Sign in to use this feature.

Years

Between: -

Subjects

remove_circle_outline
remove_circle_outline
remove_circle_outline
remove_circle_outline
remove_circle_outline
remove_circle_outline
remove_circle_outline
remove_circle_outline
remove_circle_outline

Journals

Article Types

Countries / Regions

Search Results (145)

Search Parameters:
Keywords = scheelites

Order results
Result details
Results per page
Select all
Export citation of selected articles as:
24 pages, 15635 KB  
Article
New Insights into the Xiongbaxi–Yalongri Cu-W(-Mo) Deposit (Tibet): Scheelite Geochemistry and Machine Learning Constraints on Ore-Forming Fluid Evolution and Genetic Type
by Qinggong Li, Jinshu Zhang, Jianhui Wu, Xiaojia Jiang and Bei Pang
Minerals 2026, 16(2), 217; https://doi.org/10.3390/min16020217 - 20 Feb 2026
Viewed by 301
Abstract
The Zhunuo ore district, at the western end of the Gangdese porphyry Cu belt, hosts significant Cu mineralization and newly recognized W mineralization dominated by scheelite. However, the genetic relationship between scheelite and porphyry mineralization, and the evolution of ore-forming fluids remain poorly [...] Read more.
The Zhunuo ore district, at the western end of the Gangdese porphyry Cu belt, hosts significant Cu mineralization and newly recognized W mineralization dominated by scheelite. However, the genetic relationship between scheelite and porphyry mineralization, and the evolution of ore-forming fluids remain poorly constrained. To address this, scheelite samples from multiple locations were analyzed for major elements (EMPA), in situ trace elements (LA-ICP-MS), and internal textures (cathodoluminescence, CL). These data, combined with machine learning methods, were used to determine scheelite genetic types and reconstruct fluid evolution. REE patterns and CL textures reveal three scheelite generations in Yalongri (early Sch I c, middle Sch I b, late Sch I a), two in Zhigunong (early Sch II a, late Sch II b), and one in Xiongbaxi (Sch III). Low Na (0–329 ppm) and Nb (3.9–39 ppm) relative to high ΣREE + Y-Eu (16–3857 ppm), indicate that the dominant substitution mechanism is 3Ca2+ = 2REE3+ + □Ca (□Ca = Ca vacancy). δEu values > 1 in Sch I a, Sch I b, Sch II a, and Sch II b indicate reducing fluids, whereas δEu < in Sch I c and Sch III reflects oxidizing conditions. Variations in REE, Mo, and Sr contents suggest that ore-forming fluids in Yalongri evolved from oxidizing to reducing conditions, with late-stage scheelite undergoing dissolution–reprecipitation. Zhigunong records two reducing stages: an early REE-rich-Mo-poor stage and a later REE-poor-Mo-rich stage. Xiongbaxi records a single oxidizing, REE-rich, Mo-rich stage. Scheelite exhibits low-to-moderate Sr/Mo ratios (0.02–6.10), consistent with a magmatic–hydrothermal origin, and relatively uniform Y/Ho ratios (12–59) indicating stable crystallization conditions. A Random Forest model classifies scheelite into orogenic, porphyry, skarn, and greisen types. Overall, the results indicate that ore-forming fluids evolved from oxidizing to reducing conditions, favoring metal transport and enrichment. Integrated geochemical and machine learning evidence suggest, strong potential for porphyry-type Cu-W(-Mo) mineralization in Yalongri and Zhigunong, and skarn-type W-Mo mineralization in Xiongbaxi, providing important guidance for future exploration in the western Gangdese metallogenic belt. Full article
(This article belongs to the Topic Big Data and AI for Geoscience)
Show Figures

