Effect of Gd3+ Substitution on Thermoelectric Power Factor of Paramagnetic Co2+-Doped Calcium Molybdato-Tungstates
Abstract
1. Introduction
2. Experimental Details
2.1. Synthesis of CCGMWO Solid Solution
2.2. Characterization of Methods
3. Results and Discussion
3.1. X-ray Diffraction Analysis and Particle Size Distribution
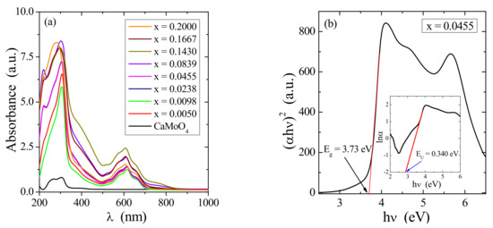
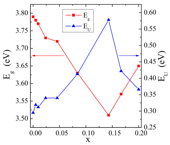
3.2. UV –Vis Spectra and Their Analysis
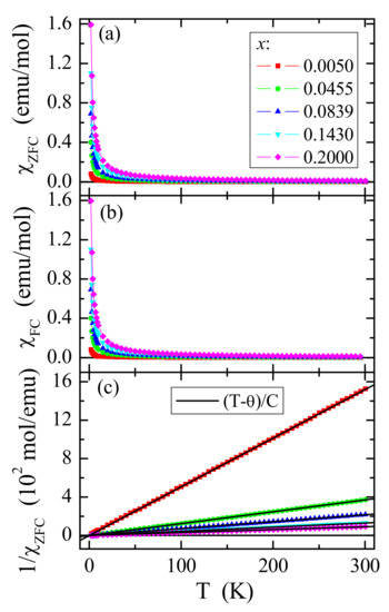
3.3. Magnetic Properties
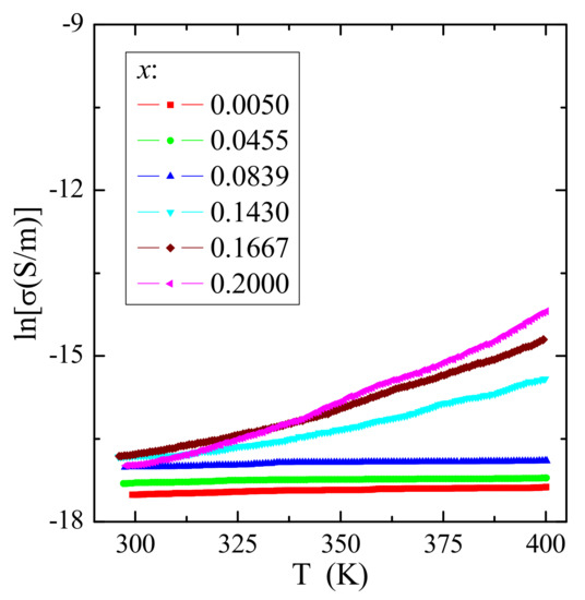
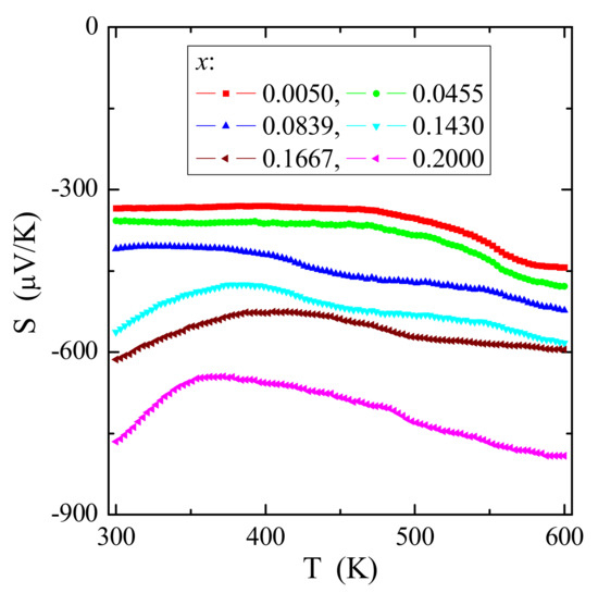
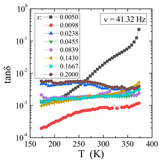
3.4. Electrical Properties
4. Conclusions
Author Contributions
Funding
Institutional Review Board Statement
Informed Consent Statement
Data Availability Statement
Acknowledgments
Conflicts of Interest
References
- Belogurov, S.; Kornoukhov, V.; Annenkov, A.; Borisevich, A.; Fedorov, A.; Korzhik, M.; Ligoun, V.; Missevitch, O.; Kim, S.K.; Kim, S.C.; et al. CaMoO4 scintillation crystal for the search of 100Mo double beta decay. IEEE Trans. Nucl. Sci. 2005, 52, 1131. [Google Scholar] [CrossRef]
- Zhang, X.; Lin, J.; Mikhalik, V.B.; Kraus, H. Studies of scintillation properties of CaMoO4 at milikelvin temperatures. Appl. Phys. Lett. 2015, 106, 241904. [Google Scholar] [CrossRef]
- Annenkov, A.N.; Auffray, E.; Chipaux, R.; Drobychev, G.Y.; Fedorov, A.A.; Géléoc, M.; Golubev, N.A.; Korzhik, M.V.; Lecoq, P.; Lednev, A.A.; et al. Systematic study of the short-term instability of PbWO4 scintillator parameters under irradiation. Radiat. Meas. 1998, 29, 27–38. [Google Scholar] [CrossRef]
- Danevich, F.A.; Georgadze, A.S.; Kobychev, V.V.; Kropivyansky, B.N.; Nagorny, S.S.; Nikolaiko, A.S.; Poda, D.V.; Tretyak, V.I.; Vyshnevskyi, I.M.; Yurchenko, S.S.; et al. Application of PbWO4 crystal scintillators in experiment to search for 2β decay of 116Cd. Nucl. Instr. Meth. Phys. Res. A 2006, 556, 259–265. [Google Scholar] [CrossRef]
- Lei, F.; Yan, B. Hydrothermal synthesis and luminescence of CaMoO4:RE3+ (M = W, Mo; RE = Eu, Tb) submicro-phosphors. J. Solid State Chem. 2008, 181, 855–862. [Google Scholar] [CrossRef]
- Groń, T.; Pawlikowska, M.; Tomaszewicz, E.; Oboz, M.; Sawicki, B.; Duda, H. Spin-orbit coupling in manganese doped calcium molybdato-tungstates. Ceram. Int. 2018, 44, 3307–3313. [Google Scholar] [CrossRef]
- Kukuła, Z.; Maciejkowicz, M.; Tomaszewicz, E.; Pawlus, S.; Oboz, M.; Groń, T.; Guzik, M. Electric relaxation of superparamagnetic Gd-doped lead molybdato-tungstates. Ceram. Int. 2019, 45, 3307–3313. [Google Scholar] [CrossRef]
