Interface Shear Strength at Various Joint Types in High-Strength Precast Concrete Structures
Abstract
1. Introduction
2. Test Specimens and Variables
2.1. Test Specimens
2.2. Test Variables
3. Analysis of Test Results
3.1. Failure Mode
3.2. Dry Joint
3.2.1. Number of Shear Keys
3.2.2. Lateral Compressive Stress
3.2.3. Height of Shear Key
3.2.4. Presence of Epoxy
3.2.5. Compressive Strength of Precast Concrete
3.3. Wet Joint
3.3.1. Number of Shear Keys
3.3.2. Lateral Compressive Stress
3.3.3. Height of Shear Key
3.3.4. Filler Type
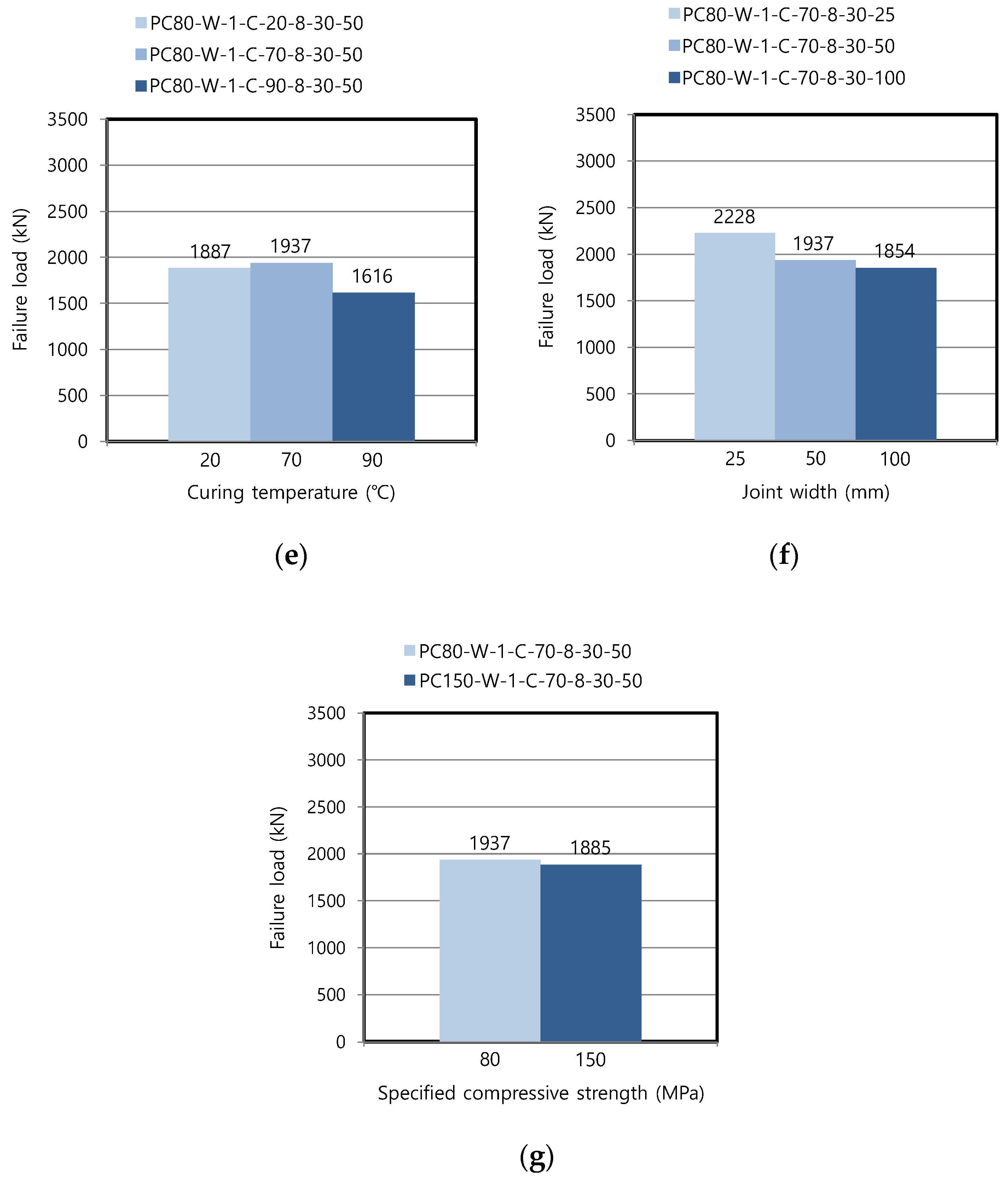
3.3.5. Curing Temperature
3.3.6. Joint Width
3.3.7. Compressive Strength of Precast Concrete
3.4. Comparison between Dry Joint and Wet Joint
4. Applicability of Design Equations
4.1. General Remarks
4.2. Comparison with the AASHTO Equation
4.3. Comparison with the JSCE Equation
5. Conclusions
- In dry joints, the test variables were compressive strength of precast members, number and height of shear keys, presence of epoxy, and lateral compressive stress. The cracks propagated in multiple directions through the male and female shear key parts in the epoxy-glued dry joint with relatively tall shear keys and high lateral compressive stress. Similar to the behavior of normal strength concrete, the failure loads were increased as the height of shear key and lateral compressive stress were increased, due to the geometrical contribution of the shear keys and frictional resistance, respectively. The minimum shear key height of 30 mm specified in some provisions remained effective in high-strength concrete. The epoxy coating also contributed to the increase in the failure load. The compressive strength of the epoxied precast members significantly affected the failure load because the cracks occurred not along the interface but in the members themselves, and this trend was intensified at relatively low lateral compressive stress.