Graphical abstract

20 pages, 3023 KB  
Article
Synthesis of Nanostructured Tungsten-Based Catalyst from Scheelite Ore for Electrocatalytic Oxygen Evolution Reaction
by Maria J. S. Lima, Cleber da Silva Lourenço, Fernando E. S. Silva, Kivia F. G. Araujo, Gabriel S. Vasconcelos, Rubens M. Nascimento, Rafael A. Raimundo, Marco A. Morales and Uílame U. Gomes
Catalysts 2026, 16(2), 183; https://doi.org/10.3390/catal16020183 - 12 Feb 2026
Viewed by 538
Abstract
This study presents an integrated low-temperature processing route that converts tungstic acid and ammonium paratungstate derived from scheelite ore (CaWO4) into nanoscale tungsten trioxide (WO3), metallic tungsten (W), and tungsten carbide (WC) via solid-state reaction, hydrogen reduction, and gas–solid [...] Read more.
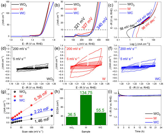
This study presents an integrated low-temperature processing route that converts tungstic acid and ammonium paratungstate derived from scheelite ore (CaWO4) into nanoscale tungsten trioxide (WO3), metallic tungsten (W), and tungsten carbide (WC) via solid-state reaction, hydrogen reduction, and gas–solid reaction, respectively. This approach enables particle size control, reduced energy consumption, and enhanced functional properties, enabling evaluation of the materials’ performance in the oxygen evolution reaction (OER). X-ray diffraction (XRD) confirmed the formation of the desired phases with nanocrystalline structures and average crystallite sizes of 13.3 nm (WO3), 31.55 nm (W), and 10.35 nm (WC). The materials exhibited homogeneous morphologies, demonstrating the effectiveness of the synthesis routes. Electrochemical measurements revealed promising OER activity; the WO3 electrode showed the lowest overpotential of 321 mV at 10 mA cm−2, while W and WC showed 327 mV and 340 mV, respectively, in 1.0 M KOH. Overall, the results demonstrate a strategy for scheelite valorization. Full article
Show Figures

Figure 1

17 pages, 2230 KB  
Article
Direct Production of Na2WO4-Based Salt by Scheelite Smelting
by Baojun Zhao
Minerals 2026, 16(1), 90; https://doi.org/10.3390/min16010090 - 17 Jan 2026
Viewed by 186
Abstract
Tungsten is one of the critical materials with important applications in many areas. Electrolysis of Na2WO4-based salt is a short and green process for the production of tungsten metal and alloys. The conventional process for producing Na2WO [...] Read more.
Tungsten is one of the critical materials with important applications in many areas. Electrolysis of Na2WO4-based salt is a short and green process for the production of tungsten metal and alloys. The conventional process for producing Na2WO4 is expensive and time-consuming. Scheelite (CaWO4) is becoming the most important resource for the extraction of tungsten. Based on thermodynamic calculations and phase equilibrium studies, a novel process is proposed to prepare Na2WO4-based salt directly from scheelite through a high-temperature process. By reacting with silica and sodium oxide, immiscible layers of liquid salt and slag are formed from scheelite between 1200 and 1300 °C. High-density salt containing Na2WO4 is separated from the silicate slag, which is composed of impurities and fluxes. The effects of fluxing agents, smelting temperature, and reaction time on the direct yield of WO3 and purity of sodium tungsten are investigated in combination with thermodynamic calculations and high-temperature experiments. The salt containing up to 99% Na2WO4 is obtained directly in a single process, which can be used for the production of other tungsten chemicals. This study provides a novel research method and detailed information to produce low-cost sodium tungstate directly from scheelite. Full article
Show Figures

