Plasma Parameters and Etching Characteristics of SiOxNy Films in CF4 + O2 + X (X = C4F8 or CF2Br2) Gas Mixtures
Abstract
1. Introduction
- 1)
- The patterning of these materials is normally provided by the CxFy gas family (CF4, C2F6, C3F6, C4F8) under reactive-ion etching (RIE) conditions. The mixing of any fluorocarbon gas with Ar and/or O2 as well as the combination of two CxFy components with different C/F ratios in one gas mixture allows the flexible adjustment of etching kinetics, residues and pattern profile through changes in both F atom density and deposition/removal balance for the fluorocarbon polymer film [8,11,12,13,14].
- 2)
- The heterogeneous reaction F + Si-O → Si-F + O has a sufficient energy threshold (as the Si-O bond of ~799 kJ/mol is stronger than the Si-F one of ~552 kJ/mol [19]) and cannot occur spontaneously at typical process temperatures. Accordingly, the dry etching of SiO2 requires ion bombardment which produces adsorption sites for F atoms (through the destruction of Si-O bonds) and cleans the surface from non-saturated SiFx compounds [2,6,7,8,9,20]. Ion energies above 150–200 eV surely provide the reaction-rate-limited etching regime where the change in SiO2 etching rate follows the behavior of F atom density [2,6,21].
- 3)
- The heterogeneous reaction F + Si-N → Si-F + N is possible (as the Si-N bond of ~470 kJ/mol is weaker compared with the Si-F one [19]), but the Si3N4 etching rate exhibits an evident acceleration by ion bombardment [12]. The latter is probably due to the higher adsorption probability of etchant species on partially liberated silicon atoms. Accordingly, under conditions of the RIE process, Si3N4 also demonstrates the reaction-rate-limited etching regime [9,10,11,12] and is characterized by much higher absolute etching rates compared with SiO2 [11,12]. In addition, the thickness of the fluorocarbon polymer film on Si3N4 was found to be higher compared with SiO2 (that looks quite expectable for oxygen-free and oxygen-containing surfaces), but lower than that on Si [8,15]. The last effect is obviously connected with the lower sticking probability for polymerizing radicals [13].
- 4)
- Etching characteristics of SiOxNy films has received much less attention compared with silicon dioxide and silicon nitride. From several published works, it can be understood that: (a) under typical RIE conditions, SiOxNy etching kinetics is also controlled by the F atom density [22]; (b) an increase in O/N ratio expectably reduces the SiOxNy etching rate [17,18], as this corresponds to the transition from Si3N4 to SiO2; and (c) the etching damage changes the O/N ratio on the treated surface and thus influences the refractive index in respect to the as-deposited film [16,17]. At the same time, existing studies do not provide a comparison of etching kinetics and mechanisms with different gas chemistries, including chemistries with two fluorocarbon components. Such a situation retards the development of the effective dry etching technology for SiOxNy films.
2. Experimental Part and Data Analysis
2.1. Experimental Setup and Procedures
2.2. Approaches for the Analysis of Etching Kinetics
- 1)
- The experimentally obtained etching rate is composed of two summands, . The first summand represents the rate of physical sputtering [38,39], where ~ [39] is the sputtering yield, is the ion bombardment energy, is the floating potential, and is the flux of positive ions. The second summand represents the rate of ion-assisted chemical reaction [22,35,38], where [22,35] is the effective reaction probability, is the sticking probability for etchant species on the free adsorption site, and is the fraction of adsorption sites occupied by reaction products, and is the thermal flux of F atoms with the gas-phase density of . As such, even if the nearly constant surface temperature provides ≈ const, exhibits the sensitivity to changes in processing conditions through the fraction of free adsorption sites .
- 2)
- 3)
- The decomposition of the fluorocarbon polymer film appears through both physical (sputtering by ion bombardment) and chemical (interaction with oxygen atoms) pathways [13,14,39]. Under the given process conditions (low-oxygenated plasma, constant O2 fraction in a feed gas), the relative change in the polymer film thickness may be traced by the parameter , where is the total flux of polymerizing species coming from a gas phase.
