A Novel Micro-Displacement Sensor Based on Double Optical Fiber Probes Made through Photopolymer Materials
Abstract
1. Introduction
2. Materials and Methods
2.1. Preparation of Optical Fiber Probe
2.2. Principle of Micro-Displacement Sensing
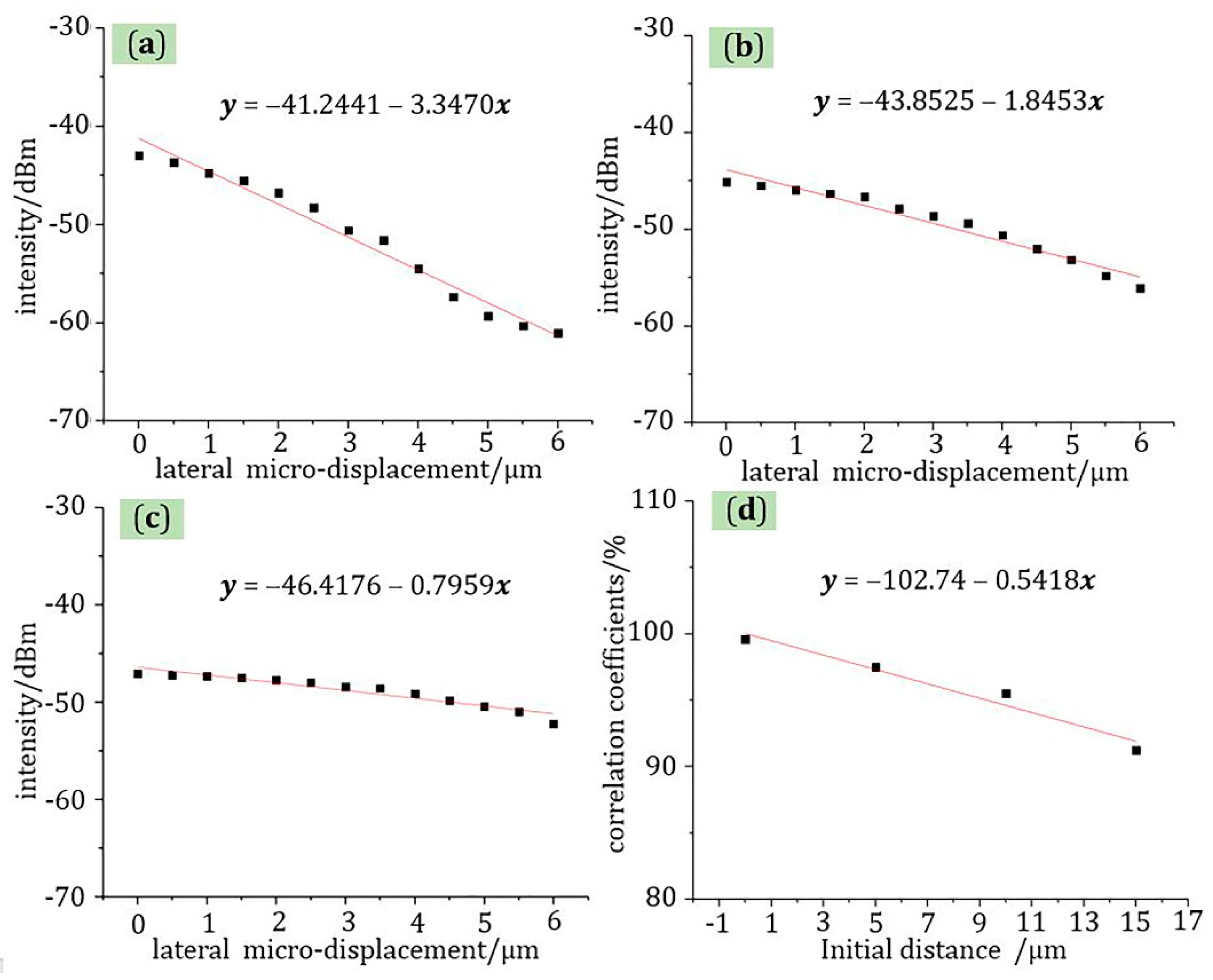
3. Results and Discussion
4. Conclusions
Author Contributions
Funding
Acknowledgments
Conflicts of Interest
References
- Ban, X.; Zhao, H.; Zhu, X.; Zhao, S.; Xie, R.; Liao, D. Improvement and application of pad conditioning accuracy in chemical mechanical polishing. Opt. Eng. 2018, 57, 095102. [Google Scholar] [CrossRef]
- Chen, K.; Yang, B.; Guo, M.; Deng, H.; Zhang, B.; Liu, S.; Li, C.; An, R.; Peng, W.; Yu, Q. Fiber-optic photoacoustic gas sensor with temperature self-compensation. Opt. Lett. 2020, 45, 2458–2461. [Google Scholar] [CrossRef] [PubMed]
- Liao, Y.; Liu, Y.; Lang, C.; Li, Y.; Qu, S. Highly sensitive optical fiber temperature sensor based on the thermal shift of the liquid–air interface. Opt. Eng. 2019, 58, 117105. [Google Scholar] [CrossRef]
- Fan, R.; Luo, Y.; Li, L.; Wu, Q.; Ren, Z.; Peng, B. Large-range fiber microsphere micro-displacement sensor. Opt. Fiber Technol. 2019, 48, 173–178. [Google Scholar] [CrossRef]
- Dong, B.; Hao, E.J. Temperature-insensitive and intensity-modulated embedded photonic-crystal-fiber modal-interferometer-based microdisplacement sensor. J. Opt. Soc. Am. B 2011, 28, 2332. [Google Scholar] [CrossRef]
- Bao, W.; Qiao, X.; Yin, X.; Rong, Q.; Wang, R.; Yang, H. Optical fiber micro-displacement sensor using a refractive index modulation window-assisted reflection fiber taper. Opt. Commun. 2017, 405, 276–280. [Google Scholar] [CrossRef]
- Zhu, Z.; Liu, L.; Liu, Z.; Zhang, Y.; Zhang, Y. High-precision micro-displacement optical-fiber sensor based on surface plasmon resonance. Opt. Lett. 2017, 42, 1982–1985. [Google Scholar] [CrossRef] [PubMed]
- Bravo, M.; Baptista, J.M.; Santos, J.L.; Lopez-Amo, M.; Frazao, O. Micro-Displacement Sensor Combined With a Fiber Ring Interrogated by an Optical Time-Domain Reflectometer. IEEE Sens. J. 2013, 14, 793–796. [Google Scholar] [CrossRef]
- Michihata, M.; Hayashi, T.; Nakai, D.; Takaya, Y. Microdisplacement sensor using an optically trapped microprobe based on the interference scale. Rev. Sci. Instrum. 2010, 81, 015107. [Google Scholar] [CrossRef] [PubMed]
- Yin, X.; Shen, Y.; Wang, W.; Shao, Z.; Rong, Q. Highly Sensitive Displacement Sensor Using Open Fiber-Optics Air Bubbles. IEEE Sens. J. 2019, 19, 9249–9254. [Google Scholar] [CrossRef]
- Robalinho, P.; Frazao, O. Micro-Cantilever Displacement Detection Based in Optical Fiber Tip. Sensors 2019, 19, 4826. [Google Scholar] [CrossRef] [PubMed]