Figure 1

15 pages, 3128 KB  
Article
Ammonium Paratungstate Production from Scheelite Ore: Process Study, Morphology and Thermal Stability
by Maria José Lima, Fernando E. S. Silva, Cleber da Silva Lourenço, Ariadne Silva, Jussier Vitoriano, Kivia Araujo, Matheus Silva, Marco Morales and Uílame Gomes
Powders 2026, 5(1), 3; https://doi.org/10.3390/powders5010003 - 16 Jan 2026
Viewed by 457
Abstract
Ammonium paratungstate (APT) was synthesized from scheelite ore concentrates from the Brejuí Mine in Currais Novos, Rio Grande do Norte, Northeast Brazil. The process involved acid leaching to obtain tungstic acid (H2WO4), followed by its conversion to APT. A [...] Read more.
Ammonium paratungstate (APT) was synthesized from scheelite ore concentrates from the Brejuí Mine in Currais Novos, Rio Grande do Norte, Northeast Brazil. The process involved acid leaching to obtain tungstic acid (H2WO4), followed by its conversion to APT. A 23 factorial design evaluated the influence of temperature, HCl concentration, and reaction time on the leaching efficiency, revealing temperature and acid concentration as significant variables. Tungsten extraction reached 98.6% under moderate time and temperature conditions. The resulting H2WO4 phase exhibited a lamellar and porous morphology, facilitating its rapid dissolution and crystallization into APT at 60 °C. The produced nanometric APT exhibited high purity, a mixed rod-like/cubic morphology, and thermal stability above 600 °C. This work adds value to the Brazilian tungsten deposits by supporting more efficient and sustainable extraction routes for obtaining APT. Full article
Show Figures

Graphical abstract

21 pages, 5803 KB  
Article
Microwave-Assisted Synthesis of Visible Light-Driven BiVO4 Nanoparticles: Effects of Eu3+ Ions on the Luminescent, Structural, and Photocatalytic Properties
by Dragana Marinković, Bojana Vasiljević, Nataša Tot, Tanja Barudžija, Sudha Maria Lis Scaria, Stefano Varas, Rossana Dell’Anna, Alessandro Chiasera, Bernhard Fickl, Bernhard C. Bayer, Giancarlo C. Righini and Maurizio Ferrari
Molecules 2025, 30(24), 4757; https://doi.org/10.3390/molecules30244757 - 12 Dec 2025
Viewed by 630
Abstract
The optimization of BiVO4-based structures significantly contributes to the development of a global system towards clean, renewable, and sustainable energies. Enhanced photocatalytic performance has been reported for numerous doped BiVO4 materials. Bi3+-based compounds can be easily doped with [...] Read more.
The optimization of BiVO4-based structures significantly contributes to the development of a global system towards clean, renewable, and sustainable energies. Enhanced photocatalytic performance has been reported for numerous doped BiVO4 materials. Bi3+-based compounds can be easily doped with rare earth (RE3+) ions due to their equal valence and similar ionic radius. This means that RE3+ ions could be regarded as active co-catalysts and dopants to enhance the photocatalytic activity of BiVO4. In this study, a simple microwave-assisted approach was used for preparing nanostructured Bi1−xEuxVO4 (x = 0, 0.03, 0.06, 0.09, and 0.12) samples. Microwave heating at 170 °C yields a bright yellow powder after 10 min of radiation. The materials are characterized through X-ray diffraction (XRD), transmission electron microscopy (TEM), ultraviolet–visible–near-infrared diffuse reflectance spectroscopy (UV-Vis-NIR DRS), photoluminescence spectroscopy (PL), and micro-Raman techniques. The effects of the different Eu3+ ion concentrations incorporated into the BiVO4 matrix on the formation of the monoclinic scheelite (ms-) or tetragonal zircon-type (tz-) BiVO4 structure, on the photoluminescent intensity, on the decay dynamics of europium emission, and on photocatalytic efficiency in the degradation of Rhodamine B (RhB) were studied in detail. Additionally, microwave chemistry proved to be beneficial in the synthesis of the tz-BiVO4 nanostructure and Eu3+ ion doping, leading to an enhanced luminescent and photocatalytic performance. Full article
(This article belongs to the Special Issue Chemiluminescence and Photoluminescence of Advanced Compounds)
Show Figures

