Synthesis, Optical Characterizations and Solar Energy Applications of New Schiff Base Materials
Abstract
:1. Introduction
2. Experimental
2.1. Synthesis
2.2. Films Preparation
3. Results and Discussion
3.1. Molecular Confirmation of Synthesized Compounds I6a–e
3.2. Mesomorphic and Optical Properties
3.3. Clearing Temperature and Polarizability Anisotropy of the Car-X Bonds
3.4. Effect of the Incorporation of the Lateral Methoxy Group on the Mesomorphic Behaviors
3.5. Photophysical Studies
3.6. DC Electrical Properties
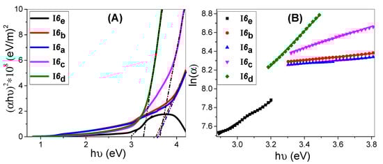
3.7. Optical Spectra and Energy Gap Calculation of I6a–e Films
4. Conclusions
Supplementary Materials
Author Contributions
Funding
Institutional Review Board Statement
Informed Consent Statement
Data Availability Statement
Acknowledgments
Conflicts of Interest
References
- Reyes, C.G.; Sharma, A.; Lagerwall, J.P. Non-electronic gas sensors from electrospun mats of liquid crystal core fibres for detecting volatile organic compounds at room temperature. Liq. Cryst. 2016, 43, 1986–2001. [Google Scholar] [CrossRef]
- Setia, S.; Sidiq, S.; De, J.; Pani, I.; Pal, S.K. Applications of liquid crystals in biosensing and organic light-emitting devices: Future aspects. Liq. Cryst. 2016, 43, 2009–2050. [Google Scholar] [CrossRef]
- Gupta, R.K.; Manjuladevi, V.; Karthik, C.; Choudhary, K. Thin films of discotic liquid crystals and their applications. Liq. Cryst. 2016, 43, 2079–2091. [Google Scholar] [CrossRef]
- Bhat, S.G.; Ramachandra, G.S.; Bhagavath, P.; Subrao, M.; Potukuchi, D.M.; Maddasani, S. Self-assembled liquid crystalline materials with fatty acids. J. Therm. Anal. Calorim. 2018, 132, 989–1000. [Google Scholar] [CrossRef]
- Imrie, C.T.; Henderson, P.; Yeap, G.-Y. Liquid crystal oligomers: Going beyond dimers. Liq. Cryst. 2009, 36, 755–777. [Google Scholar] [CrossRef]
- Yeap, G.Y.; Lee, H.C.; Mahmood, W.A.K.; Imrie, C.T.; Takeuchi, D.; Osakada, K. Synthesis, thermal and optical behaviour of non-symmetric liquid crystal dimers α-(4-benzylidene-substituted-aniline-4′-oxy)-ω-[pentyl-4-(4′-phenyl) benzoateoxy] hexane. Phase Transit. 2011, 84, 29–37. [Google Scholar] [CrossRef]
- Yeap, G.-Y.; Osman, F.; Imrie, C. Non-symmetric dimers: Effects of varying the mesogenic linking unit and terminal substituent. Liq. Cryst. 2015, 42, 543–554. [Google Scholar] [CrossRef]
- Yeap, G.Y.; Hng, T.C.; Yeap, S.Y.; Gorecka, E.; Ito, M.M.; Ueno, K.; Okamoto, M.; Mahmood, W.A.K.; Imrie, C.T. Why do non-symmetric dimers intercalate? The synthesis and characterisation of the α-(4-benzylidene-substituted-aniline-4′-oxy)-ω-(2-methylbutyl-4′-(4″-phenyl) benzoateoxy) alkanes. Liq. Cryst. 2009, 36, 1431–1441. [Google Scholar] [CrossRef]
- Ahmed, H.A.; El-Atawy, M.A. Synthesis, mesomorphic and geometrical approaches of new non-symmetrical system based on central naphthalene moiety. Liq. Cryst. 2021, 1–13. [Google Scholar] [CrossRef]
- El-Atawy, M.A.; Alhaddad, O.A.; Ahmed, H.A. Experimental and geometrical structure characterizations of new synthesized laterally fluorinated nematogenic system. Liq. Cryst. 2021, 1–11. [Google Scholar] [CrossRef]
