Vibration Viscosity Sensor for Engine Oil Monitoring Using Metal Matrix Piezoelectric Composite
Abstract
1. Introduction
2. Materials and Methods
2.1. Viscosity Sensor Fabrication
2.2. Vibration Characterization of the Sensor
2.3. Active Viscosity Measurement
3. Results and Discussion
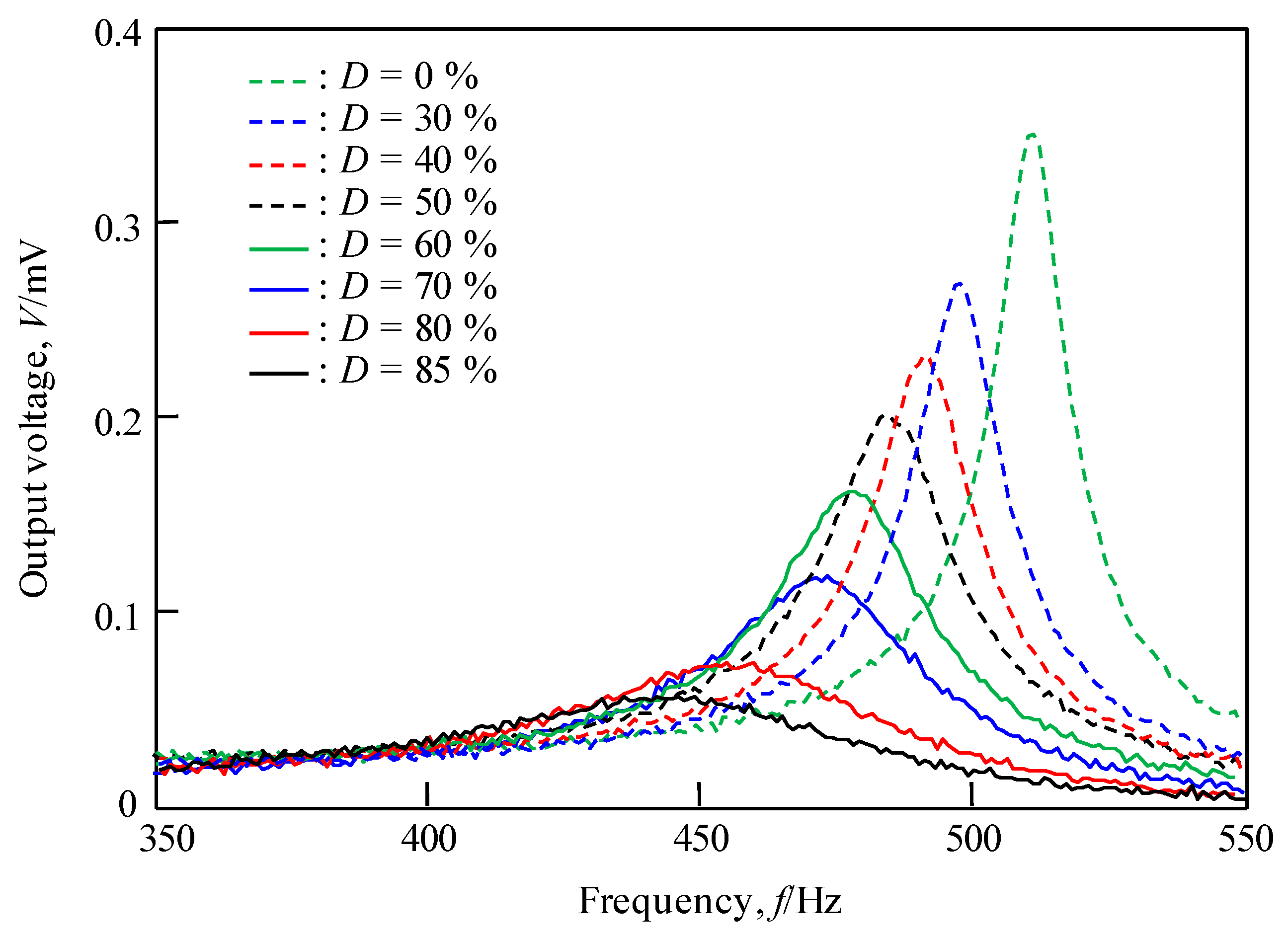
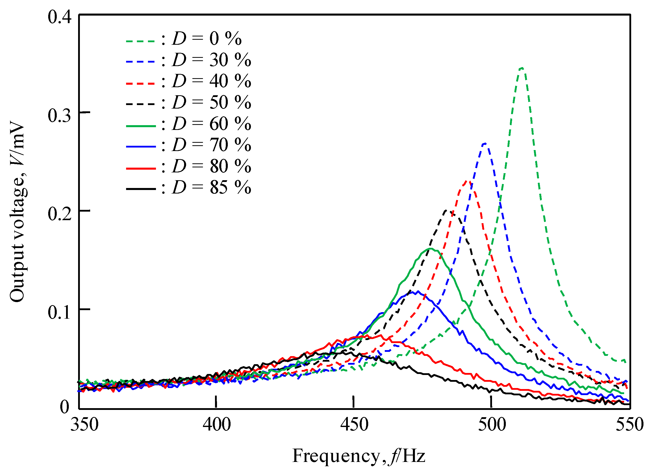
3.1. Evaluation of Vibration Characteristics of the Sensor
3.2. Viscosity Measurement by Active Sensor Style
4. Conclusions
Author Contributions
Funding
Acknowledgments
Conflicts of Interest
References
- Stone, A. From ILSAC GF-5 to GF-6: Bridging the Gap. Fuels Lubes Int. 2017, 23, 22–25. [Google Scholar]
- Van Rensselar, J. PC-11 and GF-6: New engines drive change in oil specs. Tribol. Lubr. Technol. 2013, 69, 30. [Google Scholar]
- Duzcukoglu, H.; Şahin, O.S. Investigation of wear performance of canola oil containing boric acid under boundary friction. Tribol. Trans. 2010, 54, 57–61. [Google Scholar] [CrossRef]
- Farhanah, A.N.; Bahak, M.Z. Engine oil wear resistance. J. Tribol. 2015, 4, 10–20. [Google Scholar]
- Needelman, W.M.; Madhavan, P.V. Review of Lubricant Contamination and Diesel Engine Wear; SAE Technical Paper; SAE International: New York City, NY, USA, 1988; p. 881827. [Google Scholar] [CrossRef]
- Hammond, J.M.; Lec, R.M.; Zhang, X.J.; Libby, D.G.; Prager, L.A. An acoustic automotive engine oil quality sensor. In Proceedings of the IEEE International Frequency Control Symposium, Orlando, FL, USA, 30 May 1997; pp. 72–80. [Google Scholar]
- Kim, J.; Park, S. A Study on Sensor Design for Measurement of Automobile Engine Oil Degradation and Level. In Proceedings of the International Association of Computer and Information Technology, Singapore, 26 February 2012; pp. 11–16. [Google Scholar]
- Dingxin, Y.; Xiaofei, Z.; Zheng, H.; Yongmin, Y. Oil Contamination Monitoring Based on Dielectric Constant Measurement. In Proceedings of the International Conference on Measuring Technology and Mechatronics Automation, Zhangjiajie, China, 11 August 2009; pp. 249–252. [Google Scholar] [CrossRef]
- Zhu, J.; Yoon, J.M.; Qu, Y.; Bechhoefer, E. Lubrication Oil Condition Monitoring and Remaining Useful Life Prediction with Particle Filtering. Int. J. Progn. Health Manag. 2013, 20, 124–138. [Google Scholar]
