Preparation of MWCNT Microbeads for the Application of Bed Materials in a Fluidized Bed Heat Exchanger
Abstract
1. Introduction
2. Materials and Methods
2.1. Material
2.2. Method
2.3. Characterization
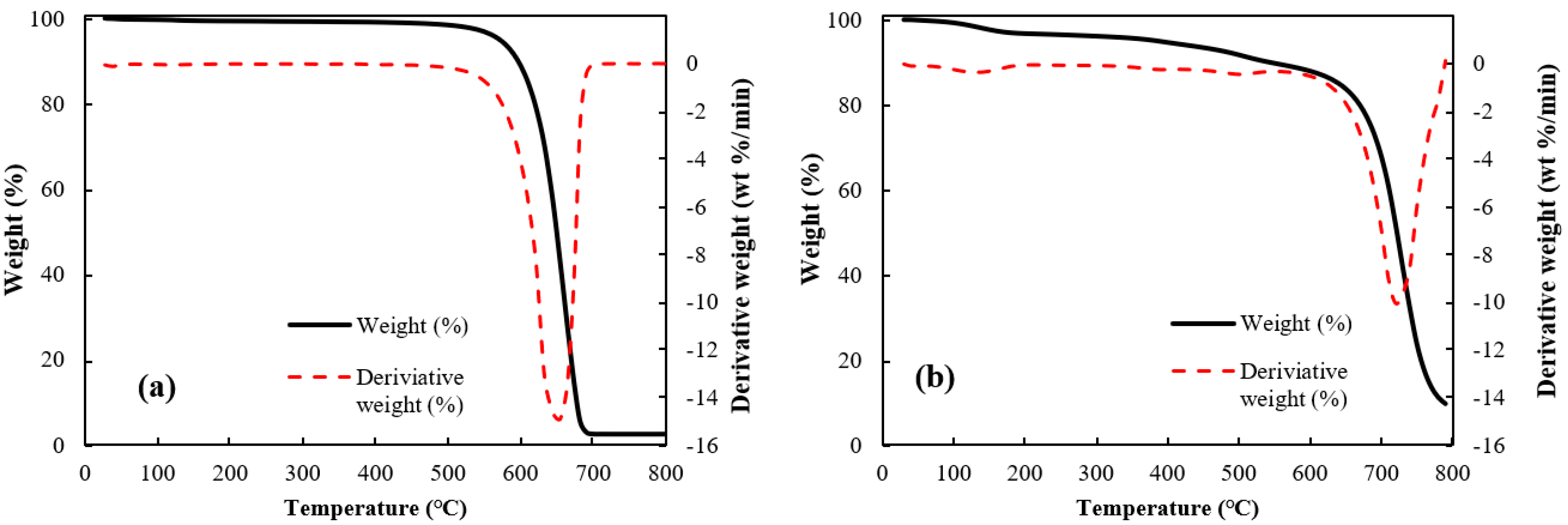
3. Results and Discussion
3.1. Physical and Thermal Properties
3.2. Fluidization Characteristics of CNT Microbeads
4. Conclusions
Author Contributions
Funding
Acknowledgments
Conflicts of Interest
References
- Kunii, D.; Levenspiel, O. Fluidization Engineering, 2nd ed.; Butterworth-Heinemann: Oxford, UK, 1991; pp. 61–94. [Google Scholar]
- Yang, W. Handbook of Fluidization and Fluid-Particle Systems; Marcel Deckker Inc.: New York, NY, USA, 2003; pp. 1–27. [Google Scholar]
- Kim, S.W.; Yeo, C.E.; Lee, D.Y. Effect of Fines Content on Fluidity of FCC Catalysts for Stable Operation of Fluid Catalytic Cracking Unit. Energies 2019, 12, 293. [Google Scholar] [CrossRef]
- Tamadondar, M.R.; Zarghami, R.; Tahmasebpoor, M.; Mostoufi, M. Characterization of the bubbling fluidization of nanoparticles. Particuology 2014, 16, 75–83. [Google Scholar] [CrossRef]
- Zhu, X.; Zhang, Q.; Wang, Y.; Wei, F. Review on the nanoparticle fluidization science and technology. Chin. J. Chem. Eng. 2016, 24, 9–22. [Google Scholar] [CrossRef]
- Kim, S.W. Effect of height on CNT aggregates size and shape in freeboard region of a fluidized bed. Korean Chem. Eng. Res. 2019, 57, 105–110. [Google Scholar]
- Kim, S.W. Measurement of carbon nanotube agglomerates size and shape in dilute phase of a fluidized bed. Korean Chem. Eng. Res. 2017, 55, 646–651. [Google Scholar]
- Kim, S.W. Effect of particle size on carbon nanotube aggregates behavior in dilute phase of a fluidized bed. Processes 2018, 6, 121. [Google Scholar] [CrossRef]
- Cocco, R.; Karri, S.B.R.; Knowlton, T. Introduction to fluidization. Chem. Eng. Prog. 2014, 110, 21–29. [Google Scholar]
- Kim, Y.B.; Kang, S.Y.; Seo, S.B.; Keel, S.I.; Yun, J.H.; Lee, S.H. The Attrition and Calcination Characteristics of Domestic Limestones for In-Situ Desulfurization in Circulating Fluidized Bed Boilers. Korean Chem. Eng. Res. 2019, 57, 687–694. [Google Scholar]
- Bahr, J.L.; Mickelson, E.T.; Bronikowski, M.J.; Smalley, R.E.; Tour, J.M. Dissolution of small diameter single-wall carbon nanotubes in organic solvents? Chem. Commun. 2001, 2, 193–194. [Google Scholar] [CrossRef]
- Furtado, C.A.; Kim, U.J.; Gutierrez, H.R.; Pan, L.; Dickey, E.C.; Eklund, P.C. Debundling and dissolution of single-walled carbon nanotubes in amide solvents. J. Am. Chem. Soc. 2004, 126, 6095–6105. [Google Scholar] [CrossRef]
- Chiou, K.; Byun, S.; Kim, J.; Huang, J. Additive-free carbon nanotube dispersions, pastes, gels, and doughs in cresols. Proc. Natl. Acad. Sci. USA 2018, 115, 5703–5708. [Google Scholar] [CrossRef] [PubMed]