- Al-Zahrani, S.A.; Ahmed, H.A.; El-Atawy, M.A.; Abu Al-Ola, K.A.; Omar, A.Z. Synthetic, Mesomorphic, and DFT Investigations of New Nematogenic Polar Naphthyl Benzoate Ester Derivatives. Materials 2021, 14, 2587. [Google Scholar] [CrossRef]
- El-Atawy, M.A.; Naoum, M.M.; Al-Zahrani, S.A.; Ahmed, H.A. New Nitro-Laterally Substituted Azomethine Derivatives; Synthesis, Mesomorphic and Computational Characterizations. Molecules 2021, 26, 1927. [Google Scholar] [CrossRef]
- Al-Mutabagani, L.; Alshabanah, L.; Ahmed, H.; Alalawy, H.; Al Alwani, M. Synthesis, Mesomorphic and Computational Characterizations of Nematogenic Schiff Base Derivatives in Pure and Mixed State. Molecules 2021, 26, 2038. [Google Scholar] [CrossRef] [PubMed]
- Altowyan, A.; Ahmed, H.; Gomha, S.; Mostafa, A. Optical and Thermal Investigations of New Schiff Base/Ester Systems in Pure and Mixed States. Polymers 2021, 13, 1687. [Google Scholar] [CrossRef] [PubMed]
- Ahmed, H.; Hagar, M.; Alhaddad, O. Mesomorphic and geometrical orientation study of the relative position of fluorine atom in some thermotropic liquid crystal systems. Liq. Cryst. 2020, 47, 404–413. [Google Scholar] [CrossRef]
- Al-Mutabagani, L.; Alshabanah, L.; Ahmed, H.; El-Atawy, M. Synthesis, Optical and DFT Characterizations of Laterally Fluorinated Phenyl Cinnamate Liquid Crystal Non-Symmetric System. Symmetry 2021, 13, 1145. [Google Scholar] [CrossRef]
- Ionescu, A.; Godbert, N.; Aiello, I.; Crispini, A.; Ghedini, M. Neutral and Cationic Cyclopalladated Nile Red Metallomesogens: Synthesis and Characterization In Memory of Dr. Teresa Pugliese. Mol. Cryst. Liq. Cryst. 2012, 558, 84–92. [Google Scholar] [CrossRef]
- Al-Karawi, A.J.M. From mesogens to metallomesogens. Synthesis, characterisation, liquid crystal and luminescent properties. Liq. Cryst. 2017, 44, 2285–2300. [Google Scholar] [CrossRef]
- Ghedini, M.; Golemme, A.; Aiello, I.; Godbert, N.; Termine, R.; Crispini, A.; La Deda, M.; Lelj, F.; Amati, M.; Belviso, S. Liaisons between photoconductivity and molecular frame in organometallic Pd(ii) and Pt(ii) complexes. J. Mater. Chem. 2011, 21, 13434–13444. [Google Scholar] [CrossRef]
- Martinez-Felipe, A.; Lu, Z.; Henderson, P.A.; Picken, S.J.; Norder, B.; Imrie, C.T.; Ribes-Greus, A. Synthesis and characterisation of side chain liquid crystal copolymers containing sulfonic acid groups. Polymer 2012, 53, 2604–2612. [Google Scholar] [CrossRef]
- Vicari, L. (Ed.) Optical Applications of Liquid Crystals; CRC Press: Boca Raton, FL, USA, 2016. [Google Scholar]
- Naoum, M.M.; Saad, G.R.; Nessim, R.I.; Abdel-Aziz, T.A.; Seliger, H. Effect of molecular structure on the phase behaviour of some liquid crystalline compounds and their binary mixtures II. 4-Hexadecyloxyphenyl arylates and aryl 4-hexadecyloxy benzoates. Liq. Cryst. 1997, 23, 789–795. [Google Scholar] [CrossRef]
- Saad, G.R.; Nessim, R.I. Effect of molecular structure on the phase behaviour of some liquid crystalline compounds and their binary mixtures VI[1]. The effect of molecular length. Liq. Cryst. 1999, 26, 629–636. [Google Scholar] [CrossRef]
- Naoum, M.M.; Mohammady, S.Z.; Ahmed, H.A. Lateral protrusion and mesophase behaviour in pure and mixed states of model compounds of the type 4-(4′-substituted phenylazo)-2-(or 3-)methyl phenyl-4’-alkoxy benzoates. Liq. Cryst. 2010, 37, 1245–1257. [Google Scholar] [CrossRef]