Graphical abstract

14 pages, 1881 KB  
Article
Adsorption of Calcium Ions on Calcite Surface and Its Influence on Flotation Separation of Scheelite
by Zhiguo Zhang, Xiaolong Zhang, Xiaowei Deng, Changliang Shi and Baolin Xing
Minerals 2025, 15(11), 1225; https://doi.org/10.3390/min15111225 - 20 Nov 2025
Viewed by 664
Abstract
Calcium ions, primarily introduced through flotation reagents and mineral dissolution, progressively accumulate a considerable amount due to the process of water recycling, significantly impacting the flotation behavior of minerals. In this paper, the adsorption of calcium ions on a calcite surface was initially [...] Read more.
Calcium ions, primarily introduced through flotation reagents and mineral dissolution, progressively accumulate a considerable amount due to the process of water recycling, significantly impacting the flotation behavior of minerals. In this paper, the adsorption of calcium ions on a calcite surface was initially studied by surface characteristic analysis, and then further evaluated for its influence on the separation of scheelite from calcite using single mineral flotation and atomic force microscopy (AFM) measurements. The results indicate that calcium ions significantly reduce the hydrophobicity of calcite surface induced by sodium oleate (NaOL) adsorption, while enhancing the adsorption of sodium silicate (SS). In addition, SS forms a strong chemical adsorption on calcite, rendering the surface negatively charged. However, the surface charge diminishes under the combined influence of calcium and silicate ions. AFM measurements further reveal that the adhesion forces between scheelite and calcite are weakened by silicate adsorption. Nevertheless, these forces are markedly restored in the presence of calcium ions, thereby considerably reducing the selectivity of SS and hindering effective particle separation. These findings align with the results of mixed binary flotation, confirming that calcium ions indeed interfere with the separation of scheelite from calcite. Full article
(This article belongs to the Special Issue Interfacial Chemistry of Critical Mineral Flotation)
Show Figures

Figure 1

22 pages, 4081 KB  
Article
Coarse Froth Flotation to Optimise Scheelite Recovery
by Emmanuel Dogara Musa, Julie Hunt, Mohammadbagher Fathi, Owen P. Missen, Greg Doherty and Marcus Mollison
Minerals 2025, 15(11), 1183; https://doi.org/10.3390/min15111183 - 10 Nov 2025
Viewed by 818
Abstract
The flotation of coarse-sized particles is an important step in the pathway to sustainable recovery as it can reduce reagents usage, energy consumption, and environmental impact, as well as minimise overgrinding. This study assessed the floatability of coarse-sized scheelite, a mineral containing the [...] Read more.
The flotation of coarse-sized particles is an important step in the pathway to sustainable recovery as it can reduce reagents usage, energy consumption, and environmental impact, as well as minimise overgrinding. This study assessed the floatability of coarse-sized scheelite, a mineral containing the critical element tungsten (W), using plant-derived samples from the Kara mine magnetite–scheelite skarn deposit in Tasmania, Australia. The recovery of three sizes of coarse-size scheelite (+150, +300, and +425 µm) was tested under optimised conditions determined through laboratory experiments (i.e., 900 rpm, pH 9, collector sodium oleate 5 g/t, and depressant mixture of 4 g/t of sodium silicate and 4 g/t of quebracho). Results show that WO3 recoveries of 91.76% and 84.14% and grades of 61.03% and 58.73%, respectively, were achieved for samples containing the +425 µm and +300 µm size scheelite. These samples had lower mass recoveries (70.95% and 84.15%), reflecting the selective flotation of coarse scheelite. Lower WO3 recovery (79.44%) and grade (45.76%) but higher mass recovery (88.81%) were obtained for the samples with +150 um scheelite. This paper provides details of the test work and provides a framework for adapting coarse scheelite particle flotation strategies to other scheelite skarn deposits and high-density mineral systems to help enable improved recovery and enhanced economic efficiency in mineral processing plants. Full article
Show Figures