3. Results and Discussion
3.1. Etching Rates and Phenomenological Etching Kinetics
3.2. Plasma Parameters and Densities of Active Species
- -
- An increase in towards higher fractions of X gas (3.6–4.2 eV for X = C4F8 vs. 3.6–4.0 eV for X = CF2Br2 at p = 10 mTorr and W = 100 W, see Figure 1b) obviously points out on decreasing electron energy losses in inelastic processes with dominant neutral species. A similar effect has been reported for the CF4 + C4F8 + Ar gas mixture after the substitution of CF4 for C4F8 [35,38]. Accordingly, the growth of and (0.032–0.047 mA/cm2 for X = C4F8 vs. 0.032–0.044 mA/cm2 for X = CF2Br2 at p = 10 mTorr and = 100 W, see Figure 1b) in the case of X = C4F8 may be surely associated with (a) increasing ionization rate coefficients for all neutral species; (b) increasing numbers of particles with lower ionization thresholds (since the dominant gas-phase component changes from CF4 and F in CF4-rich plasmas to CF2 and CF in C4F8-rich plasmas, as shown in Refs. [35,38]); and c) lower electronegativity of the C4F8 plasma compared with CF4 one [47,48,49]. The latter means that a decrease in the CF4/C4F8 mixing ratio retards the decay of positive ions and electrons through ion–ion recombination and dissociative attachment, respectively. Probably, similar mechanisms also do work in the case of X = CF2Br2. An indirect proof is the similar changes in densities of F atoms and CFx (x = 1, 2) radicals in both gas systems (Figure 1d). From Figure 1c, it can be seen that, in both gas mixtures, a decrease in (650–551 V for X = C4F8 vs. 650–527 V for X = CF2Br2 at = 10 mTorr and = 100 W, see Figure 1c) does not compensate for increasing ion flux. As a result, one can obtain increasing efficiency of the physical etching pathway, as follows from the change in (Figure 1c).
- -
- An increase in toward higher input powers (3.9–4.4 eV for X = C4F8 vs. 3.8–4.3 eV for X = CF2Br2 at 50% of X gas and = 10 mTorr, see Figure 2b) probably results from a decrease in electron energy losses for vibrational and electronic excitations. This effect is provided by increasing electron-impact dissociation rates for multi-atomic components which enriches the gas phase by less saturated radicals and atomic species. Accordingly, the monotonic increase in (0.043–0.057 mA/cm2 for X = C4F8 vs. 0.041–0.052 mA/cm2 for X = CF2Br2 at 50% of X gas and = 10 mTorr, see Figure 2b) is due to same changes in total ionization rates which are accelerated by the growth of electron density. The corresponding relationship between and may be easily traced through the input power balance equation [20]. In addition, the growth of ion flux overlaps the weak decrease in (Figure 2c) and causes an intensification of the physical etching pathway (= 6.6 × 1015–8.7 × 1015 eV1/2cm−2s−1 for X = C4F8 vs. 6.1 × 1015–7.6 × 1015 eV1/2cm−2s−1 for X = CF2Br2 at 50% of X gas and = 10 mTorr, see Figure 2c). Such situation is quite typical for many fluorocarbon-based plasmas under the conventional reactive-ion etching conditions [41,42,43].
- -
- A decrease in toward higher pressures (4.2–3.9 eV for X = C4F8 vs. 4.1–3.8 eV for X = CF2Br2 at 50% of X gas and = 100 W, see Figure 3b) is due to an increase in both electron-neutral collision frequency and the overall electron energy loss. A similar tendency for (0.053–0.043 mA/cm2 for X = C4F8 vs. 0.050–0.041 mA/cm2 for X = CF2Br2 at 50% of X gas and = 100 W, see Figure 3b) mainly follow the behavior of . The latter is suppressed by decreasing ionization rate coefficients (due to the change in ) as well as by increasing ion loss rates (due to increasing plasma electronegativity and negative ion density). Accordingly, the combination of decreasing ion flux and the nearly constant retards the physical etching pathway at the high pressure end (Figure 3c). Similar effects have been repeatedly reported for various gas systems [2,41,42,43].
