Fabrication of Superhydrophobic Ti–6Al–4V Surfaces with Single-Scale Micotextures by using Two-Step Laser Irradiation and Silanization
Abstract
1. Introduction
2. Materials and Methods
2.1. Principle
2.2. Pretreatment of Samples
2.3. Laser Processing
2.4. Silanization
- (1)
- First, the substrates were immersed into FAS ethanolic solution with a concentration of 2% (v/v) for 30 min in a water bath tank with constant temperature of 60 ± 1 °C
- (2)
- Then, the substrates were baked in an oven at 120 ± 1 °C for one hour.
- (3)
- Finally, the samples were self-cooling in the ambient atmosphere and then cleaned by the deionized water.
2.5. Characterization of Surface Properties
3. Results and Discussion
3.1. Surface Morphology and Roughness
3.1.1. The Effect of First-Step Laser Fluence
3.1.2. The Effect of Second-Step Laser Fluence
3.2. Wettability and Surface Composition of the Laser-Irradiated Ti–6Al–4V surfaces
3.2.1. Without Silanization
3.2.2. With Silanization
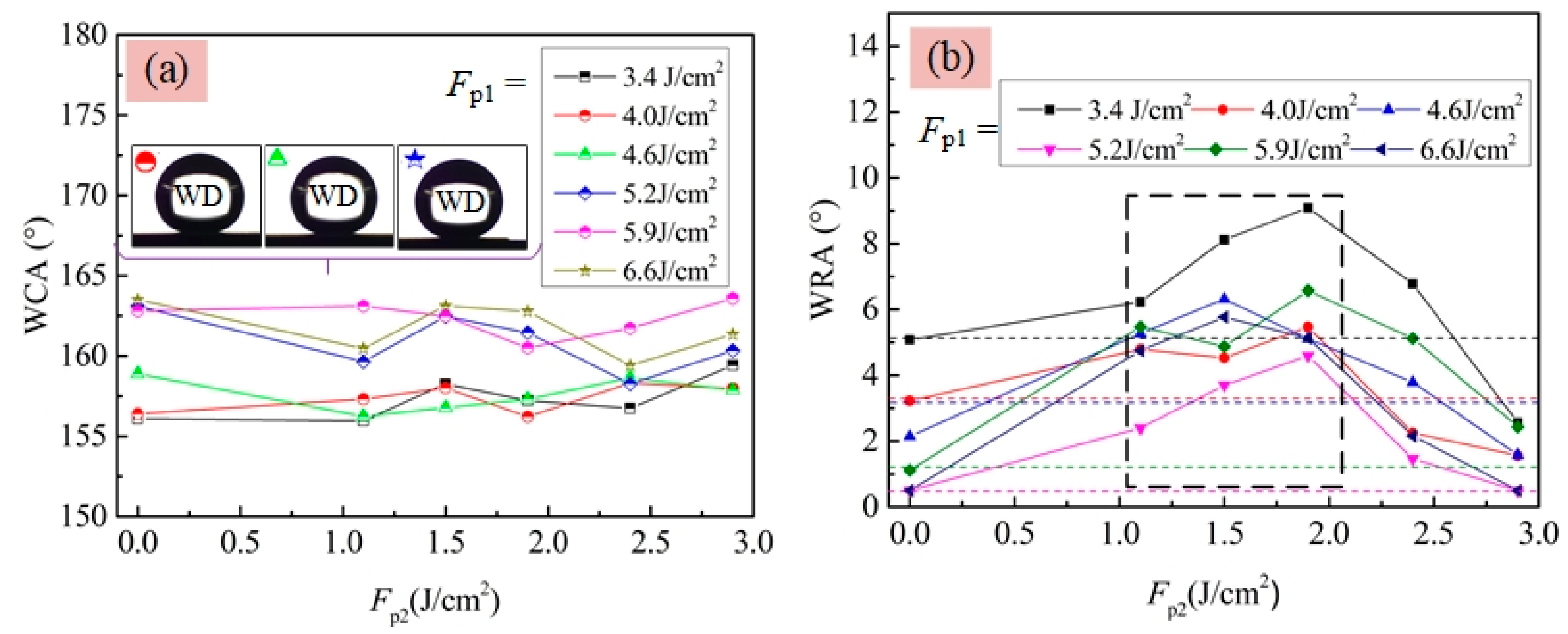
3.2.3. Multifunctional Superhydrophobic Surfaces Produced by Two-Step Laser-Irradiation Process
4. Conclusions
Supplementary Materials
Author Contributions
Funding
Conflicts of Interest
References
- Song, Y.; Liu, Y.; Zhan, B.; Kaya, C.; Stegmaier, T.; Han, Z.W.; Ren, L.Q. Fabrication of bioinspired structured superhydrophobic and superoleophilic copper mesh for efficient oil-water separation. J. Bion. Eng. 2017, 14, 497–505. [Google Scholar] [CrossRef]
- Trdan, U.; Hocevar, M.; Gregorcic, P. Transition from superhydrophilic to superhydrophobic state of laser textured stainless steel surface and its effect on corrosion resistance. Corros. Sci. 2017, 123, 21–26. [Google Scholar] [CrossRef]
- Bhushan, B.; Jung, Y.C. Natural and biomimetic artificial surfaces for superhydrophobicity, self-cleanning, low adhesion, and drag reduction. Progress Mater. Sci. 2011, 56, 1–108. [Google Scholar] [CrossRef]
- Yang, Y.; Lai, Y.K.; Zhang, Q.Q. A novel electrochemical strategy for improving blood compatibility of titanium-based biomaterials. Colloids Surf. B Biointerfaces 2010, 79, 309–313. [Google Scholar] [CrossRef] [PubMed]
- Chen, L.; Han, D.; Jiang, L. On improving blood compatibility: From bioinspired to synthetic design and fabrication of biointerfacial topography at micro/nano scales. Colloids Surf. B Biointerfaces 2011, 85, 2–7. [Google Scholar] [CrossRef]
- Doll, K.; Fadeeva, E.; Stumpp, N.S.; Grade, S.; Chichkov, B.N.; Stiesch, M. Reduced bacterial adhesion on titanium surfaces micro-structured by ultra-short pulsed laser ablation. BioNanoMaterials 2016, 17, 53–57. [Google Scholar] [CrossRef]
- Wu, B.; Zhou, M.; Li, J.; Ye, X.; Li, G.; Cai, L. Superhydrophobic surfaces fabricated by microstructuring of stainless steel using a femtosecond laser. Appl. Surf. Sci. 2009, 256, 61–66. [Google Scholar] [CrossRef]
- Liu, W.J.; Cai, M.Y.; Luo, X.; Chen, C.H.; Pan, R.; Zhong, H.J.; Zhong, M.L. Wettability transition modes of aluminum surfaces with various micro/nanostructures produced by a femtosecond laser. J. Laser Appl. 2019, 31, 022503. [Google Scholar] [CrossRef]