- Luckhurst, G.; Gray, G.W. The Molecular Physics of Liquid Crystals; Academic Press: Cambridge, MA, USA, 1979. [Google Scholar]
- Ahmed, H.A.; Hagar, M.; El-Sayed, T.H.; Alnoman, R.B. Schiff base/ester liquid crystals with different lateral substituents: Mesophase behaviour and DFT calculations. Liq. Cryst. 2019, 46, 1–11. [Google Scholar] [CrossRef]
- Ahmed, H.A.; Khushaim, M.S. Nematic Phase Induced from Symmetrical Supramolecular H-Bonded Systems Based on Flexible Acid Core. Crystals 2020, 10, 801. [Google Scholar] [CrossRef]
- Ahmed, H.; Khushaim, M.S. Nematogenic Laterally Substituted Supramolecular H-Bonded Complexes Based on Flexible Core. Crystals 2020, 10, 878. [Google Scholar] [CrossRef]
- Al-Mutabagani, L.A.; Alshabanah, L.A.; Naoum, M.M.; Hagar, M.; Ahmed, H.A. Experimental and Computational Approaches of Newly Polymorphic Supramolecular H-Bonded Liquid Crystal Complexes. Front. Chem. 2020, 8, 930. [Google Scholar] [CrossRef] [PubMed]
- Dudley, B. BP Statistical Review of World Energy. In Proceedings of the World Petroleum Conference, Moscow, Russia, 15–19 June 2014. [Google Scholar]
- Dong, S.; Zhang, K.; Xie, B.; Xiao, J.; Yip, H.-L.; Yan, H.; Huang, F.; Cao, Y. High-Performance Large-Area Organic Solar Cells Enabled by Sequential Bilayer Processing via Nonhalogenated Solvents. Adv. Energy Mater. 2019, 9, 1802832. [Google Scholar] [CrossRef]
- Wang, G.; Adil, M.A.; Zhang, J.; Wei, Z. Large-Area Organic Solar Cells: Material Requirements, Modular Designs, and Printing Methods. Adv. Mater. 2019, 31, e1805089. [Google Scholar] [CrossRef]
- Fan, B.; Zhang, D.; Li, M.; Zhong, W.; Zeng, Z.; Ying, L.; Huang, F.; Cao, Y. Achieving over 16% efficiency for single-junction organic solar cells. Sci. China Ser. B Chem. 2019, 62, 746–752. [Google Scholar] [CrossRef]
- Ahmed, A.M.; Abdalla, E.M.; Shaban, M. Simple and Low-Cost Synthesis of Ba-Doped CuO Thin Films for Highly Efficient Solar Generation of Hydrogen. J. Phys. Chem. C 2020, 124, 22347–22356. [Google Scholar] [CrossRef]
- Shaban, M.; El Sayed, A.M. Influence of the spin deposition parameters and La/Sn double doping on the structural, optical, and photoelectrocatalytic properties of CoCo2O4 photoelectrodes. Sol. Energy Mater. Sol. Cells 2020, 217, 110705. [Google Scholar] [CrossRef]
- Shaban, M.; Hamd, A.; Amin, R.R.; Abukhadra, M.R.; Khalek, A.A.; Khan, A.A.P.; Asiri, A.M. Preparation and characterization of MCM-48/nickel oxide composite as an efficient and reusable catalyst for the assessment of photocatalytic activity. Environ. Sci. Pollut. Res. 2020, 27, 32670–32682. [Google Scholar] [CrossRef]
- Helmy, A.; Rabia, M.; Shaban, M.; Ashraf, A.M.; Ahmed, S.; Ahmed, A.M. Graphite/rolled graphene oxide/carbon nanotube photoelectrode for water splitting of exhaust car solution. Int. J. Energy Res. 2020, 44, 7687–7697. [Google Scholar] [CrossRef]
- Mohamed, F.; Rabia, M.; Shaban, M. Synthesis and characterization of biogenic iron oxides of different nanomorphologies from pomegranate peels for efficient solar hydrogen production. J. Mater. Res. Technol. 2020, 9, 4255–4271. [Google Scholar] [CrossRef]