- 1)
- The case of X = CF2Br2 provides the systematically lower (by ~30%) density of F atoms that corresponds to lower flux of these species to the etched surface and thus, to the lower etching performance.
- 2)
- The case of X = C4F8 provides a systematically higher density of polymerizing CFx (x = 1, 2) radicals which corresponds to higher polymerizing flux and thus, higher deposition rate for the fluorocarbon polymer film. The last fact is supported by direct experiment confirmation after the XPS analysis of the plasma-treated surfaces. Particularly, Figure 4 shows that the treatment in 90% C4F8 + 10% O2 plasma produces much more residual CFx compounds than that for the 90% C4F8 CF2Br2 + 10% O2 gas system. Since O2 content and ion energy flux in both gas systems are rather close, such sufficient difference in surface conditions may be related only to different polymerizing fluxes coming from a gas phase.
3.3. Etching Mechanism and Profile Features
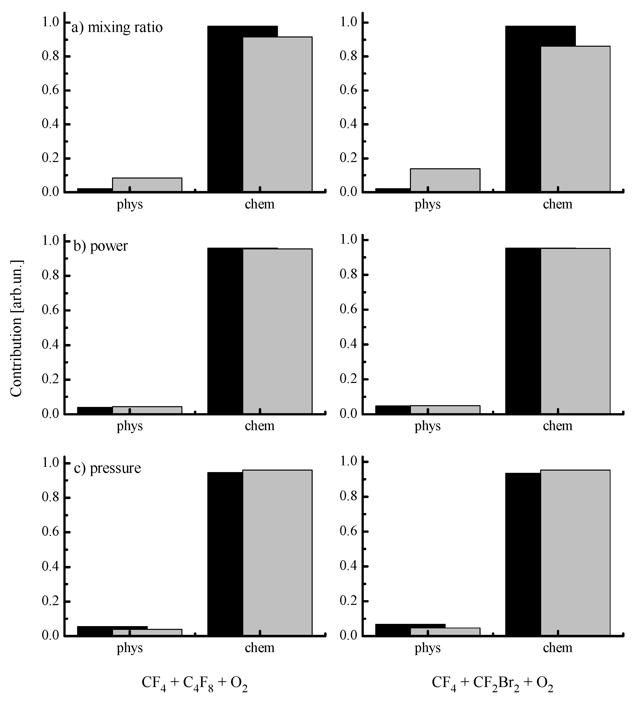
- 1)
- The non-monotonic change in with increasing CF4/X (X = C4F8 or CF2Br2) mixing ratio (Figure 1a) may be associated with the transition between thin- and thick-fluorocarbon film etching regimes [13,14,15]. In the case of < (where are the fractions of corresponding components in a feed gas), one probably obtains either the non-continuous or the thin continuous fluorocarbon film which did not retard the access of F atoms to the etched surface. That is why the behavior of follows the increasing ion energy fluxes that accelerated the chemical reaction through the destruction of Si-O and Si-N bonds. Oppositely, the case of > probably corresponds to the thick continuous fluorocarbon film which reduces the flux of F atoms at the film/SiOxNy interface. As a result, a decrease in is due to an increase in the film thickness, as indicated by the change in the parameter (8.2–35.5 eV−1/2 for 0–90% C4F8 and 8.2–27.3 eV−1/2 for 0–90% CF2Br2).
- 2)
- A decrease in towards higher input powers (Figure 2a) under the condition of = correlates with the change in ratio (21.0–57.1 eV−1/2 for 100–500 W at 45% C4F8 and 18.7–28.8 eV−1/2 for 100–500 W at 45% CF2Br2) and thus, with the fluorocarbon film thickness. This is because an increase in densities and fluxes for CFx (x = 1, 2) species appears to faster compared with the ion energy flux. Obviously, the latter is suppressed by decreasing and ion bombardment energy.
- 3)
- A decrease in towards higher gas pressures (Figure 3a) under the condition of = is also in agreement with increasing thickness of the fluorocarbon polymer film, as follows from the change in ratio (15.0–21.0 eV−1/2 for 4–10 mTorr at 45% C4F8 and 14.9–18.5 eV−1/2 for 4–10 mTorr at 45% CF2Br2). In this case, the growth of polymer film thickness is provided by a combination of increasing flux of polymerizing species and decreasing ion energy flux due to . Obviously, the latter is suppressed by both decreasing ionization rate coefficients and ion Bohm velocity.