- Long, J.Y.; Cao, Z.; Lin, C.H.; Zhou, C.X.; He, Z.J.; Xie, X.Z. Formation mechanism of hierarchical Micro- and nanostructures on copper induced by low-cost nanosecond lasers. Appl. Surf. Sci. 2019, 464, 412–421. [Google Scholar] [CrossRef]
- Li, B.J.; Zhou, M.; Yuan, R.; Cai, L. Fabrication of titanium-based microstructured surfaces and study on their superhydrophobic stability. Mater. Res. Soc. 2008, 23, 2491–2499. [Google Scholar] [CrossRef]
- Chen, T.C.; Liu, H.T.; Yang, H.F.; Yan, W.; Zhu, W.; Liu, H. Biomimetic fabrication of robust self-assembly superhydrophobic surfaces with corrosion resistance properties on stainless steel substrate. RSC Adv. 2016, 50, 43937. [Google Scholar] [CrossRef]
- Yang, Z.; Liu, X.P.; Tian, Y.L. Hybrid laser ablation and chemical modification for fast fabrication of bio-inspired super-hydrophobic surface with excellent self-cleanning, stability and corrosion resistance. J. Bion. Eng. 2019, 16, 13–26. [Google Scholar] [CrossRef]
- Fadeeva, E.; Truong, V.K.; Stiesch, M.; Chichkov, B.N.; Crawford, R.J.; Wang, J.; Ivanova, E.P. Bacterial retention on superhydrophobic titanium surfaces fabricated by femtosecond laser ablation. Langmuir 2011, 27, 3012–3019. [Google Scholar] [CrossRef]
- Xin, G.Q.; Wu, C.Y.; Cao, H.Y.; Liu, W.N.; Li, B.; Huang, Y.; Rong, Y.M.; Zhang, G.J. Superhydrophobic TC4 alloy surface fabricated by laser micro-scanning to reduce adhesion and drag resistance. Surf. Coat. Technol. 2020, 391, 125707. [Google Scholar] [CrossRef]
- He, H.D.; Wang, C.J.; Zhang, X.; Ning, X.Z.; Sun, L.N. Facile fabrication of multi-scale microgroove textures on Ti-based surface by coupling the re-solidification bulges derived from nanosecond laser irradiation. Surf. Coat. Technol. 2020, 386, 125460. [Google Scholar] [CrossRef]
- He, H.D.; Qu, N.S.; Zeng, Y.B. Lotus-leaf-like microstructures on tungsten surface induced by one-step nanosecond laser irradiation. Surf. Coat. Technol. 2016, 307, 898–907. [Google Scholar] [CrossRef]
- Bordatchev, E.V.; Hafiz, A.M.K.; Tutunea-Fatan, O.R. Performance of laser polishing in finishing of metallic surfaces. Int. J. Adv. Manufact. Technol. 2014, 73, 35–52. [Google Scholar] [CrossRef]
- Cunha, A.; Serro, A.P.; Oliveira, V.; Almeida, A. Wetting behavior of femtosecond laser textured Ti-6Al-4V surfaces. Appl. Surf. Sci. 2013, 265, 688–696. [Google Scholar] [CrossRef]
- Li, B.J.; Li, H.; Huang, L.J.; Ren, N.F.; Kong, X. Femtosecond pulsed laser textured titanium surfaces with stable superhydrophilicity and superhydrophobicity. Appl. Surf. Sci. 2016, 389, 585–593. [Google Scholar] [CrossRef]
- Cheng, J.; Liu, C.S.; Shang, S.; Liu, D.; Perrie, W.; Dearden, G.; Watkins, K. A review of ultrafast laser materials micromachining. Opt. Laser Technol. 2013, 46, 88–102. [Google Scholar] [CrossRef]
- Liang, J.C.; Liu, W.D.; Li, Y.; Luo, Z.; Pang, D.Q. A model to predict the ablation width and calculate the ablation threshold of femtosecond laser. Appl. Surf. Sci. 2018, 456, 482–486. [Google Scholar] [CrossRef]
- Gregorcic, P.; Setina-batic, B.; Hocevar, M. Controlling the stainless steel surface wettability by nanosecond direct laser texturing at high fluences. Appl. Phys. A 2017, 123, 766. [Google Scholar] [CrossRef]