- Sakai, N.; Zhu, L.; Kurokawa, A.; Takeuchi, H.; Yano, S.; Yanoh, T.; Wada, N.; Taira, S.; Hosokai, Y.; Usui, A.; et al. Synthesis of Gd2O3 nanoparticles for MRI contrast agents. J. Phys. Conf. Ser. 2012, 352, 012008. [Google Scholar] [CrossRef]
- Urbanowicz, P.; Tomaszewicz, E.; Groń, T.; Duda, H.; Pacyna, A.W.; Mydlarz, T.; Fuks, H.; Kaczmarek, S.M.; Krok-Kowalski, J. Superparamagnetic-like behaviour and spin-orbit coupling in (Co,Zn)RE4W3O16 tungstates (RE = Nd, Sm, Eu, Gd, Dy and Ho). J. Phys. Chem. Solids 2011, 72, 891–898. [Google Scholar] [CrossRef][Green Version]
- Kukuła, Z.; Tomaszewicz, E.; Mazur, S.; Groń, T.; Duda, H.; Pawlus, S.; Kaczmarek, S.M.; Fuks, H.; Mydlarz, T. Dielectric and magnetic permittivities of three new ceramic tungstates MPr2W2O10 (M = Cd, Co, Mn). Philos. Mag. 2012, 92, 4167–4181. [Google Scholar] [CrossRef]
- Tomaszewicz, E.; Dąbrowska, G.; Kaczmarek, S.M.; Fuks, H. Solid-state synthesis and characterization of new cadmium and rare-earth metal molybdato-tungstates Cd0.25RE0.50(MoO4)0.25(WO4)0.75 (RE = Pr, Nd, Sm–Dy). J. Non-Cryst. Solids 2010, 356, 2059–2065. [Google Scholar] [CrossRef]
- Tomaszewicz, E.; Fuks, H.; Typek, J.; Sawicki, B.; Oboz, M.; Groń, T.; Mydlarz, T. Preparation, thermal stability and magnetic properties of new AgY1−xGdx(WO4)2 ceramic materials. Ceram. Int. 2015, 41, 5734–5748. [Google Scholar] [CrossRef]
- Boultif, A.; Louër, D. Powder pattern indexing with the dichotomy method. J. Appl. Cryst. 2004, 37, 724–731. [Google Scholar] [CrossRef]
- Groń, T.; Krok-Kowalski, J.; Duda, H.; Mydlarz, T.; Gilewski, A.; Walczak, J.; Filipek, E.; Bärner, K. Metamagnetism in Cr2V4−xMoxO13+0.5x. Phys. Rev. B 1995, 51, 16021–16024. [Google Scholar] [CrossRef]
- Krok-Kowalski, J.; Groń, T.; Warczewski, J.; Mydlarz, T.; Okońska-Kozłowska, I. Ferrimagnetism and metamagnetism in Cd1−xCuxCr2S4. J. Magn. Magn. Mater. 1997, 168, 129–138. [Google Scholar] [CrossRef]
- Groń, T.; Malicka, E.; Pacyna, A.W. Influence of temperature on critical fields in ZnCr2Se4. Phys. B 2009, 404, 3554–3558. [Google Scholar]
- Groń, T.; Pacyna, A.W.; Malicka, E. Influence of temperature independent contribution of magnetic susceptibility on the Curie-Weiss law. Solid State Phenom. 2011, 170, 213–218. [Google Scholar] [CrossRef]