4. Conclusions
Author Contributions
Funding
Conflicts of Interest
References
- Sze, S.M. VLSI Technology; McGraw-Hill: New York, NY, USA, 1988. [Google Scholar]
- Wolf, S.; Tauber, R.N. Silicon Processing for the VLSI era; Lattice Press: New York, NY, USA, 2000; Volume 1. [Google Scholar]
- Sugano, T. Applications of Plasma Processes to VLSI Technology; Wiley: New York, NY, USA, 1990. [Google Scholar]
- Niklasson, G.A.; Eriksson, T.S.; Brantervik, K. Dielectric properties of silicon oxynitride films. Appl. Phys. Lett. 1989, 54, 965–967. [Google Scholar] [CrossRef]
- Wörhoffz, K.; Hilderink, L.T.H.; Driessen, A.; Lambeck, P.V. Silicon oxynitride: A versatile material for integrated optics applications. J. Electrochem. Soc. 2002, 149, F85–F91. [Google Scholar] [CrossRef]
- Son, J.; Efremov, A.; Chun, I.; Yeom, G.Y.; Kwon, K.-H. On the LPCVD-formed SiO2 etching mechanism in CF4/Ar/O2 inductively coupled plasmas: Effects of gas mixing ratios and gas pressure. Plasma Chem. Plasma Proc. 2014, 34, 239–257. [Google Scholar] [CrossRef]
- Li, X.; Ling, L.; Hua, X.; Fukasawa, M.; Oehrlein, G.S.; Barela, M.; Anderson, H.M. Effects of Ar and O2 additives on SiO2 etching in C4F8-based plasmas. J. Vac. Sci. Technol. A 2003, 21, 284–293. [Google Scholar] [CrossRef]
- Schaepkens, M.; Standaert, T.E.F.M.; Rueger, N.R.; Sebel, P.G.M.; Oehrlein, G.S.; Cook, J.M. Study of the SiO2-to-Si3N4 etch selectivity mechanism in inductively coupled fluorocarbon plasmas and a comparison with the SiO2-to-Si mechanism. J. Vac. Sci. Technol. A 1999, 17, 26–37. [Google Scholar] [CrossRef]
- Chen, L.; Xu, L.; Li, D.; Lin, B. Mechanism of selective Si3N4 etching over SiO2 in hydrogen-containing fluorocarbon plasma. Microelectron. Eng. 2009, 86, 2354–2357. [Google Scholar] [CrossRef]
- Kastenmeier, B.E.E.; Matsuo, P.J.; Beulens, J.J.; Oehrlein, G.S. Chemical dry etching of silicon nitride and silicon dioxide using CF4/O2/N2 gas mixtures. J. Vac. Sci. Technol. A 1996, 14, 2802–2813. [Google Scholar] [CrossRef]
- Kastenmeier, B.E.E.; Matsuo, P.J.; Oehrlein, G.S. Highly selective etching of silicon nitride over silicon and silicon dioxide. J. Vac. Sci. Technol. A 1999, 17, 3179–3184. [Google Scholar] [CrossRef]
- Lee, H.K.; Chung, K.S.; Yu, J.S. Selective etching of thick Si3N4, SiO2 and Si by using CF4/O2 and C2F6 gases with or without O2 or ar addition. J. Korean Phys. Soc. 2009, 54, 1816–1823. [Google Scholar] [CrossRef]
- Matsui, M.; Tatsumi, T.; Sekine, M. Relationship of etch reaction and reactive species flux in C4F8/Ar/O2 plasma for SiO2 selective etching over Si and Si3N4. J. Vac. Sci. Technol. A 2001, 19, 2089–2096. [Google Scholar] [CrossRef]
- Lele, C.; Liang, Z.; Linda, X.; Dongxia, L.; Hui, C.; Tod, P. Role of CF2 in the etching of SiO2, Si3N4 and Si in fluorocarbon plasma. J. Semicond. 2009, 30, 033005. [Google Scholar] [CrossRef]
- Standaert, T.E.F.M.; Hedlund, C.; Joseph, E.A.; Oehrlein, G.S.; Dalton, T.J. Role of fluorocarbon film formation in the etching of silicon, silicon dioxide, silicon nitride, and amorphous hydrogenated silicon carbide. J. Vac. Sci. Technol. A 2004, 22, 53–60. [Google Scholar] [CrossRef]