Graphical abstract

28 pages, 9877 KB  
Review
Scheelite as a Strategic Tungsten Resource: A Bibliometric Study of Global and Chinese Technology Trends (1999–2024)
by Zhengbo Gao, Lingxiao Gao and Jian Cao
Minerals 2025, 15(11), 1181; https://doi.org/10.3390/min15111181 - 9 Nov 2025
Viewed by 1477
Abstract
The global demand for strategic minerals like scheelite is growing rapidly due to technological advancements and emerging industries, making it a key global resource. However, there is a lack of integrated research on utilization technology of scheelite from a global perspective and exploring [...] Read more.
The global demand for strategic minerals like scheelite is growing rapidly due to technological advancements and emerging industries, making it a key global resource. However, there is a lack of integrated research on utilization technology of scheelite from a global perspective and exploring its future development direction. Bibliometric methods have been widely applied due to their advantages in the analysis of qualitative and quantitative literature information. Based on 1137 publications from the Web of Science Core Collection spanning 1999 to 2024, this study systematically examines the global and Chinese research trajectories and emerging frontiers in scheelite resource utilization technologies. A paradigm shift from fundamental geological and material property studies to green beneficiation, low-carbon metallurgy, and intelligent process optimization has been revealed. Key global research hotspots include flotation separation, surface chemistry regulation, LA-ICP-MS micro-analysis, and photoluminescence properties, whereas China has developed distinctive strengths in complex polymetallic ore separation, leaching kinetics, and tailings valorization. Chinese institutions contribute over 54% of worldwide output, with Central South University leading in publication volume, collaboration networks, and academic impact. Future efforts should prioritize intelligent process control, the efficient separation of complex polymetallic ores, and the high-value recovery of secondary resources. Full article
(This article belongs to the Section Mineral Processing and Extractive Metallurgy)
Show Figures

Figure 1

15 pages, 13512 KB  
Article
Facile Microwave Production and Photocatalytic Activity of Bismuth Vanadate Nanoparticles over the Acid Orange 7
by Nataša Tot, Bojana Vasiljević, Slađana Davidović, Anđela Pustak, Ivan Marić, Jovana Prekodravac Filipović and Dragana Marinković
Processes 2025, 13(11), 3485; https://doi.org/10.3390/pr13113485 - 30 Oct 2025
Cited by 1 | Viewed by 935
Abstract
This work reports the rapid aqueous microwave-assisted synthesis of monoclinic scheelite BiVO4 nanoparticles and their behavior under visible light. X-ray diffraction (XRD) confirms phase-pure BiVO4 with an average crystallite size of ~19 nm, consistent with transmission electron microscopy (TEM) observations, while [...] Read more.
This work reports the rapid aqueous microwave-assisted synthesis of monoclinic scheelite BiVO4 nanoparticles and their behavior under visible light. X-ray diffraction (XRD) confirms phase-pure BiVO4 with an average crystallite size of ~19 nm, consistent with transmission electron microscopy (TEM) observations, while N2 sorption yields a BET surface area of 7.5 m2/g. UV–Vis diffuse reflectance spectroscopy (DRS) indicates a direct band gap of 2.55 eV. We evaluated the effects of catalyst dosage and initial Acid Orange 7 (AO7) concentration on visible-light degradation efficiency. Up to 77% removal was achieved within 120 min, with kinetics following a pseudo-first-order model (R2 ≈ 0.970–0.996). Under the tested conditions, BiVO4 also exhibited a modest antibacterial effect against Escherichia coli (~0.5 log reduction). These findings demonstrate that microwave-synthesized BiVO4 is a multifunctional material and provides a quantitative baseline for practical wastewater treatment studies under visible light. Full article
Show Figures

Figure 1

18 pages, 2718 KB  
Article
From a Scheelite Concentrate (Spanish Origin) to Nanotungsten Derivatives
by Francisco Jose Alguacil
Minerals 2025, 15(10), 1095; https://doi.org/10.3390/min15101095 - 21 Oct 2025
Viewed by 615
Abstract
Tungsten is a series of metals considered strategic by the European Union, so there is great interest in its recovery from both raw materials and secondary products. Within these raw materials, there are cassiterite deposits containing tungsten. It is from one of these [...] Read more.
Tungsten is a series of metals considered strategic by the European Union, so there is great interest in its recovery from both raw materials and secondary products. Within these raw materials, there are cassiterite deposits containing tungsten. It is from one of these deposits (located in the northwest of Spain) that after electrostatic separation, a scheelite concentrate (4.8% tungsten) has been obtained. This concentrate has been processed through two hydrometallurgical procedures. In one case, alkaline leaching in sodium carbonate medium is used to obtain sodium tungstate solutions, which in turn allows synthetic scheelite (calcium tungstate) or tungstic acid to be obtained. The second procedure, which uses acidic leaching (hydrochloric acid medium), yields tungstic acid as the final product. In all of the above cases, the experimental conditions to yield the best tungsten recovery rates are defined. The different products (sodium tungstate solutions and tungstic acid) afforded were used as precursors to yield synthetic scheelite and nanotungsten compounds as amorphous meta- and paratungstate salts and non-stoichiometric tungsten blue oxides. Full article
(This article belongs to the Special Issue Application of Nanomaterials in Mineral Processing)
Show Figures