- The wet joints were tested with the following variables: compressive strength of precast members, number and height of shear keys, joint width, filler type, curing temperature, and lateral compressive stress. The failure loads were increased as the number and height of shear keys, and lateral compressive stress were increased. The curing temperature of the ultra-high-strength concrete filler was not a crucial factor provided that the moisture was continuously supplied for a sufficient curing duration. The width of the wet joint did not show an explicit trend in regard to the failure load. The wet joint with relatively tall shear keys tended to crack in a diagonal direction at the joint itself, leading to sloped shear-off failure. Therefore, the failure loads strongly depended on the strength of the filler rather than on that of the precast members and, as a result, the specimen with ultra-high-strength concrete filler was 46–48% stronger than those with high-strength mortar filler. In general, the strength of the filler needs to be equivalent to or higher than that of the precast member in order to prevent the wet joint from being the weak point.
- Two representative predictive equations for the interface shear strength at the joints specified in the AASHTO and JSCE specifications were compared with the test data. In particular, the validity of these equations, which were originally derived from the tests of normal strength concrete, was examined to extend their applicability to the range of high and ultra-high-strength concrete. In applying the JSCE equation for the epoxied dry joint and the wet joint, the term that includes the exponential function of the concrete strength greatly overestimated the shear strength in the range of high to ultra-high strength, resulting in an overall overestimation of the shear capacity, when using the conventional values of the exponent. Therefore, we have proposed revising the JSCE equation by reducing the exponent to some extent when using this equation to evaluate the epoxied dry joint or the wet joint in high to ultra-high strength precast members or filling materials. The improved JSCE equation reasonably predicted the trend of the shear strengths obtained from the test. However, the shear strength of the dry joint without epoxy could not be properly estimated by using either the AASHTO or JSCE equation in high-strength precast members.