- Skowronski, L.; Antonczak, A.J.; Trzcinski, M.; Lazarek, L.; Hiller, T.; Bukaluk, A.; Wronkowska, A.A. Optical properties of laser induced oxynitride films on titanium. Appl. Surf. Sci. 2014, 304, 107–114. [Google Scholar] [CrossRef]
- Akman, E.; Cerkezoglu, E. Compositional and micro-scratch analyses of laser induced colored surface of titanium. Opt. Lasers Eng. 2016, 84, 37–43. [Google Scholar] [CrossRef]
- Antonczak, A.J.; Skowronski, L.; Trzcinski, M.; Kinzhybalo, V.V.; Lazarek, L.K.; Abramski, K.M. Laser-induced oxidation of titanium substrate: Analysis of the physicochemical structure of the surface and sub-surface layers. Appl. Surf. Sci. 2015, 325, 217–226. [Google Scholar] [CrossRef]
- Lee, M.H.; Oh, N.; Lee, S.W.; Leesungbok, R.; Kim, S.E.; Yun, Y.P.; Kang, J.H. Factors influencing osteoblast maturation on microgrooved titanium substrata. Biomaterials 2010, 31, 3804–3815. [Google Scholar] [CrossRef]
- Lu, Y.; Xu, W.J.; Song, J.L.; Liu, X.; Xing, Y.J.; Sun, J. Preparation of superhydrophobic titanium surfaces via electrochemical etching and fluorosilane modification. Appl. Surf. Sci. 2012, 263, 297–301. [Google Scholar] [CrossRef]
- Yu, H.D.; Lian, Z.X.; Wan, Y.L.; Weng, Z.K.; Xu, J.K.; Yu, Z.L. Fabrication of durable superamphiphobic aluminum alloy surfaces with anisotropic sliding by HS-WEDM and solution immersion processes. Surf. Coat. Technol. 2015, 275, 112–119. [Google Scholar] [CrossRef]

















| Elements | Ti | Al | V | Fe | C | O | H | N |
|---|---|---|---|---|---|---|---|---|
| Weight% | Balance | 5.5–6.8 | 3.5–4.5 | ≤0.3 | ≤0.1 | ≤0.2 | ≤0.015 | ≤0.05 |
| Fp (J/cm2) | v (mm/s) | h (μm) | |
|---|---|---|---|
| First-step | 13.2 | 42.0 | 30.0 |
| Second-step | 1.9 | 42.0 | 1.0 |
© 2020 by the authors. Licensee MDPI, Basel, Switzerland. This article is an open access article distributed under the terms and conditions of the Creative Commons Attribution (CC BY) license (http://creativecommons.org/licenses/by/4.0/).
Share and Cite
He, H.; Hua, R.; Li, X.; Wang, C.; Ning, X.; Sun, L. Fabrication of Superhydrophobic Ti–6Al–4V Surfaces with Single-Scale Micotextures by using Two-Step Laser Irradiation and Silanization. Materials 2020, 13, 3816. https://doi.org/10.3390/ma13173816
He H, Hua R, Li X, Wang C, Ning X, Sun L. Fabrication of Superhydrophobic Ti–6Al–4V Surfaces with Single-Scale Micotextures by using Two-Step Laser Irradiation and Silanization. Materials. 2020; 13(17):3816. https://doi.org/10.3390/ma13173816
Chicago/Turabian StyleHe, Haidong, Risheng Hua, Xuan Li, Chunju Wang, Xuezhong Ning, and Lining Sun. 2020. "Fabrication of Superhydrophobic Ti–6Al–4V Surfaces with Single-Scale Micotextures by using Two-Step Laser Irradiation and Silanization" Materials 13, no. 17: 3816. https://doi.org/10.3390/ma13173816
APA StyleHe, H., Hua, R., Li, X., Wang, C., Ning, X., & Sun, L. (2020). Fabrication of Superhydrophobic Ti–6Al–4V Surfaces with Single-Scale Micotextures by using Two-Step Laser Irradiation and Silanization. Materials, 13(17), 3816. https://doi.org/10.3390/ma13173816