- Kim, B.; Kim, J.; Lee, S.H.; Park, J.; Lee, B.T. Plasma etching of silicon oxynitride in a low-pressure C2F6 plasma. J. Korean Phys. Soc. 2005, 47, 712–715. [Google Scholar]
- Cavallari, C.; Gualandris, F. Plasma processing for silicon oxynitride films. J. Electrochem. Soc. 1987, 134, 1265–1270. [Google Scholar] [CrossRef]
- Ueno, K.; Kikkawa, T.; Tokashiki, K. Reactive ion etching of silicon oxynitride formed by plasma-enhanced chemical vapor deposition. J. Vac. Sci. Technol. B 1995, 13, 1447–1450. [Google Scholar] [CrossRef]
- Lide, D.R. Handbook of Chemistry and Physics; CRC Press: New York, NY, USA, 1998. [Google Scholar]
- Lieberman, M.A.; Lichtenberg, A.J. Principles of Plasma Discharges and Materials Processing; John Wiley & Sons Inc.: New York, NY, USA, 1994. [Google Scholar]
- Mogab, C.J.; Adams, A.C.; Flamm, D.L. Plasma etching of Si and SiO2—The effect of oxygen additions to CF4 Plasmas. J. Appl. Phys. 1978, 49, 3796–3803. [Google Scholar] [CrossRef]
- Lee, J.; Kim, J.; Efremov, A.; Kim, C.; Lee, H.W.; Kwon, K.-H. Etching mechanisms and surface conditions for SiOxNy thin films in CF4 + CHF3 + O2 inductively coupled plasma. Plasma Chem. Plasma Process. 2019, 39, 1127–1144. [Google Scholar] [CrossRef]
- Tran-Quinn, T.; Lakritz, M. Unsaturated fluorocarbons in the etching process, environmental benefit, technical hurdles. In Proceedings of the Conference IEEE/SEMI Advanced Semiconductor Manufacturing Conference, Cambridge, MA, USA, 5–7 May 2008; IEEE: Piscataway, NJ, USA, 2008. [Google Scholar] [CrossRef]
- Kiehlbauch, M.W.; Graves, D.B. Temperature resolved modeling of plasma abatement of perfluorinated compounds. J. Appl. Phys. 2001, 89, 2047–2057. [Google Scholar] [CrossRef]
- Bolaji, B.O.; Huan, Z. Ozone depletion and global warming: Case for the use of natural refrigerant–a review. Renew. Sustain. Energ. Rev. 2013, 18, 49–54. [Google Scholar] [CrossRef]
- Krishnan, N.; Smati, R.; Raoux, S.; Dornfeld, D. Alternatives to reduce perfluorinated compound (PFC) emissions from semiconductor dielectric etch processes: Meeting environmental commitments while minimizing costs. In Proceedings of the Conference IEEE International Symposium on Electronics and the Environment, Boston, MA, USA, 19–22 May 2003; IEEE: Piscataway, NJ, USA. [Google Scholar] [CrossRef]
- Mocella, M.T. PFC emission control options for plasma processing tools: A current Assessment. MRS Online Proc. Libr. Arch. 1996, 447, 29–34. [Google Scholar] [CrossRef]
- Beppu, T.; Mitsui, Y.; Sakai, K.; Sekiya, A. New alternative gas process feasibility study for PFC emission reduction from semiconductor CVD chamber cleaning. In Proceedings of the Greenhouse Gas Control Technologies-6th International Conference, Kyoto, Japan, 1–4 October 2002; Elsevier: Amsterdam, The Nederland, 2002. [Google Scholar] [CrossRef]
- Li, Y.E.D.; Paganessi, J.E.; Rufin, D. Emission reduction of perfluorocompounds in semiconductor manufacturers via capture and recycle. Green Eng. 2000, 6, 62–75. [Google Scholar] [CrossRef]