Author Contributions
Funding
Acknowledgments
Conflicts of Interest
References
- ACI Committee 363. State-of-the-Art Report on High-Strength Concrete; ACI 363-92 (Reapproved 1997); American Concrete Institute (ACI): Farmington Hills, MI, USA, 1992. [Google Scholar]
- Aïtcin, P.C. High-Performance Concrete; E & FN Spon: New York, NY, USA, 1998; pp. 22–34. [Google Scholar]
- Russell, H.G.; Graybeal, B.A. Ultra-High Performance Concrete: A State-of-the-Art Report for the Bridge Community; Report No. FHWA-HRT-13-060; Research, Development, and Technology Turner-Fairbank Highway Research Center, Federal Highway Administration (FHWA): McLean, VA, USA, 2013. [Google Scholar]
- Zhou, M.; Lu, W.; Song, J.; Lee, G.C. Application of ultra-high performance concrete in bridge engineering. Constr. Build. Mater. 2018, 186, 1256–1267. [Google Scholar] [CrossRef]
- Hieber, D.G.; Wacker, J.M.; Eberhard, M.O.; Stanton, J.F. State-of-the-Art Report on Precast Concrete Systems for Rapid Construction of Bridges; Report No. WA-RD 594.1; Washington State Transportation Center (TRAC), University of Washington: Seattle, WA, USA, 2005. [Google Scholar]
- Ishii, T.; Nishio, H.; Matsuyama, T.; Miyajima, A.; Yokohata, K.; Gotou, M.; Xin, J.; Hirai, Y. Manufacture and construction of a PC through girder type pedestrian bridge using ultra high strength fiber reinforced concrete. In Proceedings of the 8th international symposium on utilization of high-strength and high-performance concrete, Japan Concrete Institute (JCI), Tokyo, Japan, 27–29 October 2008; pp. 1270–1275. [Google Scholar]
- Matsubara, N.; Ohno, T.; Sakai, G.; Watanabe, Y.; Ishii, S.; Ashida, M. Application of a new type of ultra high strength fiber reinforced concrete to a prestressed concrete bridge. In Proceedings of the 2nd international symposium on ultra high performance concrete, University of Kassel, Kassel, Germany, 5–7 March 2008; pp. 787–794. [Google Scholar]
- Park, S.Y.; Kim, S.T.; Cho, J.R.; Lee, J.W.; Kim, B.S. Trial construction of UHPC highway bridge. In Proceedings of the RILEM-fib-AFGC international symposium on ultra-high performance fibre-reinforced concrete (UHPFRC 2013). International Union of Laboratories and Experts in Construction Materials, Systems and Structures (RILEM), Marseille, France, 1–3 October 2013; pp. 371–377. [Google Scholar]
- Zhou, X.; Mickleborough, N.; Li, Z. Shear strength of joints in precast concrete segmental bridges. ACI Struct. J. 2005, 102, 3–11. [Google Scholar]
- Hussein, H.H.; Walsh, K.K.; Sargand, S.M.; Al Rikabi, F.T.; Steinberg, E.P. Modeling the shear connection in adjacent box-beam bridges with ultrahigh-performance concrete joints. I: Model calibration and validation. J. Bridge Eng. 2017, 22, 04017043. [Google Scholar] [CrossRef]
- Sargand, S.M.; Walsh, K.K.; Hussein, H.H.; Al Rikabi, F.T.; Steinberg, E.P. Modeling the shear connection in adjacent box-beam bridges with ultrahigh-performance concrete joints. II: Load transfer mechanism. J. Bridge Eng. 2017, 22, 04017044. [Google Scholar] [CrossRef]