- Pérez, A.T.; Hadfield, M. Low-Cost Oil Quality Sensor Based on Changes in Complex Permittivity. Sensors 2011, 11, 10675–10690. [Google Scholar] [CrossRef]
- Agoston, A.; Schneidhofer, C.; Dörr, N.; Jakoby, B. A concept of an infrared sensor system for oil condition monitoring. Elektrotechnik Inf. 2008, 125, 71–75. [Google Scholar] [CrossRef]
- Rauscher, M.S.; Tremmel, A.J.; Schardt, M.; Koch, A.W. Non-Dispersive Infrared Sensor for Online Condition Monitoring of Gearbox Oil. Sensors 2017, 17, 399. [Google Scholar] [CrossRef]
- Bley, T.; Pignanelli, E.; Schütze, A. Multi-channel IR sensor system for determination of oil degradation. J. Sens. Sens. Syst. 2014, 3, 121–132. [Google Scholar] [CrossRef]
- Agoston, A.; Ötsch, C.; Jakoby, B. Viscosity sensors for engine oil condition monitoring—Application and interpretation of results. Sens. Actuators A 2005, 121, 327–332. [Google Scholar] [CrossRef]
- Markova, L.V.; Makarenko, V.M.; Semenyuk, M.S.; Zozulya, A.P. On-line monitoring of the viscosity of lubricating oils. J. Frict. Wear 2010, 31, 433–442. [Google Scholar] [CrossRef]
- Durdag, K.; Andle, J. Real-Time Viscosity Measurement for Condition-Based Monitoring Using Solid-State Viscosity Sensor. Tribol. Trans. 2008, 51, 296–302. [Google Scholar] [CrossRef]
- American Society for Testing and Materials. Standard Test Method for Kinematic Viscosity of Transparent and Opaque Liquids; ASTM D445; ASTM International: West Conshohocken, PA, USA, 2015. [Google Scholar]
- American Society for Testing and Materials. Standard Test Method for Low-Temperature Viscosity of Automotive Fluid Lubricants Measured by Brookfield Viscometer; ASTM D445; ASTM International: West Conshohocken, PA, USA, 1992. [Google Scholar]
- Japanese Industrial Standards Association. Methods for Viscosity Measurement of Liquid; JIS Z 8803; Japanese Industrial Standard Committee: Tokyo, Japan, 2011. [Google Scholar]
- Yanaseko, T.; Asanuma, H.; Sato, H. Output Voltage Characteristics of Piezoelectric Fiber/Aluminum Composites Fabricated by Interphase Forming/Bonding Method. Trans. Mater. Res. Soc. Jpn. 2014, 39, 325–329. [Google Scholar] [CrossRef]