- Tsai, W.T.; Chen, H.P.; Hsien, W.Y. A review of uses, environmental hazards and recovery/recycle technologies of perfluorocarbons (PFCs) emissions from the semiconductor manufacturing processes. J. Low. Prevent. Proc. 2002, 15, 65–75. [Google Scholar] [CrossRef]
- Hodnebrog, Ø.; Etminan, M.; Fuglestvedt, J.S.; Marston, G.; Myhre, G.; Nielsen, C.J.; Shine, K.P.; Wallington, T.J. Global warming potentials and radiative efficiencies of halocarbons and related compounds: A comprehensive review. Rev. Geophys. 2013, 51, 300–378. [Google Scholar] [CrossRef]
- Xiang, W.H. Vapor pressures, critical parameters, boiling points, and triple points of halomethane molecular substances. J. Phys. Chem. Ref. Data 2001, 30, 1161–1197. [Google Scholar] [CrossRef]
- Veselov, D.S.; Bakun, A.D.; Voronov, Y.A. Reactive ion etching of silicon using low-power plasma etcher. J. Phys. Conf. Ser. 2016, 748, 012017. [Google Scholar] [CrossRef]
- Ashraf, M.; Sundararajan, S.V.; Grenc, G. Low-power, low-pressure reactive-ion etching process for silicon etching with vertical and smooth walls for mechanobiology application. J. Micro Nanolith. MEMS MOEMS 2017, 16, 034501. [Google Scholar] [CrossRef]
- Lee, J.; Efremov, A.; Yeom, G.Y.; Lim, N.; Kwon, K.-H. Application of Si and SiO2 etching mechanisms in CF4/C4F8/Ar inductively coupled plasmas for nanoscale patterns. J. Nanosci. Nanotechnol. 2015, 15, 8340–8347. [Google Scholar] [CrossRef][Green Version]
- Johnson, E.O.; Malter, L. A floating double probe method for measurements in gas discharges. Phys. Rev. 1950, 80, 58–70. [Google Scholar] [CrossRef]
- Shun’ko, E.V. Langmuir Probe in Theory and Practice; Universal Publishers: Irvine, CA, USA, 2008. [Google Scholar]
- Lee, J.; Efremov, A.; Kwon, K.-H. On the relationships between plasma chemistry, etching kinetics and etching residues in CF4+C4F8+Ar and CF4+CH2F2+ Ar plasmas with various CF4/C4F8 and CF4/CH2F2 mixing ratios. Vacuum 2018, 148, 214–223. [Google Scholar] [CrossRef]
- Gray, D.C.; Tepermeister, I.; Sawin, H.H. Phenomenological modeling of ion-enhanced surface kinetics in fluorine-based plasma etching. J. Vac. Sci. Technol. B 1993, 11, 1243–1257. [Google Scholar] [CrossRef]
- Stoffels, W.W.; Stoffels, E.; Tachibana, K. Polymerization of fluorocarbons in reactive ion etching plasmas. J. Vac. Sci. Technol. A 1998, 16, 87–95. [Google Scholar] [CrossRef]
- Winters, H.F.; Coburn, J.W.; Chuang, T.J. Surface processes in plasma-assisted etching environments. J. Vac. Sci. Technol. B 1983, 1, 469–480. [Google Scholar] [CrossRef]
- Coburn, J.W. Plasma Etching and Reactive Ion Etching, AVS Monograph Series; American Vacuum Society, American Institute of Physics: New York, NY, USA, 1982. [Google Scholar]
- Roosmalen, A.J.; Baggerman, J.A.G.; Brader, S.J.H. Dry Etching For VLSI; Plenum Press; Springer Science & Business Media: New York, NY, USA, 1991. [Google Scholar]
- Vitale, S.A.; Chae, H.; Sawin, H.H. Silicon etching yields in F2, Cl2, Br2, and HBr high density plasmas. J. Vac. Sci. Technol. A 2001, 19, 2197–2206. [Google Scholar] [CrossRef]