- Sørensen, J.H.; Herfelt, M.A.; Hoang, L.C.; Muttoni, A. Test and lower bound modeling of keyed shear connections in RC shear walls. Eng. Struct. 2018, 155, 115–126. [Google Scholar] [CrossRef]
- Araújo, D.L.; Debs, M.K. Strength of shear connection in composite bridges with precast decks using high performance concrete and shear-keys. Mater. Struct. 2005, 38, 173–181. [Google Scholar] [CrossRef]
- Mohsen, A.I.; Hiba, A.A. Structural behavior of single key joints in precast concrete segmental bridges. J. Bridge Eng. 2007, 12, 315–324. [Google Scholar]
- Turmo, J.; Ramos, G.; Aparicio, A.C. Shear strength of dry joints of concrete panels with and without steel fibers: Application to precast segmental bridges. Eng. Struct. 2006, 28, 23–33. [Google Scholar] [CrossRef]
- Kaneko, Y. Modelling of Shear-Off Failure of Concrete: Fracture Mechanics Approach. Ph.D. Thesis, Massachusetts Institute of Technology, Cambridge, MA, USA, June 1992. [Google Scholar]
- Shamass, R.; Zhou, X.; Alfano, G. Finite-element analysis of shear-off failure of keyed dry joints in precast concrete segmental bridges. J. Bridge Eng. 2015, 20, 04014084. [Google Scholar] [CrossRef]
- Korea Institute of Civil Engineering and Building Technology (KICT). Development of Analysis and Design Technology of Precast Wind Tower Using SUPER Concrete; KICT: Goyang-si, Korea, 2017. [Google Scholar]
- Kim, Y.J.; Chin, W.J.; Jeon, S.J. Interface shear strength at joints of ultra-high performance concrete structures. Int. J. Concr. Struct. M 2018, 12, 767–780. [Google Scholar] [CrossRef]
- American Association of State Highway and Transportation Officials (AASHTO). Guide Specifications for Design and Construction of Segmental Concrete Bridges, 2nd ed.; AASHTO: Washington, DC, USA, 2003. [Google Scholar]
- American Association of State Highway and Transportation Officials (AASHTO). AASHTO LRFD Bridge Design Specifications, 9th ed.; AASHTO: Washington, DC, USA, 2020. [Google Scholar]
- Japan Society of Civil Engineers (JSCE). Standard Specifications for Concrete Structures—2007: Design; JSCE: Tokyo, Japan, 2010. [Google Scholar]
- Li, C.; Feng, Z.; Ke, L.; Pan, R.; Nie, J. Experimental study on shear performance of cast-in-place ultra-high performance concrete structures. Materials 2019, 12, 3254. [Google Scholar] [CrossRef] [PubMed]
- Japan Society of Civil Engineers (JSCE). Recommendations for Design and Construction of Ultra High Strength Fiber Reinforced Concrete Structures (Draft); JSCE: Tokyo, Japan, 2004. [Google Scholar]
- Hussein, H.H.; Sargand, S.M.; Al Rikabi, F.T.; Steinberg, E.P. Laboratory evaluation of ultrahigh-performance concrete shear key for prestressed adjacent precast concrete box girder bridges. J. Bridge Eng. 2017, 22, 04016113. [Google Scholar] [CrossRef]
- Park, J.S.; Kim, Y.J.; Cho, J.R.; Jeon, S.J. Early-age strength of ultra-high performance concrete in various curing conditions. Materials 2015, 8, 5537–5553. [Google Scholar] [CrossRef] [PubMed]