- Gomha, S.M.; Muhammad, Z.A.; Abdel-Aziz, H.M.; Matar, I.K.; El-Sayed, A.A. Green synthesis, molecular docking and anticancer activity of novel 1,4-dihydropyridine-3,5-Dicarbohydrazones under grind-stone chemistry. Green Chem. Lett. Rev. 2020, 13, 6–17. [Google Scholar] [CrossRef]
- Gomha, S.M.; Edrees, M.M.; Muhammad, Z.A.; Kheder, N.A.; Melha, S.A.; Saad, A.M. Synthesis, Characterization, and Antimicrobial Evaluation of Some New 1,4-Dihydropyridines-1,2,4-Triazole Hybrid Compounds. Polycycl. Aromat. Compd. 2020, 1–13. [Google Scholar] [CrossRef]
- Gomha, S.M.; Riyadh, S.M. Synthesis under Microwave Irradiation of [1,2,4]Triazolo[3,4-b][1,3,4]thiadiazoles and Other Diazoles Bearing Indole Moieties and Their Antimicrobial Evaluation. Molecules 2011, 16, 8244–8256. [Google Scholar] [CrossRef] [PubMed]
- Abu-Melha, S.; Edrees, M.M.; Riyadh, S.M.; Abdelaziz, M.R.; ElFiky, A.A.; Gomha, S.M. Clean Grinding Technique: A Facile Synthesis and In Silico Antiviral Activity of Hydrazones, Pyrazoles, and Pyrazines Bearing Thiazole Moiety against SARS-CoV-2 Main Protease (Mpro). Molecules 2020, 25, 4565. [Google Scholar] [CrossRef] [PubMed]
- Sayed, A.R.; Gomha, S.M.; A Taher, E.; A Muhammad, Z.; El-Seedi, H.R.; Gaber, H.M.; Ahmed, M.M. One-Pot Synthesis of Novel Thiazoles as Potential Anti-Cancer Agents. Drug Des. Dev. Ther. 2020, 14, 1363–1375. [Google Scholar] [CrossRef] [Green Version]
- Gomha, S.M.; Eldebss, T.M.A.; Badrey, M.G.; Abdulla, M.M.; Mayhoub, A.S. Novel 4-Heteroaryl-Antipyrines as DPP-IV Inhibitors. Chem. Biol. Drug Des. 2015, 86, 1292–1303. [Google Scholar] [CrossRef]
- Gomha, S.M.; Kheder, N.A.; Abdelaziz, M.R.; Mabkhot, Y.; Alhajoj, A.M. A facile synthesis and anticancer activity of some novel thiazoles carrying 1,3,4-thiadiazole moiety. Chem. Cent. J. 2017, 11, 25. [Google Scholar] [CrossRef] [Green Version]
- Gomha, S.M.; Kheder, N.A.; Abdelhamid, A.O.; Mabkhot, Y.N. One Pot Single Step Synthesis and Biological Evaluation of Some Novel Bis(1,3,4-thiadiazole) Derivatives as Potential Cytotoxic Agents. Molecules 2016, 21, 1532. [Google Scholar] [CrossRef] [PubMed] [Green Version]
- Attard, G.; Imrie, C.; Karasz, F. Low molar mass liquidcrystalline glasses: Preparation and properties of the. alpha.-(4-cyanobiphenyl-4′-oxy)-. omega.-(1-pyrenimin ebenzylidene-4′-oxy) alkanes. Chem. Mater. 1992, 4, 1246–1253. [Google Scholar] [CrossRef]
- Attard, G.S.; Imrie, C.T. Liquid-crystalline and glass-forming dimers derived from 1-aminopyrene. Liq. Cryst. 1992, 11, 785–789. [Google Scholar] [CrossRef]
- Abberley, J.P.; Jansze, S.M.; Walker, R.; Paterson, D.A.; Henderson, P.A.; Marcelis, A.T.M.; Storey, J.; Imrie, C.T. Structure–property relationships in twist-bend nematogens: The influence of terminal groups. Liq. Cryst. 2017, 44, 1–16. [Google Scholar] [CrossRef]
- Blatch, A.E.; Fletcher, I.D.; Luckhurst, G.R. The intercalated smectic-A phase—the liquid-crystal properties of the α-(4-cyanobiphenyl-4ʹ-yloxy)-ω-(4-alkyloxycinnamoate) alkanes. Liq. Cryst. 1995, 18, 801–809. [Google Scholar] [CrossRef]
