Ventilation Prediction for an Industrial Cement Raw Ball Mill by BNN—A “Conscious Lab” Approach
Abstract
1. Introduction
2. Materials and Methods
2.1. Database
2.2. AI Models
2.2.1. Boosted Neural Network
2.2.2. Random Forest
2.2.3. Support Vector Regression
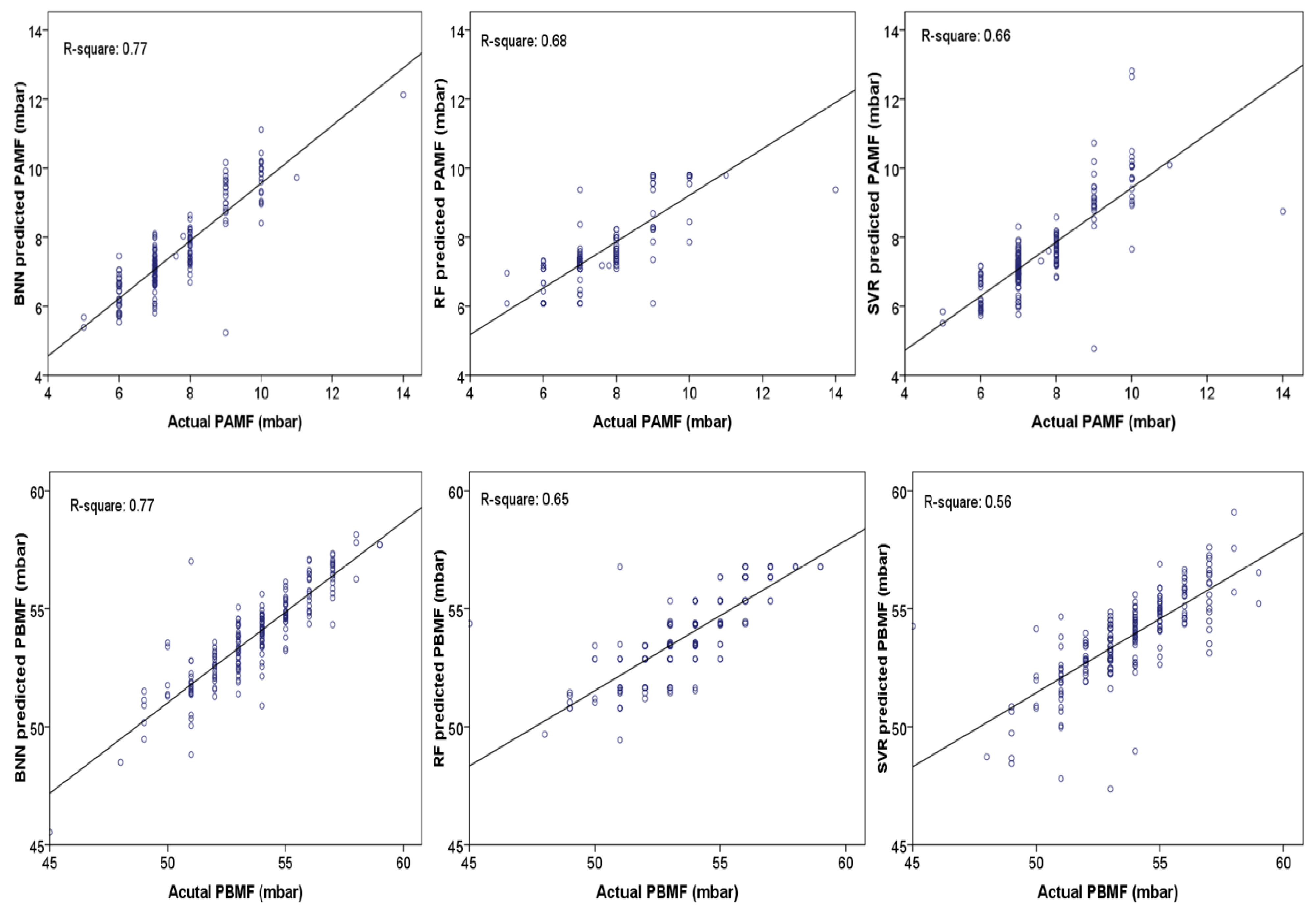
3. Results and Discussion
3.1. Variable Importance Measurement
3.2. Prediction
4. Conclusions
Author Contributions
Funding
Institutional Review Board Statement
Informed Consent Statement
Data Availability Statement
Acknowledgments
Conflicts of Interest
References
- Jankovic, A.; Valery, W.; Davis, E. Cement grinding optimisation. Miner. Eng. 2004, 17, 1075–1081. [Google Scholar] [CrossRef]
- Oss, H.G.; Padovani, A.C. Cement Manufacture and the Environment Part II: Environmental Challenges and Opportunities. J. Ind. Ecol. 2003, 7, 93–126. [Google Scholar] [CrossRef]
- Lynch, A.J.; Bush, P. Mineral Crushing and Grinding Circuits: Their Simulation, Optimisation, Design and Control; Elsevier: Amsterdam, The Netherlands, 1977. [Google Scholar]
- Ghalandari, V.; Iranmanesh, A. Energy and exergy analyses for a cement ball mill of a new generation cement plant and optimizing grinding process: A case study. Adv. Powder Technol. 2020, 31, 1796–1810. [Google Scholar] [CrossRef]
- Ghalandari, V.; Esmaeilpour, M.; Payvar, N.; Reza, M.T. A case study on energy and exergy analyses for an industrial-scale vertical roller mill assisted grinding in cement plant. Adv. Powder Technol. 2021, 32, 480–491. [Google Scholar] [CrossRef]
- Perković, B.; Mazurkijevič, A.; Tarasek, V.; Stević, L. TTP Kostolac unit 2 refurbishment and improvement aiming to obtained designed production. Termotehnika 2004, 30, 57–81. [Google Scholar]
- Kozic, M.; Ristic, S.; Puharic, M.; Katavic, B. Numerical simulation of multiphase flow in ventilation mill and channel with louvers and centrifugal separator. Therm. Sci. 2011, 15, 677–689. [Google Scholar] [CrossRef]
- Gulič, M. Calculation of Fan Mill, Beograd. 1982. [Google Scholar]
- Yuan, Y.; Zhang, Y.; Cao, H.; Si, G.; Zhang, S.; Xie, Q. Nonlinear prediction model for ventilation of ball mill pulverizing system. In Proceedings of the 2016 35th Chinese Control Conference (CCC), Chengdu, Chian, 27–29 July 2016; pp. 2025–2028. [Google Scholar] [CrossRef]
- Özer, C.; Ergün, S.; Benzer, A. Modeling of the classification behavior of the diaphragms used in multi-chamber cement mills. Int. J. Miner. Process. 2006, 80, 58–70. [Google Scholar] [CrossRef]
- Altun, O.; Benzer, H.; Dundar, H.; Aydogan, N.A. Comparison of open and closed circuit HPGR application on dry grinding circuit performance. Miner. Eng. 2011, 24, 267–275. [Google Scholar] [CrossRef]
- Stanišić, D.; Jorgovanović, N.; Popov, N.; Čongradac, V. Soft sensor for real-time cement fineness estimation. ISA Trans. 2015, 55, 250–259. [Google Scholar] [CrossRef]