- Wübbenhorst, M.; van Turnhout, J. Analysis of complex dielectric spectra. I. One dimensional derivative techniques and three-dimensional modeling. J. Non-Cryst. Solids 2002, 305, 40–49. [Google Scholar] [CrossRef]
- Shannon, R.D. Revised effective ionic radii and systematic studies of interatomic distances in halides and chalcogenides. Acta Cryst. A 1976, 32, 751–767. [Google Scholar] [CrossRef]
- Tomaszewicz, E.; Piątkowska, M.; Pawlikowska, M.; Groń, T.; Oboz, M.; Sawicki, B.; Urbanowicz, P. New vacancied and Dy3+-doped molybdates—Their structure, thermal stability, electrical and magnetic properties. Ceram. Int. 2016, 42, 18357–18367. [Google Scholar] [CrossRef]
- Zhang, Y.; Holzwarth, N.A.W.; Williams, R.T. Electronic band structure of the scheelite materials CaMoO4, CaWO4, PbMoO4, and PbWO4. Phys. Rev. B 1998, 57, 12738–12750. [Google Scholar] [CrossRef]
- Singh, B.P.; Parchur, A.K.; Ningthoujam, R.S.; Ansan, A.A.; Singh, P.; Rai, S.B. Enhanced photoluminescence in CaMoO4: Eu3+ by Gd3+ co-doping. Dalton Trans. 2014, 43, 4779–4789. [Google Scholar] [CrossRef]
- Kubelka, P.; Munk, F. Ein Beitrag zur Optic der Farbanstriche. Z. Tech. Phys. 1931, 12, 593–601. [Google Scholar]
- Tauc, J.; Grigorovici, R.; Vancu, A. Optical properties and electronic structures of amorphous germanium. Phys. Status Solidi. 1966, 15, 627–637. [Google Scholar] [CrossRef]
- Tauc, J.; Menth, A. States in the gap. J. Non-Cryst. Solids 1972, 8, 569–585. [Google Scholar] [CrossRef]
- Tauc, J. Optical Properties of Solids; Abels, F., Ed.; Springer: Amsterdam, The Netherlands, 1969. [Google Scholar]
- Urbach, F. The long-wavelength edge of photographic sensitivity and of the electronic absorption of solids. Phys. Rev. 1953, 92, 1324. [Google Scholar] [CrossRef]
- Groń, T.; Tomaszewicz, E.; Berkowski, M.; Duda, H.; Kukuła, Z.; Pawlus, S.; Mydlarz, T.; Ostafin, T.; Kusz, J. Dielectric and magnetic properties of CdMoO4:Gd3+ single crystal. J. Alloys Compd. 2014, 593, 230–234. [Google Scholar] [CrossRef]
- Groń, T.; Tomaszewicz, E.; Berkowski, M.; Głowacki, M.; Oboz, M.; Kusz, J.; Sawicki, B.; Kukuła, Z.; Duda, H. Yb3+-doped cadmium molybdato-tungstate single crystal—Its structural, optical, magnetic and transport properties. J. Sol. State Chem. 2018, 262, 164–171. [Google Scholar] [CrossRef]
- Mazur, S.; Tomaszewicz, E.; Groń, T.; Duda, H.; Kukuła, Z.; Mydlarz, T. Paramagnetic behaviour in RE2W2O9 tungstates (RE = Pr, Nd, Sm–Gd). Solid State Phenom. 2013, 194, 112–115. [Google Scholar] [CrossRef]