- Lang, C.; Liu, Y.; Cao, K.; Li, Y.; Qu, S. Ultra-compact, fast-responsive and highly-sensitive humidity sensor based on a polymer micro-rod on the end-face of fiber core. Sens. Actuators B Chem. 2019, 290, 23–27. [Google Scholar] [CrossRef]
- Mian, Y.; Xia, O.; Jushuai, W.; Zhang, A.; Yaw, T.H.; Wai, P. Optical Fiber-Tip Sensors Based on In-Situ μ-Printed Polymer Suspended-Microbeams. Sensors 2018, 18, 1825. [Google Scholar]
- Jradi, S.; Soppera, O.; Lougnot, D.J.; Bachelot, R.; Royer, P. Tailoring the geometry of polymer tips on the end of optical fibers via control of physico-chemical parameters. Opt. Mater. 2009, 31, 640–646. [Google Scholar] [CrossRef]
- Ecoffet, C.; Bachelot, R.; Deloeil, D.; Royer, P.; Lougnot, D. Integration of polymer elements at the end of optical fibers by free-radical photopolymerization. Synth. Met. 2001, 124, 29–31. [Google Scholar] [CrossRef]
- Hocine, M.; Bachelot, R.; Ecoffet, C.; Fressengeas, N.; Royer, P.; Kugel, G. End-of-fiber polymer tip: Manufacturing and modeling. Synth. Met. 2002, 127, 313–318. [Google Scholar] [CrossRef]
- Yazd, N.S.; Kinet, D.; Caucheteur, C.; Mégret, P. Fiber Bragg grating characterization using factorial design. Appl. Opt. 2019, 58, 4898–4904. [Google Scholar] [CrossRef] [PubMed]
- Zhang, X.; Chen, J.; González-Vila, Á.; Liu, F.; Liu, Y.; Li, K.; Guo, T. Twist sensor based on surface plasmon resonance excitation using two spectral combs in one tilted fiber Bragg grating. J. Opt. Soc. Am. B 2019, 36, 1176–1182. [Google Scholar] [CrossRef]










Publisher’s Note: MDPI stays neutral with regard to jurisdictional claims in published maps and institutional affiliations. |
© 2020 by the authors. Licensee MDPI, Basel, Switzerland. This article is an open access article distributed under the terms and conditions of the Creative Commons Attribution (CC BY) license (http://creativecommons.org/licenses/by/4.0/).
Share and Cite
Zhang, F.; Lin, Q.; Zhu, L.; Zhao, N.; Han, F.; Zhao, L.; Jiang, Z. A Novel Micro-Displacement Sensor Based on Double Optical Fiber Probes Made through Photopolymer Materials. Materials 2020, 13, 5475. https://doi.org/10.3390/ma13235475
Zhang F, Lin Q, Zhu L, Zhao N, Han F, Zhao L, Jiang Z. A Novel Micro-Displacement Sensor Based on Double Optical Fiber Probes Made through Photopolymer Materials. Materials. 2020; 13(23):5475. https://doi.org/10.3390/ma13235475
Chicago/Turabian StyleZhang, Fuzheng, Qijing Lin, Liangquan Zhu, Na Zhao, Feng Han, Libo Zhao, and Zhuangde Jiang. 2020. "A Novel Micro-Displacement Sensor Based on Double Optical Fiber Probes Made through Photopolymer Materials" Materials 13, no. 23: 5475. https://doi.org/10.3390/ma13235475
APA StyleZhang, F., Lin, Q., Zhu, L., Zhao, N., Han, F., Zhao, L., & Jiang, Z. (2020). A Novel Micro-Displacement Sensor Based on Double Optical Fiber Probes Made through Photopolymer Materials. Materials, 13(23), 5475. https://doi.org/10.3390/ma13235475