- Tohry, A.; Yazdani, S.; Hadavandi, E.; Mahmudzadeh, E.; Chelgani, S.C. Advanced modeling of HPGR power consumption based on operational parameters by BNN: A “Conscious-Lab” development. Powder Technol. 2021, 381, 280–284. [Google Scholar] [CrossRef]
- Alidokht, M.; Yazdani, S.; Hadavandi, E.; Chelgani, S.C. Modeling metallurgical responses of coal Tri-Flo separators by a novel BNN: A “Conscious-Lab” development. Int. J. Coal Sci. Technol. 2021, 1–11. [Google Scholar] [CrossRef]
- Ozdemir, A.C.; Dag, A.; Ibrikci, T. A Comparative Assessment on Cement Raw Material Quarry Quality Distribution via 3-D Identification. J. Min. Sci. 2018, 54, 609–616. [Google Scholar] [CrossRef]
- Seraj, M.; Shooredeli, M.A. Data-driven predictor and soft-sensor models of a cement grate cooler based on neural network and effective dynamics. Iran. Conf. Electr. Eng. 2017, 2017, 726–731. [Google Scholar] [CrossRef]
- Hadavandi, E.; Shahrabi, J.; Hayashi, Y. SPMoE: A novel subspace-projected mixture of experts model for multi-target regression problems. Soft Comput. 2015, 20, 2047–2065. [Google Scholar] [CrossRef]
- Hadavandi, E.; Shahrabi, J.; Shamshirband, S. A novel Boosted-neural network ensemble for modeling multi-target regression problems. Eng. Appl. Artif. Intell. 2015, 45, 204–219. [Google Scholar] [CrossRef]
- Golzadeh, M.; Hadavandi, E.; Chelgani, S.C. A new Ensemble based multi-agent system for prediction problems: Case study of modeling coal free swelling index. Appl. Soft Comput. J. 2018, 64, 109–125. [Google Scholar] [CrossRef]
- Fox, J.; Weisberg, S. An R Companion to Applied Regression; Sage Publications: Thousand Oaks, CA, USA, 2018. [Google Scholar]
- Carver, R. Practical Data Analysis with JMP; SAS Institute: Cary, NC, USA, 2019. [Google Scholar]
- Chelgani, S.C.; Hadavandi, E.; Hower, J.C. Estimation of heavy and light rare earth elements of coal by intelligent methods. Energy Sources Part A Recover. Util. Environ. Eff. 2021, 43, 70–79. [Google Scholar] [CrossRef]
- Breiman, L.; Friedman, J.H.; Olshen, R.A.; Stone, C.J. Classification and Regression Trees; Chapman and Hall/CRC: London, UK, 1984. [Google Scholar]
- Matin, S.; Hower, J.C.; Farahzadi, L.; Chelgani, S.C. Explaining relationships among various coal analyses with coal grindability index by Random Forest. Int. J. Miner. Process. 2016, 155, 140–146. [Google Scholar] [CrossRef]
- Chelgani, S.C.; Matin, S.; Makaremi, S. Modeling of free swelling index based on variable importance measurements of parent coal properties by random forest method. Meas. J. Int. Meas. Confed. 2016, 94, 416–422. [Google Scholar] [CrossRef]
- Shahbazi, B.; Chelgani, S.C.; Matin, S. Prediction of froth flotation responses based on various conditioning parameters by Random Forest method. Colloids Surfaces A Physicochem. Eng. Asp. 2017, 529, 936–941. [Google Scholar] [CrossRef]