- Groń, T.; Maciejkowicz, M.; Tomaszewicz, E.; Guzik, M.; Oboz, M.; Sawicki, B.; Pawlus, S.; Nowok, A.; Kukuła, Z. Combustion synthesis, structural, magnetic and dielectric properties of Gd3+-doped lead molybdato-tungstates. J. Adv. Ceram. 2020, 9, 255–268. [Google Scholar] [CrossRef]
- Kittel, C. Introduction to Solid State Physics; John Wiley & Sons, Inc.: New York, NY, USA, 1971. [Google Scholar]
- Urbanowicz, P.; Tomaszewicz, E.; Groń, T.; Duda, H.; Pacyna, A.W.; Mydlarz, T. Magnetic properties of R2WO6 (where R=Nd, Sm, Eu, Gd, Dy and Ho). Phys. B 2009, 404, 2213–2217. [Google Scholar] [CrossRef]
- Kukuła, Z.; Tomaszewicz, E.; Mazur, S.; Groń, T.; Pawlus, S.; Duda, H.; Mydlarz, T. Electrical and magnetic properties of CdRE2W2O10 tungstates (RE=Y, Nd, Sm, Gd–Er). J. Phys. Chem. Solids 2013, 74, 86–93. [Google Scholar] [CrossRef]
- Urbanowicz, P.; Piątkowska, M.; Sawicki, B.; Groń, T.; Kukuła, Z.; Tomaszewicz, E. Dielectric properties of RE2W2O9 (RE=Pr, Sm–Gd) ceramics. J. Eur. Ceram. Soc. 2015, 35, 4189–4193. [Google Scholar] [CrossRef]
- Sawicki, B.; Groń, T.; Tomaszewicz, E.; Duda, H.; Górny, K. Some optical and transport properties of a new subclass of ceramic tungstates and molybdates. Ceram. Int. 2015, 41, 13080–13089. [Google Scholar] [CrossRef]
- Snyder, G.J.; Caillat, T.; Fleurial, J.P. Thermoelectric properties of chalcogenides with the spinel structure. Mater. Res. Innovations 2001, 5, 67–73. [Google Scholar] [CrossRef]
- Von Hippel, A. Dielectrics and Waves; Artech House: London, UK, 1995; p. 228. [Google Scholar]
- Jonscher, A.K. Dielectric Relaxation in Solids; Chelsea Dielectric Press: London, UK, 1983; p. 310. [Google Scholar]
- Groń, T.; Karolewicz, M.; Tomaszewicz, E.; Guzik, M.; Oboz, M.; Sawicki, B.; Duda, H.; Kukuła, Z. Dielectric and magnetic characteristics of Ca1−xMnxMoO4 (0 ≤ x ≤ 0.15) nanomaterials. J. Nanopart. Res. 2019, 21, 8. [Google Scholar] [CrossRef] [PubMed]














| x | y | a (Å) | c (Å) | c/a | V (Å3) | d (g cm−3) | Eg (eV) | EU (eV) |
|---|---|---|---|---|---|---|---|---|
| 0 | 0 | 5.22836(12) | 11.4379(4) | 2.1877 | 312.663 | 4.25(1) | 3.79 | 0.295 |
| 0.0050 | 0.02 | 5.22849(10) | 11.4300(6) | 2.1861 | 312.463 | 4.31(2) | 3.78 | 0.319 |
| 0.0098 | 0.02 | 5.22797(14) | 11.4340(7) | 2.1871 | 312.509 | 4.36(1) | 3.77 | 0.312 |
| 0.0283 | 0.02 | 5.22977(12) | 11.4248(7) | 2.1846 | 312.473 | 4.50(1) | 3.73 | 0.340 |
| 0.0455 | 0.02 | 5.23360(9) | 11.4244(4) | 2.1829 | 312.922 | 4.69(2) | 3.72 | 0.340 |
| 0.0839 | 0.02 | 5.23515(8) | 11.4130(6) | 2.1801 | 312.794 | 5.06(2) | 3.63 | 0.413 |