Figure 1

19 pages, 15681 KB  
Article
Genesis of W Mineralization in the Caledonian Granite Porphyry of the Chuankou W Deposit, South China: Insights from Fluid Inclusions and C–H–O–S Isotopes
by Wei Liu, Yi Wang, Yong-Jun Shao, Wen-Jing Mao and Zhongfa Liu
Appl. Sci. 2025, 15(19), 10553; https://doi.org/10.3390/app151910553 - 29 Sep 2025
Viewed by 654
Abstract
The Chuankou deposit is a super-large W deposit formed during the Indosinian collision event in South China, and its mineralization is suggested to be related to the Indosinian muscovite granite. However, two types of W mineralizations were discovered in the Caledonian granite porphyry [...] Read more.
The Chuankou deposit is a super-large W deposit formed during the Indosinian collision event in South China, and its mineralization is suggested to be related to the Indosinian muscovite granite. However, two types of W mineralizations were discovered in the Caledonian granite porphyry in the Chuankou W deposit: disseminated scheelite and quartz-wolframite-scheelite vein mineralizations. The genesis of W mineralization in the Caledonian granite porphyry is not yet clear. This paper focuses on fluid microthermometry and stable isotopes (C, H, O, S) analysis of the quartz and scheelite in the ores in the Caledonian granite porphyry in the Chuankou W deposit. The aims are to determine the nature and evolution of the ore-forming fluids, the origin of the ore-forming materials involved in the two types of W mineralization in the Caledonian granite porphyry, and to provide a detailed discussion of the deposit’s genesis. Microthermometry results of fluid inclusions with scheelite and quartz from two stages show that the average homogenization temperature in the quartz-veins within the Caledonian granite porphyry is 248 °C, and the average salinity is 6.31 wt.% NaCl eq (n = 85), the average homogenization temperature in the quartz-veins within the slate is 219 °C, and the average salinity is 5.57 wt.% NaCl eq (n = 49). The ore-forming fluids experienced an evolution from high temperature and high salinity to low temperature and low salinity. Sulfur isotope compositions show that the δ34S values of pyrite and arsenopyrite in the quartz-veins within the Caledonian granite porphyry are 2.06 to 3.28‰ and −0.38 to 0.21‰, respectively, and the δ34S value of pyrite in the quartz-veins within the slate is −1.72 to 0.47‰. The δ34S values of each stage are close to 0‰, indicating that the origin of sulfur mainly from magma. The H-O isotope compositions of the quartz indicate that the ore-forming fluid was primarily magmatic water. The low δ18OH2O values (1.74 to 1.58‰) are influenced by fluid–rock interactions or the incorporation of atmospheric precipitation. The carbon isotopes (δ13C = −9.5 to 8.3‰) indicate a magmatic origin, but the C isotopes of quartz in the quartz-veins within the slate shift toward sedimentary rocks, reflecting the incorporation of rock components in the late mineralization period. These isotopic differences indicate that the fluid–rock interaction gradually strengthened during fluid evolution. Full article
(This article belongs to the Section Earth Sciences)
Show Figures