- Nazari, S.; Chelgani, S.C.; Shafaei, S.; Shahbazi, B.; Matin, S.; Gharabaghi, M. Flotation of coarse particles by hydrodynamic cavitation generated in the presence of conventional reagents. Sep. Purif. Technol. 2019, 220, 61–68. [Google Scholar] [CrossRef]
- Chelgani, S.C.; Matin, S.S. Study the relationship between coal properties with Gieseler plasticity parameters by random forest. Int. J. Oil Gas Coal Technol. 2018, 17, 113–127. [Google Scholar] [CrossRef]
- Tohry, A.; Chelgani, S.C.; Matin, S.; Noormohammadi, M. Power-draw prediction by random forest based on operating parameters for an industrial ball mill. Adv. Powder Technol. 2020, 31, 967–972. [Google Scholar] [CrossRef]
- Drucker, H.; Burges, C.J.; Kaufman, L.; Smola, A.; Vapnik, V. Support vector regression machines. Adv. Neural Inf. Process. Syst. 1996, 9, 155–161. [Google Scholar]
- Chelgani, S.C.; Shahbazi, B.; Hadavandi, E. Support vector regression modeling of coal flotation based on variable importance measurements by mutual information method. Meas. J. Int. Meas. Confed. 2018, 114, 102–108. [Google Scholar] [CrossRef]
- Hadavandi, E.; Hower, J.C.; Chelgani, S.C. Modeling of gross calorific value based on coal properties by support vector regression method. Model. Earth Syst. Environ. 2017, 3, 37. [Google Scholar] [CrossRef]
- Hadavandi, E.; Chelgani, S.C. Estimation of coking indexes based on parental coal properties by variable importance measurement and boosted-support vector regression method. Meas. J. Int. Meas. Confed. 2019, 135, 306–311. [Google Scholar] [CrossRef]
- Chelgani, S.C.; Hadavandi, E.; Hower, J.C. Study Relationship Between the Coal Thermoplastic Factor With Its Organic and Inorganic Properties by the Support Vector Regression Method. Int. J. Coal Prep. Util. 2020, 40, 743–754. [Google Scholar] [CrossRef]
- McKervey, G.; Perry, B. Fan applications in cement industry. IEEE Cem. Ind. Tech. Conf. 1993, 467–476. [Google Scholar]
- Zachariades, P. Development of a Tube-Ball Mill Mathematical Model for Mill Condi-tion and Safety Monitoring. Ph. D. Thesis, University of Birmingham, Birmingham, UK, 2015. [Google Scholar]



| Variables | Minimum | Maximum | Mean | Std. Deviation |
|---|---|---|---|---|
| Temperature of exhaust electro filter °C | 50 | 260 | 119.90 | 12.85 |
| HVP (1) (KV) | 7 | 596 | 62.90 | 129.80 |
| HVP (2) (KV) | 31 | 74 | 67.00 | 3.60 |
| Electro filter duct pressure (mbar) | 1 | 41 | 14.33 | 1.99 |
| Inlet electro filter temperature °C | 44 | 173 | 106.14 | 7.55 |
| Electro filter damper fan (%) | 15 | 100 | 98.93 | 7.49 |
| Electro filter fan (A) | 22 | 89 | 38.75 | 3.47 |
| Mill fan duct temperature °C | 2 | 115 | 79.39 | 7.50 |
| After mill fan pressure (mbar) | 4 | 18 | 7.52 | 1.32 |
| Before mill fan (mbar) | 39 | 64 | 53.88 | 2.30 |
| Mill fan motor (A) | 6 | 84 | 62.33 | 2.48 |
| Mill fan damper (%) | 80 | 100 | 99.90 | 1.25 |
| Hot air damper (%) | 46 | 100 | 57.30 | 11.82 |
| Separator rotor (rpm) | 17 | 50 | 22.64 | 3.92 |