- Shen, Y.; Du, A.; Wu, X.L. Low-cost carbon nanotube aerogels with varying and controllable density. J. Sol-Gel Sci. Technol. 2016, 79, 76–82. [Google Scholar] [CrossRef]
- Kang, D.Y.; Moon, J.H. Carbon nanotube balls and their application in supercapacitors. ACS Appl. Mater. Interfaces 2014, 6, 706–711. [Google Scholar] [CrossRef] [PubMed]
- Geldart, D. Types of gas fluidization. Powder Technol. 1973, 7, 285–292. [Google Scholar] [CrossRef]
- Lee, M.J.; Kim, S.W. Imaging method for measurements of particle density and solid holdup of entangled MWCNTs in a fluidized bed. Materials 2019, 12, 2035. [Google Scholar] [CrossRef] [PubMed]
- ASTM D854-14. Standard Test Methods for Specific Gravity of Soil Solids by Water Pycnometer; ASTM International: West Conshohocken, PA, USA, 2014. [Google Scholar]
- ImageJ. Available online: https://imagej.nih.gov/ij/ (accessed on 21 September 2019).
- ASTM C 1444-00. Standard Test Method for Measuring the Angle of Repose of Free-Flowing Mol Powders; ASTM International: West Conshohocken, PA, USA, 2005. [Google Scholar]
- Yu, Y.; Zhu, M.; Fang, J. Structure and thermal properties of millimeter-scale alumina aerogel beads formed by a modified ball dropping method. RSC Adv. 2017, 7, 1540–1545. [Google Scholar] [CrossRef]
- Futaba, D.N.; Hata, K.; Yamada, T.; Hiraoka, T.; Hayamizu, Y.; Kakudate, Y.; Tanaike, O.; Hatori, H.; Yumura, M.; Iijima, S. Shape-engineerable and highly densely packed single-walled carbon nanotubes and their application as super-capacitor electrodes. Nat. Mater. 2006, 5, 987–994. [Google Scholar] [CrossRef]
- Macdiarmid, A.G.; Epstein, A.J. The concept of secondary doping as applied to polyaniline. Synth. Met. 1994, 65, 103–116. [Google Scholar] [CrossRef]
- Kumanek, B.; Janas, D. Thermal conductivity of carbon nanotube networks: a review. J. Mater. Sci. 2019, 54, 7397–7427. [Google Scholar] [CrossRef]
- Aliev, A.E.; Lima, M.H.; Silverman, E.M.; Baughman, R.H. Thermal conductivity of multi-walled carbon nanotube sheets: radiation losses and quenching of phonon modes. Nanotechnology 2010, 21, 035709. [Google Scholar] [CrossRef]
- Liu, Y.; Ba, H.; Nguyen, D.; Ersen, O.; Romero, T.; Zafeiratos, S.; Begin, D.; Janowska, I.; Pham-Huu, C. Synthesis of porous carbon nanotubes foam composites with a high accessible surface area and tunable porosity. J. Mater. Chem. A. 2013, 1, 9508–9516. [Google Scholar] [CrossRef]
- Jia, T.; Huang, J.; Li, R.; He, P.; Dai, Y. Status and prospect of solar heat for industrial processes in China. Renewable Sustainable Energy Rev. 2019, 90, 475–489. [Google Scholar] [CrossRef]
- Han, M.; Zhou, Y.; Zhu, J. Improvement on flowability and fluidization of group C particles after nanoparticle modification. Powder Technol. 2019. [Google Scholar] [CrossRef]