- Richeson, M.; Erturun, U.; Waxman, R.; Mossi, K.; Kunikata, J.; Asanuma, H. Characterization of a Pt-core PZT fiber/Al matrix composite. In Proceedings of the SPIE, Behavior and Mechanics of Multifunctional Materials and Composites, San Diego, CA, USA, 8–11 March 2010; p. 7644. [Google Scholar]
- Sato, H.; Shimojo, Y.; Sekiya, T. Lead Zirconate Titanate Fiber, Smart Board Using Lead Zirconate Titanate Fiber, Actuator Utilizing Smart Board, and Sensor Utilizing Smart Board. U.S. Patent No. 6,963,157, 8 November 2005. [Google Scholar]
- Sato, H.; Sekiya, T.; Nagamine, M. Design of the Metal-Core Piezoelectric Fiber. In Smart Structures and Materials 2004; Smart Structures and Integrated Systems: San Diego, CA, USA, 2004; p. 5390. [Google Scholar] [CrossRef]
- Yanaseko, T.; Asanuma, H.; Sato, H. Characterization of a metal-core piezoelectric ceramics fiber/aluminum composite. Mech. Eng. J. 2015, 2, 14-00357. [Google Scholar] [CrossRef]
- Shih, W.S. Simultaneous liquid viscosity and density determination with piezoelectric unimorph cantilevers. J. Appl. Phys. 2001, 89, 1497. [Google Scholar] [CrossRef]
- Anderson, P.D.; Rybicki, M.J. Resonator Sensors Employing Piezoelectric Benders for Fluid Property Sensing. U.S. Patent No. 6,044,694, 4 April 2000. [Google Scholar]
- SAE International. Engine Oil Viscosity Classification; SAE-J300_201501; SAE International: Warrendale, PA, USA, 2015. [Google Scholar]
- Chen, Y.; Pearlstein, A.J. Viscosity-Temperature Correlation for Glycerol-Water Solutions. Ind. Eng. Chem. Res. 1987, 26, 1670–1672. [Google Scholar] [CrossRef]
- Sato, H.; Nagamine, M. Mechanical Properties of Metal-Core Piezoelectric Fiber. In Smart Structures and Materials 2005; Smart Structures and Integrated Systems: San Diego, CA, USA, 2005; p. 5764. [Google Scholar] [CrossRef]
- Asanuma, H. Development of metal-based smart composites. JOM 2000, 52, 21–25. [Google Scholar] [CrossRef]
- Meirovitch, L. Element of Vibration Analysis; Maruzen Corporation: Tokyo, Japan, 1984; pp. 39–58, 181–218. (In Japanese) [Google Scholar]
- Woodward, J.G. A Vibrating-Plate Viscometer. J. Acoust. Soc. Am. 1953, 25, 147–151. [Google Scholar] [CrossRef]