| After separator fan pressure (mbar) | 0 | 109 | 2.28 | 2.52 |
| Total feed (ton) | 18 | 230 | 191.01 | 17.67 |
| Mix bin feeders (ton) | 18 | 220 | 180.1 | 18.95 |
| Damper of separator fan (%) | 35 | 95 | 51.75 | 6.79 |
| Before mill fan pressure (mbar) | 9 | 73 | 14.17 | 2.48 |
| Separator outlet temperature °C | 43 | 112 | 73.63 | 7.79 |
| Separator fan (A) | 26 | 180 | 29.94 | 3.45 |
| Separator motor (A) | 12 | 1173 | 119.56 | 23.49 |
| Airlift blower2 (A) | 15 | 264 | 170.84 | 12.05 |
| Airlift blower1 (A) | 17 | 198 | 172.76 | 11.18 |
| Buck elevator motor2 (A) | 40 | 87 | 54.54 | 3.15 |
| Buck elevator motor1 (A) | 42 | 72 | 53.88 | 4.00 |
| Main motor2 (A) | 23 | 841 | 241.36 | 20.50 |
| Main motor1 (A) | 205 | 2369 | 241.39 | 47.23 |
| Mill outlet pressure (mbar) | 24 | 369 | 35.63 | 7.85 |
| Mill inlet pressure (mbar) | 2 | 14 | 9.59 | 0.96 |
| Main gearbox2 temperature °C | 12 | 60 | 35.79 | 6.63 |
| Main gearbox1 temperature °C | 14 | 56 | 40.90 | 5.97 |
| Outlet bearing temperature °C | 30 | 64 | 51.37 | 5.52 |
| Inlet bearing temperature °C | 28 | 59 | 44.80 | 4.85 |
| Mill outlet temperature °C | 41 | 124 | 80.29 | 7.30 |
| Mill inlet temperature °C | 69 | 498 | 281.90 | 22.48 |
| Circulating load (ton) | 4 | 468 | 143.03 | 64.47 |
| PAMF | PBMF | |||
|---|---|---|---|---|
| Model | MAE | RMSE | MAE | RMSE |
| BNN | 0.43 | 0.60 | 0.77 | 1.06 |
| SVR | 0.45 | 0.76 | 0.98 | 1.46 |
| RF | 0.48 | 0.71 | 0.91 | 1.31 |
Publisher’s Note: MDPI stays neutral with regard to jurisdictional claims in published maps and institutional affiliations. |
© 2021 by the authors. Licensee MDPI, Basel, Switzerland. This article is an open access article distributed under the terms and conditions of the Creative Commons Attribution (CC BY) license (https://creativecommons.org/licenses/by/4.0/).
Share and Cite
Fatahi, R.; Khosravi, R.; Siavoshi, H.; Yazdani, S.; Hadavandi, E.; Chehreh Chelgani, S. Ventilation Prediction for an Industrial Cement Raw Ball Mill by BNN—A “Conscious Lab” Approach. Materials 2021, 14, 3220. https://doi.org/10.3390/ma14123220
Fatahi R, Khosravi R, Siavoshi H, Yazdani S, Hadavandi E, Chehreh Chelgani S. Ventilation Prediction for an Industrial Cement Raw Ball Mill by BNN—A “Conscious Lab” Approach. Materials. 2021; 14(12):3220. https://doi.org/10.3390/ma14123220
Chicago/Turabian StyleFatahi, Rasoul, Rasoul Khosravi, Hossein Siavoshi, Samaneh Yazdani, Esmaiel Hadavandi, and Saeed Chehreh Chelgani. 2021. "Ventilation Prediction for an Industrial Cement Raw Ball Mill by BNN—A “Conscious Lab” Approach" Materials 14, no. 12: 3220. https://doi.org/10.3390/ma14123220
APA StyleFatahi, R., Khosravi, R., Siavoshi, H., Yazdani, S., Hadavandi, E., & Chehreh Chelgani, S. (2021). Ventilation Prediction for an Industrial Cement Raw Ball Mill by BNN—A “Conscious Lab” Approach. Materials, 14(12), 3220. https://doi.org/10.3390/ma14123220