| 0.1430 | 0.02 | 5.23718(10) | 11.4162(5) | 2.1798 | 313.124 | 5.65(2) | 3.51 | 0.578 |
| 0.1667 | 0.02 | 5.23644(11) | 11.4209(6) | 2.1810 | 313.163 | 5.88(3) | 3.57 | 0.422 |
| 0.2000 | 0.02 | 5.23606(10) | 11.4457(4) | 2.1859 | 313.799 | 6.17(1) | 3.65 | 0.366 |
| x | y | C (emu·K/mol) | θ (K) | µeff (µB/f.u.) | peff | M0 (µB/f.u.) | g |
|---|---|---|---|---|---|---|---|
| 0.0050 | 0.02 | 0.197 | 0.4 | 1.254 | 1.229 | 0.192 | 1.40 |
| 0.0098 | 0.02 | 0.264 | 0.9 | 1.454 | 1.454 | 0.270 | 1.48 |
| 0.0238 | 0.02 | 0.489 | 0.3 | 1.978 | 1.969 | 0.462 | 1.60 |
| 0.0455 | 0.02 | 0.810 | 0.4 | 2.545 | 2.571 | 0.760 | 1.67 |
| 0.0839 | 0.02 | 1.880 | 1.1 | 3.332 | 3.384 | 1.300 | 1.70 |
| 0.1430 | 0.02 | 2.308 | 0.9 | 4.296 | 4.347 | 2.130 | 1.73 |
| 0.1667 | 0.02 | 2.671 | 0.5 | 4.622 | 4.678 | 2.460 | 1.76 |
| 0.2000 | 0.02 | 3.283 | 0.1 | 5.124 | 5.107 | 2.920 | 1.82 |
Publisher’s Note: MDPI stays neutral with regard to jurisdictional claims in published maps and institutional affiliations. |
© 2021 by the authors. Licensee MDPI, Basel, Switzerland. This article is an open access article distributed under the terms and conditions of the Creative Commons Attribution (CC BY) license (https://creativecommons.org/licenses/by/4.0/).
Share and Cite
Sawicki, B.; Karolewicz, M.; Tomaszewicz, E.; Oboz, M.; Groń, T.; Kukuła, Z.; Pawlus, S.; Nowok, A.; Duda, H. Effect of Gd3+ Substitution on Thermoelectric Power Factor of Paramagnetic Co2+-Doped Calcium Molybdato-Tungstates. Materials 2021, 14, 3692. https://doi.org/10.3390/ma14133692
Sawicki B, Karolewicz M, Tomaszewicz E, Oboz M, Groń T, Kukuła Z, Pawlus S, Nowok A, Duda H. Effect of Gd3+ Substitution on Thermoelectric Power Factor of Paramagnetic Co2+-Doped Calcium Molybdato-Tungstates. Materials. 2021; 14(13):3692. https://doi.org/10.3390/ma14133692
Chicago/Turabian StyleSawicki, Bogdan, Marta Karolewicz, Elżbieta Tomaszewicz, Monika Oboz, Tadeusz Groń, Zenon Kukuła, Sebastian Pawlus, Andrzej Nowok, and Henryk Duda. 2021. "Effect of Gd3+ Substitution on Thermoelectric Power Factor of Paramagnetic Co2+-Doped Calcium Molybdato-Tungstates" Materials 14, no. 13: 3692. https://doi.org/10.3390/ma14133692
APA StyleSawicki, B., Karolewicz, M., Tomaszewicz, E., Oboz, M., Groń, T., Kukuła, Z., Pawlus, S., Nowok, A., & Duda, H. (2021). Effect of Gd3+ Substitution on Thermoelectric Power Factor of Paramagnetic Co2+-Doped Calcium Molybdato-Tungstates. Materials, 14(13), 3692. https://doi.org/10.3390/ma14133692