- Al-Hashemi, H.M.B.; Al-Amoudi, O.S.B. A review on the angle of repose of granular materials. Powder Technol. 2018, 330, 397–417. [Google Scholar] [CrossRef]
- Carr, R.L. Classifying flow properties of solids. Chem. Eng. 1965, 72, 69–72. [Google Scholar]
- Anantharaman, A.; Cocco, R.A.; Chew, J.W. Evaluation of correlations for minimum fluidization velocity (Umf) in gas–solid fluidization. Powder Technol. 2018, 323, 454–485. [Google Scholar] [CrossRef]
- Zhu, C.; Yu, Q.; Dave, R.N. Gas fluidization characteristics of nanoparticle agglomerates. Aiche J. 2005, 51, 426–439. [Google Scholar] [CrossRef]
- Lee, M.J.; Park, S.H.; Kim, S.W. Hydrodynamics of vertically aligned carbon nanotube particles in a fluidized bed. In Proceedings of the 23rd International Conference on FBC, Seoul, Korea, 13–17 May 2018; pp. 1220–1225. [Google Scholar]
- Kim, S.W.; Kim, S.D. Heat transfer characteristics in a pressurized fluidized bed of fine particles with immersed horizontal tube bundle. Int. J. Heat Mass Transfer. 2013, 64, 269–277. [Google Scholar] [CrossRef]







| Type | MWCNT Powder | Case I | Case II |
|---|---|---|---|
| Particle Density (kg/m3) | 31 | 400 (0.43) d | 352 (0.93) d |
| Bulk Density (kg/m3) | 19 | 182 (0.54) d | 179 (0.47) d |
| Particle Diameter, dp (μm) | 311 a | 1600 b. | 1855 b. |
| 921 c. | 956 c. | ||
| Circularity. (-) | 0.60 | 0.799 (3.6) d | 0.843 (7.6) d |
| Solidity. (-) | 0.825 | 0.888 (1.8) d | 0.910 (1.7) d |
| Type | MWCNT Powder | Case I | Case II |
|---|---|---|---|
| Thermal Conductivity (Bulk Basis), ks (W/mK) a. | 0.032 | 1.18 (0.87) c | 1.17 (1.25) c |
| Heat Capacity, Cps (J/kg K) b. | 721 | 979 (0.04) c | 978 (0.04) c |
© 2020 by the authors. Licensee MDPI, Basel, Switzerland. This article is an open access article distributed under the terms and conditions of the Creative Commons Attribution (CC BY) license (http://creativecommons.org/licenses/by/4.0/).
Share and Cite
Lee, M.J.; Kim, S.W. Preparation of MWCNT Microbeads for the Application of Bed Materials in a Fluidized Bed Heat Exchanger. Materials 2020, 13, 1289. https://doi.org/10.3390/ma13061289
Lee MJ, Kim SW. Preparation of MWCNT Microbeads for the Application of Bed Materials in a Fluidized Bed Heat Exchanger. Materials. 2020; 13(6):1289. https://doi.org/10.3390/ma13061289
Chicago/Turabian StyleLee, Min Ji, and Sung Won Kim. 2020. "Preparation of MWCNT Microbeads for the Application of Bed Materials in a Fluidized Bed Heat Exchanger" Materials 13, no. 6: 1289. https://doi.org/10.3390/ma13061289
APA StyleLee, M. J., & Kim, S. W. (2020). Preparation of MWCNT Microbeads for the Application of Bed Materials in a Fluidized Bed Heat Exchanger. Materials, 13(6), 1289. https://doi.org/10.3390/ma13061289