Figure 1

13 pages, 3522 KB  
Article
High-Purity Tungsten Oxide Production from Low-Grade Scheelite Concentrates at Pilot Plant Scale
by Javier Nieto, Lourdes Yurramendi, Javier Antoñanzas and Jose Luis Aldana
Metals 2025, 15(9), 1051; https://doi.org/10.3390/met15091051 - 20 Sep 2025
Viewed by 1120
Abstract
Tungsten is a critical raw material with increasingly important industrial applications. It is primarily found in minerals such as scheelite and wolframite (0.5% W), which are extracted and processed at the mine site to produce a high-grade scheelite concentrate (60% W). This process [...] Read more.
Tungsten is a critical raw material with increasingly important industrial applications. It is primarily found in minerals such as scheelite and wolframite (0.5% W), which are extracted and processed at the mine site to produce a high-grade scheelite concentrate (60% W). This process results in significant tungsten losses in the form of tailings, currently not utilized at the EU level. Deep eutectic solvents and imidazolium-based ionic liquids have been shown to possess excellent utility for recovering tungsten from low-grade concentrates, achieving tungsten oxide (96% purity) at high global yields (80%). In this study, an optimized ionic liquid-based process (involving leaching, solvent extraction, crystallization, and calcination) was developed at the laboratory scale. Important issues such as solvent flammability or the commercial availability of ionic liquids were addressed to ensure the safety and industrial feasibility of the process. Furthermore, a pilot plant was designed, constructed, and operated for a significant period (3 days). Tungsten oxide was produced with improved purity (>99%) and global yield (91.6%) in continuous operation. Full article
Show Figures

Figure 1

14 pages, 2515 KB  
Article
Dihexyl (2-(Hydroxyamino)-2-Oxoethyl) Phosphonate as a Novel Collector for Flotation Separation of Scheelite and Quartz
by Jingjing Xiao, Pan Xiao, Yongjun Miao, Sisi Liu, Jia Tu, Qing Tang, Changzhu Li, Zhihong Xiao and Rukuan Liu
Molecules 2025, 30(17), 3607; https://doi.org/10.3390/molecules30173607 - 3 Sep 2025
Cited by 1 | Viewed by 1228
Abstract
In this paper, a novel collector dihexyl (2-(hydroxyamino)-2-oxoethyl) phosphonate (DHHAOEP) was synthesized and used as a flotation collector to separate scheelite from quartz. Micro-flotation experiments demonstrated that DHHAOEP can effectively separate scheelite from quartz within a pH range of 6–9. Artificial mixed ores [...] Read more.
In this paper, a novel collector dihexyl (2-(hydroxyamino)-2-oxoethyl) phosphonate (DHHAOEP) was synthesized and used as a flotation collector to separate scheelite from quartz. Micro-flotation experiments demonstrated that DHHAOEP can effectively separate scheelite from quartz within a pH range of 6–9. Artificial mixed ores flotation experiments revealed that at a pH of approximately 8 and a DHHAOEP concentration of 8 × 10−5 mol/L, the flotation recovery of scheelite reached 73% with a grade of 54%. The contact angle and Zeta potential measurements showed that the addition of DHHAOEP caused a positive shift in the zeta potential and enhanced the surface hydrophobicity of scheelite. The FTIR, XPS, and DFT analyses further elucidated that DHHAOEP anchored on the scheelite surface through the bonding reaction between its -C(=O)-NHOH moiety and WO42− or Ca active sites on the scheelite surface, forming a five-membered ring. Meanwhile, the existence of the P=O group makes the distance between oxygen atoms in -C(=O)-NHOH very close to that in WO42+, which is beneficial to the reaction. The present work aims to develop a novel flotation collector with multi-functional groups to enhance scheelite recovery efficiency and selectivity. Full article
Show Figures