- Rombach, G.; Specker, A. Design of joints in segmental hollow box girder bridges. In Proceedings of the 1st fib Congress. The International Federation for Structural Concrete (fib), Osaka, Japan, 13–19 October 2002; p. E-73. [Google Scholar]
- European Committee for Standardization (CEN). Eurocode 2: Design of Concrete Structures—Part 1-1: General Rules and Rules for Buildings (EN 1992-1-1); CEN: Brussels, Belgium, 2004. [Google Scholar]
- The International Federation for Structural Concrete (fib). fib Model Code for Concrete Structures 2010; fib: Lausanne, Switzerland, 2013. [Google Scholar]
- Watanabe, N.; Musha, H.; Yoshinaga, K. Design and performance tests for bridge using ultra high strength fiber reinforced concrete. In Proceedings of the 23rd US-Japan bridge engineering workshop. Public Works Research Institute, Tsukuba, Japan, 5–7 November 2007; pp. 511–522. [Google Scholar]
- Shin, J. Ultra-High Performance Concrete (UHPC) Precast Segmental Bridges—Flexural Behaviour and Joint Design. Ph.D. Thesis, Hamburg University of Technology, Hamburg, Germany, July 2016. [Google Scholar]












(MPa) | W 2 | C 3 | BS 4 | FA 5 | SF 6 | FP 7 | FA 8 | CA 9 | SHA 10 | EA 11 | AD 12 | SF 13 |
|---|---|---|---|---|---|---|---|---|---|---|---|---|
| 80 | 165 | 420 | 189 | 56 | 35 | - | 674.3 | 827.9 | 4.2 | - | 9.1 | - |
| 150 | 176.4 | 793 | 99.1 | - | 99.1 | 237.9 | 872.3 | - | 7.9 | 39.7 | 19.8 | 117 |
| Joint Type | Number of Shear Keys | Filler Type | Curing Temperature (°C) | Lateral Compressive Stress (MPa) | Height of Shear Key (mm) | Width of Joint (mm) | Specimen ID |
|---|---|---|---|---|---|---|---|
| Dry Joint | 1 | Epoxy | - | 2 | 30 | 5 | PC80-D-1-E-N-2-30-5 |
| 15 | 5 | PC80-D-1-E-N-2-15-5 | |||||
| 7.5 | 5 | PC80-D-1-E-N-2-7.5-5 | |||||
| 4 | 30 | 5 | PC80-D-1-E-N-4-30-5 | ||||
| 15 | 5 | PC80-D-1-E-N-4-15-5 | |||||
| 7.5 | 5 | PC80-D-1-E-N-4-7.5-5 | |||||
| 8 | 30 | 5 | PC80-D-1-E-N-8-30-5 | ||||
| 15 | 5 | PC80-D-1-E-N-8-15-5 | |||||
| 7.5 | 5 | PC80-D-1-E-N-8-7.5-5 | |||||
| None | 8 | 30 | 0 | PC80-D-1-N-N-8-30-0 | |||
| 2 | Epoxy | 8 | 30 | 5 | PC80-D-2-E-N-8-30-5 | ||
| 15 | 5 | PC80-D-2-E-N-8-15-5 | |||||
| 7.5 | 5 | PC80-D-2-E-N-8-7.5-5 | |||||
| None | 8 | 30 | 0 | PC80-D-2-N-N-8-30-0 | |||
| 0 | Epoxy | 8 | 0 | 5 | PC80-D-0-E-N-8-0-5 | ||
| None | 8 | 0 | 0 | PC80-D-0-N-N-8-0-0 | |||
| Wet Joint (cast-in-place) | 1 | Concrete 1 | 90 | 8 | 30 | 25, 50, 100 | PC80-W-1-C-90-8-30-25(50, 100) |
| 70 | 0 | 30 | 50 | PC80-W-1-C-70-0-30-50 | |||
| 2 | 30 | 50 | PC80-W-1-C-70-2-30-50 | ||||
| 4 | 30 | 50 | PC80-W-1-C-70-4-30-50 | ||||
| 8 | 30 | 25, 50, 100 | PC80-W-1-C-70-8-30-25(50, 100) | ||||
| 15 | 25, 50, 100 | PC80-W-1-C-70-8-15-25(50, 100) | |||||
| 7.5 | 50 | PC80-W-1-C-70-8-7.5-50 | |||||
| 12 | 30 | 25, 50, 100 | PC80-W-1-C-70-12-30-25(50, 100) | ||||
| 20 | 8 | 30 | 25, 50, 100 | PC80-W-1-C-20-8-30-25(50, 100) | |||
| 15 | 25, 50, 100 | PC80-W-1-C-20-8-15-25(50, 100) | |||||
| 7.5 | 50 | PC80-W-1-C-20-8-7.5-50 | |||||