- Veen, J.V. The influence of terminal substituents upon the nematic-isotropic transition temperature. Le Journal de Physique Colloques. J. Phys. Colloq. 1975, 36, C1-375. [Google Scholar] [CrossRef]
- Naoum, M.M.; Nessim, R.I.; Saad, G.R.; Aziz, T.A.A. Effect of molecular structure on the phase behaviour of some liquid crystalline compounds and their binary mixtures IV. Dependence of Tc on the anisotropy of the aryl-X of polarizability bond. Liq. Cryst. 1998, 25, 73–83. [Google Scholar] [CrossRef]
- Nafee, S.S.; Hagar, M.; Ahmed, H.A.; El-Shishtawy, R.M.; Raffah, B.M. The Synthesis of New Thermal Stable Schiff Base/Ester Liquid Crystals: A Computational, Mesomorphic, and Optical Study. Molecules 2019, 24, 3032. [Google Scholar] [CrossRef] [Green Version]
- Bakhtiari, G.; Moradi, S.; Soltanali, S. A novel method for the synthesis of coumarin laser dyes derived from 3-(1H-benzoimidazol-2-yl) coumarin-2-one under microwave irradiation. Arab. J. Chem. 2014, 7, 972–975. [Google Scholar] [CrossRef] [Green Version]
- Hrozhyk, U.A.; Serak, S.V.; Tabiryan, N.V.; Hoke, L.; Steeves, D.M.; Kimball, B.; Kedziora, G. Systematic Study of Absorption Spectra of Donor–Acceptor Azobenzene Mesogenic Structures. Mol. Cryst. Liq. Cryst. 2008, 489, 257–272. [Google Scholar] [CrossRef]
- Saint-Jalm, S.; Miniewicz, A.; Karpinski, P.; Jarek-Mikulska, U.; Galewski, Z. Photo-induced birefringence in a nematic liquid crystal mixture doped with light-switchable mesogenic azobenzene derivatives. J. Mol. Liq. 2012, 168, 21–27. [Google Scholar] [CrossRef]
- Naoum, M.M.; Fahmi, A.A.; Saad, G.R.; Ali, M.H. Polarity and steric effect of di-lateral substitution on the mesophase behaviour of some azo/ester compounds. Liq. Cryst. 2017, 44, 1664–1677. [Google Scholar] [CrossRef]
- Rathi, S.; Chauhan, G.; Gupta, S.K.; Srivastava, R.; Singh, A. Analysis of blockade in charge transport across polymeric heterojunctions as a function of thermal annealing: A different perspective. J. Electron. Mater. 2017, 46, 1235–1247. [Google Scholar] [CrossRef]
- Kumar, M.; Kumar, S.; Upadhyaya, A.; Yadav, A.; Gupta, S.K.; Singh, A. Study of charge transport in composite blend of P3HT and PCBM. In AIP Conference Proceedings; AIP Publishing: Melville, NY, USA, 2018; Volume 1953, p. 050066. [Google Scholar] [CrossRef]
- Hao, W.; Wang, Y.; Zhao, H.; Zhu, J.; Li, S. Strong dependence of the vertical charge carrier mobility on the π–π stacking distance in molecule/graphene heterojunctions. Phys. Chem. Chem. Phys. 2020, 22, 13802–13807. [Google Scholar] [CrossRef]
- Briseno, A.L.; Miao, Q.; Ling, M.-M.; Reese, C.; Meng, H.; Bao, Z.; Wudl, F. Hexathiapentacene: Structure, Molecular Packing, and Thin-Film Transistors. J. Am. Chem. Soc. 2006, 128, 15576–15577. [Google Scholar] [CrossRef] [PubMed]
- Ma, Z.; Geng, H.; Wang, N.; Shuai, Z. Influence of alkyl side-chain length on the carrier mobility in organic semiconductors: Herringbone vs. pi–pi stacking. J. Mater. Chem. C 2016, 4, 4546–4555. [Google Scholar] [CrossRef]
- Shaban, M.; El Sayed, A. Effects of lanthanum and sodium on the structural, optical and hydrophilic properties of sol–gel derived ZnO films: A comparative study. Mater. Sci. Semicond. Process. 2016, 41, 323–334. [Google Scholar] [CrossRef]