Figure 1

14 pages, 2536 KB  
Article
Geochemistry and Genetic Significance of Scheelite in the Nanwenhe Tungsten Deposit, Yunnan Province, Southwestern China
by Wei Wang, Shao-Yong Jiang, Kexin Wang, Yu-Ying Che and Shugang Xiao
Minerals 2025, 15(8), 875; https://doi.org/10.3390/min15080875 - 20 Aug 2025
Viewed by 1055
Abstract
The Nanwenhe tungsten deposit is located in the southeastern Yunnan Laojunshan mineral district and is hosted in the Paleoproterozoic Mengsong Group strata. It can be divided into two periods and four stages: skarn (early and late) and the vein type (feldspar–quartz–scheelite–tourmaline and calcite. [...] Read more.
The Nanwenhe tungsten deposit is located in the southeastern Yunnan Laojunshan mineral district and is hosted in the Paleoproterozoic Mengsong Group strata. It can be divided into two periods and four stages: skarn (early and late) and the vein type (feldspar–quartz–scheelite–tourmaline and calcite. There are two types of scheelite occurrences: one in skarn (Sch-1) and the other in feldspar–quartz–scheelite–tourmaline veins (Sch-2). The latter is further divided into two types: Sch-2a and Sch-2b. The REE content and Eu anomaly of skarn scheelite (Sch-1) are affected by early mineral crystallization; Sch-2a in feldspar–quartz–scheelite–tourmaline veins forms in a Na+-rich environment, and Eu2+ released into the fluid through hydrolysis may have largely entered tourmaline, resulting in the weak positive Eu anomaly of Sch-2a; the negative Eu anomaly of Sch-2b is likely inherited from the metamorphic fluid. The mineralization is likely closely related to the metamorphic fluid activity generated by the tensional structural environment at the end and after the regional uplift, forming ore by reducing fluids associated with regional metamorphism. The Laojunshan mineral district hosts several tungsten and tin polymetallic deposits and occurrences that share similar geological characteristics with the Nanwenhe tungsten deposit. No granite bodies related to mineralization have been identified within the mining area. Therefore, research on the genesis of the Nanwenhe tungsten deposit holds significant value for guiding exploration efforts. Full article
(This article belongs to the Special Issue Recent Developments in Rare Metal Mineral Deposits)
Show Figures

Figure 1

27 pages, 10368 KB  
Article
Hydrothermal Scheelite Associated with Upper Cretaceous Intrusions in Romania: A Mineralogical Insight to the W Metallogeny
by Ştefan Marincea, Delia-Georgeta Dumitraş, Cristina Sava Ghineț, George Dincă, Aurora-Măruța Iancu, Frédéric Hatert, Martin Depret and Gelu Costin
Minerals 2025, 15(8), 854; https://doi.org/10.3390/min15080854 - 13 Aug 2025
Viewed by 942
Abstract
Hydrothermal scheelite from three Romanian occurrences was analyzed in order to ascertain its structural, physical, vibrational, paragenetic, and crystal-chemical peculiarities as an important tool for characterizing the metallogenetic behavior and facilitating the ore-processing. All three occurrences, i.e., Ciclova and Oravița in Banat and [...] Read more.
Hydrothermal scheelite from three Romanian occurrences was analyzed in order to ascertain its structural, physical, vibrational, paragenetic, and crystal-chemical peculiarities as an important tool for characterizing the metallogenetic behavior and facilitating the ore-processing. All three occurrences, i.e., Ciclova and Oravița in Banat and Băița Bihor in the Bihor Mountains, are related to skarn deposits developed at the contact of Upper Cretaceous granodioritic bodies with Mesozoic calcareous deposits. Typical crystals show {001}, {111}, and {101} forms and are up to 15 mm across. The structure was successfully refined as tetragonal, space group I41/a, with R1 = 0.0165 (Ciclova), 0.0204 (Oravița), and 0.0237 (Băița Bihor), respectively. The cell parameters refined for the same samples are a = 5.2459(10) Å and c = 11.3777(5) Å at Ciclova, a = 5.2380(2) Å and c = 11.3679(8) Å at Oravița, and a = 5.2409(2) Å and c = 11.3705(6) Å at Băița Bihor. The multiplicity of bands in both infrared absorption and Raman spectra is consistent with the S4 punctual symmetry of the tungstate anion, agreeing with the structural data. In all cases, the analyzed scheelite is close to the CaWO4 end-member. Cathodoluminescence peculiarities at the level of single crystals suggest that they crystallized in a slightly oxidizing to reducing environment from late hydrothermal solutions. Textural and paragenetic peculiarities suggest that scheelite from the three occurrences crystallized from epithermal, low-temperature, fluoride- and boron-bearing aqueous solutions. Full article
(This article belongs to the Special Issue Igneous Rocks and Related Mineral Deposits)
Show Figures

Figure 1

Back to TopTop