- Belen, R.J.; Gomez, S.; Kiehlbauch, M.; Aydil, E.S. Feature scale model of Si etching in SF6/O2/HBr plasma and comparison with experiments. J. Vac. Sci. Technol. A 2006, 24, 350–361. [Google Scholar] [CrossRef]
- Bestwick, T.D.; Oehrlane, G.S. Reactive ion etching of silicon using bromine containing plasmas. J. Vac. Sci. Technol. A 1990, 8, 1696–1701. [Google Scholar] [CrossRef]
- Chun, I.; Efremov, A.; Yeom, G.Y.; Kwon, K.-H. A comparative study of CF4/O2/Ar and C4F8/O2/Ar plasmas for dry etching applications. Thin Solid Film 2015, 579, 136–143. [Google Scholar] [CrossRef]
- Rauf, S.; Ventzek, P.L. Model for an inductively coupled Ar/c-C4F8 plasma discharge. J. Vac. Sci. Technol. A 2012, 20, 14–23. [Google Scholar] [CrossRef]
- Kimura, T.; Noto, M. Experimental study and global model of inductively coupled CF4/O2 discharges. J. Appl. Phys. 2006, 100, 063303. [Google Scholar] [CrossRef]
- Efremov, A.; Lee, J.; Kwon, K.-H. A comparative study of CF4, Cl2 and HBr + Ar inductively coupled plasmas for dry etching applications. Thin Solid Film 2017, 629, 39–48. [Google Scholar] [CrossRef]
- Kwon, K.-H.; Efremov, A.; Kim, M.; Min, N.K.; Jeong, J.; Kim, K. A model-based analysis of plasma parameters and composition in HBr/X (X=Ar, He, N2) inductively coupled plasmas. J. Electrochem. Soc. 2010, 157, H574–H579. [Google Scholar] [CrossRef]
- NIST Chemical Kinetics Database. Available online: https://kinetics.nist.gov/kinetics/index.jsp (accessed on 2 November 2020).
- Kim, D.-H.; Lee, G.-H.; Lee, S.Y.; Kim, D.H. Atomic scale simulation of physical sputtering of silicon oxide and silicon nitride thin films. J. Cryst. Growth 2006, 286, 71–77. [Google Scholar] [CrossRef]
- Seah, M.P.; Nunney, T.S. Sputtering yields of compounds using argon ions. J. Phys. D Appl. Phys. 2010, 43, 253001. [Google Scholar] [CrossRef]







Publisher’s Note: MDPI stays neutral with regard to jurisdictional claims in published maps and institutional affiliations. |
© 2020 by the authors. Licensee MDPI, Basel, Switzerland. This article is an open access article distributed under the terms and conditions of the Creative Commons Attribution (CC BY) license (http://creativecommons.org/licenses/by/4.0/).
Share and Cite
Nam, Y.; Efremov, A.; Lee, B.J.; Kwon, K.-H. Plasma Parameters and Etching Characteristics of SiOxNy Films in CF4 + O2 + X (X = C4F8 or CF2Br2) Gas Mixtures. Materials 2020, 13, 5476. https://doi.org/10.3390/ma13235476
Nam Y, Efremov A, Lee BJ, Kwon K-H. Plasma Parameters and Etching Characteristics of SiOxNy Films in CF4 + O2 + X (X = C4F8 or CF2Br2) Gas Mixtures. Materials. 2020; 13(23):5476. https://doi.org/10.3390/ma13235476
Chicago/Turabian StyleNam, Yunho, Alexander Efremov, Byung Jun Lee, and Kwang-Ho Kwon. 2020. "Plasma Parameters and Etching Characteristics of SiOxNy Films in CF4 + O2 + X (X = C4F8 or CF2Br2) Gas Mixtures" Materials 13, no. 23: 5476. https://doi.org/10.3390/ma13235476
APA StyleNam, Y., Efremov, A., Lee, B. J., & Kwon, K.-H. (2020). Plasma Parameters and Etching Characteristics of SiOxNy Films in CF4 + O2 + X (X = C4F8 or CF2Br2) Gas Mixtures. Materials, 13(23), 5476. https://doi.org/10.3390/ma13235476
