma14164375
APA StyleAndrade, D. G., Sabari, S., Leitão, C., & Rodrigues, D. M. (2021). Shoulder Related Temperature Thresholds in FSSW of Aluminium Alloys. Materials, 14(16), 4375. https://doi.org/10.3390/ma14164375