| Mortar 1 2 | 70 | 8 | 30 | 25, 50, 100 | PC80-W-1-M1-70-8-30-25(50, 100) | ||
| 15 | 25, 50, 100 | PC80-W-1-M1-70-8-15-25(50, 100) | |||||
| 7.5 | 50 | PC80-W-1-M1-70-8-7.5-50 | |||||
| Mortar 2 3 | 30 | 25, 50, 100 | PC80-W-1-M2-70-8-30-25(50, 100) | ||||
| 15 | 25, 50, 100 | PC80-W-1-M2-70-8-15-25(50, 100) | |||||
| 7.5 | 50 | PC80-W-1-M2-70-8-7.5-50 | |||||
| 2 | Concrete | 70 | 8 | 30 | 25, 50, 100 | PC80-W-2-C-70-8-30-25(50, 100) | |
| 15 | 50 | PC80-W-2-C-70-8-15-50 | |||||
| 7.5 | 50 | PC80-W-2-C-70-8-7.5-50 | |||||
| Mortar 1 | 30 | 25, 50, 100 | PC80-W-2-M1-70-8-30-25(50, 100) | ||||
| 15 | 50 | PC80-W-2-M1-70-8-15-50 | |||||
| 7.5 | 50 | PC80-W-2-M1-70-8-7.5-50 | |||||
| Mortar 2 | 30 | 50 | PC80-W-2-M2-70-8-30-50 | ||||
| 15 | 50 | PC80-W-2-M2-70-8-15-50 | |||||
| 7.5 | 25, 50, 100 | PC80-W-2-M2-70-8-7.5-25(50, 100) | |||||
| 0 | Concrete | 2 | 0 | 50 | PC80-W-0-C-70-2-0-50 | ||
| 4 | 50 | PC80-W-0-C-70-4-0-50 | |||||
| 8 | 25, 50, 100 | PC80-W-0-C-70-8-0-25(50, 100) | |||||
| Mortar 1 | 2 | 0 | 50 | PC80-W-0-M1-70-2-0-50 | |||
| 4 | 50 | PC80-W-0-M1-70-4-0-50 | |||||
| 8 | 25, 50, 100 | PC80-W-0-M1-70-8-0-25(50, 100) | |||||
| Mortar 2 | 2 | 0 | 50 | PC80-W-0-M2-70-2-0-50 | |||
| 4 | 50 | PC80-W-0-M2-70-4-0-50 | |||||
| 8 | 25, 50, 100 | PC80-W-0-M2-70-8-0-25(50, 100) |
| Joint Type | Number of Shear Keys | Filler Type | Curing Temperature (°C) | Lateral Compressive Stress (MPa) | Height of Shear Key (mm) | Width of Joint (mm) | Specimen ID |
|---|---|---|---|---|---|---|---|
| Dry joint | 1 | Epoxy | - | 2 | 30 | 5 | PC150-D-1-E-N-2-30-5 |
| 4 | 30 | 5 | PC150-D-1-E-N-4-30-5 | ||||
| 8 | 30 | 5 | PC150-D-1-E-N-8-30-5 | ||||
| Wet joint (cast-in-place) | 1 | Concrete 1 | 70 | 8 | 30 | 25, 50, 100 | PC150-W-1-C-70-8-30-25(50, 100) |
| Mortar 1 2 | 30 | 25, 50, 100 | PC150-W-1-M1-70-8-30-25(50, 100) | ||||
| Mortar 2 3 | 30 | 25, 50, 100 | PC150-W-1-M2-70-8-30-25(50, 100) |
© 2020 by the authors. Licensee MDPI, Basel, Switzerland. This article is an open access article distributed under the terms and conditions of the Creative Commons Attribution (CC BY) license (http://creativecommons.org/licenses/by/4.0/).
Share and Cite
Kim, Y.-J.; Chin, W.-J.; Jeon, S.-J. Interface Shear Strength at Various Joint Types in High-Strength Precast Concrete Structures. Materials 2020, 13, 4364. https://doi.org/10.3390/ma13194364
Kim Y-J, Chin W-J, Jeon S-J. Interface Shear Strength at Various Joint Types in High-Strength Precast Concrete Structures. Materials. 2020; 13(19):4364. https://doi.org/10.3390/ma13194364
Chicago/Turabian StyleKim, Young-Jin, Won-Jong Chin, and Se-Jin Jeon. 2020. "Interface Shear Strength at Various Joint Types in High-Strength Precast Concrete Structures" Materials 13, no. 19: 4364. https://doi.org/10.3390/ma13194364
APA StyleKim, Y.-J., Chin, W.-J., & Jeon, S.-J. (2020). Interface Shear Strength at Various Joint Types in High-Strength Precast Concrete Structures. Materials, 13(19), 4364. https://doi.org/10.3390/ma13194364