- Kardos, S.; Pietriková, A. Evaluation of Motor Oil Characteristics and Degradation Factors for Possibilities of Continuous Diagnostics. Acta Electrotech. Inform. 2016, 16, 20–24. [Google Scholar] [CrossRef]
- Yanaseko, T.; Sato, H.; Kuboki, I.; Asanuma, H. Characterization of a metal-core piezoelectric ceramics fiber/aluminum composite. Mech. Eng. J. 2018, 8, 17-00565. [Google Scholar] [CrossRef]
- Chen, C.L.; West, G.; Thomson, R.C. Characterisation of intermetallic phases in multicomponent Al-Si casting alloys for engineering applications. Mater. Sci. Forum 2006, 519, 359–364. [Google Scholar] [CrossRef]












| Young’s Modulus/GPa | Density/g·cm−3 | Electromechanical Coupling Coefficient, Kp | Piezoelectric Constant, d33/pm·V−1 | Curie Temperature/K |
|---|---|---|---|---|
| 30–50 | 7.7 | 0.68 | 480 | 558 |
| Length, l/m | Width, b/m | Thickness, h/m | Young’s Modulus, E/GPa | Density, ρc/g·cm−3 |
|---|---|---|---|---|
| 0.0256 | 0.004 | 0.00065 | 69 | 2.7 |
© 2019 by the authors. Licensee MDPI, Basel, Switzerland. This article is an open access article distributed under the terms and conditions of the Creative Commons Attribution (CC BY) license (http://creativecommons.org/licenses/by/4.0/).
Share and Cite
Yanaseko, T.; Sato, H.; Kuboki, I.; Mossi, K.; Asanuma, H. Vibration Viscosity Sensor for Engine Oil Monitoring Using Metal Matrix Piezoelectric Composite. Materials 2019, 12, 3415. https://doi.org/10.3390/ma12203415
Yanaseko T, Sato H, Kuboki I, Mossi K, Asanuma H. Vibration Viscosity Sensor for Engine Oil Monitoring Using Metal Matrix Piezoelectric Composite. Materials. 2019; 12(20):3415. https://doi.org/10.3390/ma12203415
Chicago/Turabian StyleYanaseko, Tetsuro, Hiroshi Sato, Isao Kuboki, Karla Mossi, and Hiroshi Asanuma. 2019. "Vibration Viscosity Sensor for Engine Oil Monitoring Using Metal Matrix Piezoelectric Composite" Materials 12, no. 20: 3415. https://doi.org/10.3390/ma12203415
APA StyleYanaseko, T., Sato, H., Kuboki, I., Mossi, K., & Asanuma, H. (2019). Vibration Viscosity Sensor for Engine Oil Monitoring Using Metal Matrix Piezoelectric Composite. Materials, 12(20), 3415. https://doi.org/10.3390/ma12203415