- Liu, S.; Kan, Z.; Thomas, S.; Cruciani, F.; Brédas, J.-L.; Beaujuge, P.M. Thieno[3,4-c]pyrrole-4,6-dione-3,4-difluorothiophene Polymer Acceptors for Efficient All-Polymer Bulk Heterojunction Solar Cells. Angew. Chem. Int. Ed. 2016, 55, 12996–13000. [Google Scholar] [CrossRef] [PubMed]
- Shaban, M.; El Sayed, A. Influences of lead and magnesium co-doping on the nanostructural, optical properties and wettability of spin coated zinc oxide films. Mater. Sci. Semicond. Process. 2015, 39, 136–147. [Google Scholar] [CrossRef]
- Mullekom, H.A.M. The Chemistry of High and Low Band Gap π-Conjugated Polymers; Technische Universiteit Eindhoven: Eindhoven, The Netherlands, 2000. [Google Scholar] [CrossRef]
- El Sayed, A.; Shaban, M. Structural, optical and photocatalytic properties of Fe and (Co, Fe) co-doped copper oxide spin coated films. Spectrochim. Acta Part A Mol. Biomol. Spectrosc. 2015, 149, 638–646. [Google Scholar] [CrossRef] [PubMed]
- Sharma, S.; Vyas, S.; Periasamy, C.; Chakrabarti, P. Structural and optical characterization of ZnO thin films for optoelectronic device applications by αsputtering technique. Superlattice Microst. 2014, 75, 378–389. [Google Scholar] [CrossRef]












| Comp. | X | TCr-N | ΔHCr-N | TN-I | ΔHN-I | ΔTN | ΔSN-I/R |
|---|---|---|---|---|---|---|---|
| I6a | OCH3 | 104.5 | 62.51 | 155.9 | 0.99 | 51.4 | 0.28 |
| I6b | CH3 | 90.2 | 49.72 | 141.3 | 0.76 | 51.1 | 0.22 |
| I6c | H | 98.9 | 53.44 | - | - | - | - |
| I6d | Cl | 98.7 | 58.36 | 137.4 | 0.64 | 38.7 | 0.19 |
| I6e | F | 121.7 | 48.49 | 117.1 * | 0.72 * | 4.6 * | 0.22 |
| Comp. | Eg (eV) | Eu (meV) |
|---|---|---|
| I6a | 3.58 | 160.9 ± 4.1 |
| I6b | 3.55 | 175.9 ± 2.3 |
| I6c | 3.63 | 570.3 ± 8.5 |
| I6d | 3.26 | 1858.2 ± 19.2 |
| I6e | 3.00 | 1134.8 ± 22.1 |
Publisher’s Note: MDPI stays neutral with regard to jurisdictional claims in published maps and institutional affiliations. |
© 2021 by the authors. Licensee MDPI, Basel, Switzerland. This article is an open access article distributed under the terms and conditions of the Creative Commons Attribution (CC BY) license (https://creativecommons.org/licenses/by/4.0/).
Share and Cite
Gomha, S.M.; Ahmed, H.A.; Shaban, M.; Abolibda, T.Z.; Khushaim, M.S.; Alharbi, K.A. Synthesis, Optical Characterizations and Solar Energy Applications of New Schiff Base Materials. Materials 2021, 14, 3718. https://doi.org/10.3390/ma14133718
Gomha SM, Ahmed HA, Shaban M, Abolibda TZ, Khushaim MS, Alharbi KA. Synthesis, Optical Characterizations and Solar Energy Applications of New Schiff Base Materials. Materials. 2021; 14(13):3718. https://doi.org/10.3390/ma14133718
Chicago/Turabian StyleGomha, Sobhi M., Hoda A. Ahmed, Mohamed Shaban, Tariq Z. Abolibda, Muna S. Khushaim, and Khalid A. Alharbi. 2021. "Synthesis, Optical Characterizations and Solar Energy Applications of New Schiff Base Materials" Materials 14, no. 13: 3718. https://doi.org/10.3390/ma14133718
APA StyleGomha, S. M., Ahmed, H. A., Shaban, M., Abolibda, T. Z., Khushaim, M. S., & Alharbi, K. A. (2021). Synthesis, Optical Characterizations and Solar Energy Applications of New Schiff Base Materials. Materials, 14(13), 3718. https://doi.org/10.3390/ma14133718

