Incipient Bulk Polycrystal Plasticity Observed by Synchrotron In-Situ Topotomography
Abstract
Abstract
Dataset
1. Introduction
2. Materials and Methods
2.1. Experimental Setup for Topotomography
2.2. Details of the In Situ Experiment
2.3. Crystal Plasticity Finite Element Simulations
2.4. Lattice Rotations
2.5. Rocking Curves Simulations from CPFEM Data
3. Results
3.1. Topography Results
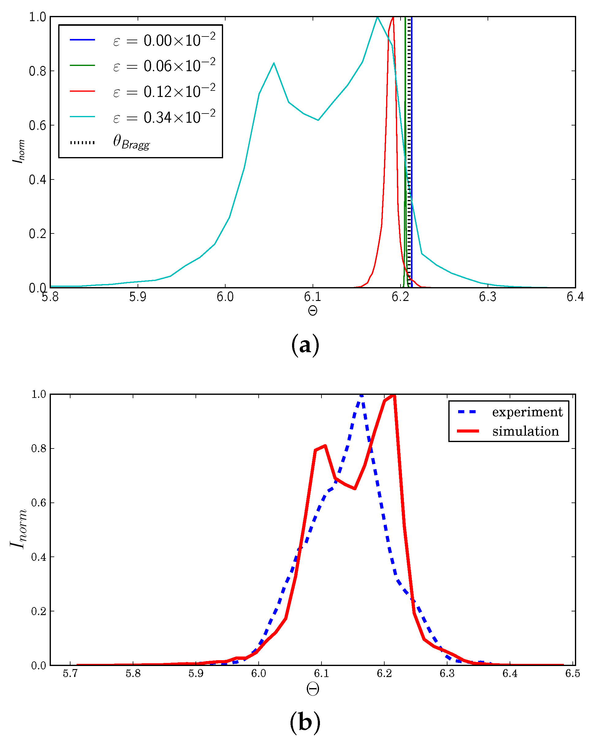
3.2. 3D Rocking Curves’ Results
3.3. Comparison with CPFEM Simulations
4. Conclusions
Supplementary Materials
Author Contributions
Funding
Acknowledgments
Conflicts of Interest
Abbreviations
| EDM | Electro-discharge machining |
| DCT | Diffraction contrast tomography |
| TT | Topotomography |
| PCT | Phase contrast tomography |
| CPFEM | Crystal plasticity finite element method |
References
- Wilkinson, A.J.; Britton, T.B. Strains, planes, and EBSD in materials science. Mater. Today 2012, 15, 366–376. [Google Scholar] [CrossRef]
- Chen, Z.; Daly, S.H. Active Slip System Identification in Polycrystalline Metals by Digital Image Correlation (DIC). Exp. Mech. 2016, 57, 115–127. [Google Scholar] [CrossRef]
- Stinville, J.; Echlin, M.; Texier, D.; Bridier, F.; Bocher, P.; Pollock, T. Sub-Grain Scale Digital Image Correlation by Electron Microscopy for Polycrystalline Materials during Elastic and Plastic Deformation. Exp. Mech. 2016, 56, 197–216. [Google Scholar] [CrossRef]
- Roters, F.; Eisenlohr, P.; Hantcherli, L.; Tjahjanto, D.D.; Bieler, T.R.; Raabe, D. Overview of constitutive laws, kinematics, homogenization and multiscale methods in crystal plasticity finite-element modeling: Theory, experiments, applications. Acta Mater. 2010, 58, 1152–1211. [Google Scholar] [CrossRef]
- Signor, L.; Villechaise, P.; Ghidossi, T.; Lacoste, E.; Gueguen, M.; Courtin, S. Influence of local crystallographic configuration on microcrack initiation in fatigued 316LN stainless steel: Experiments and crystal plasticity finite elements simulations. Mater. Sci. Eng. A 2016, 649, 239–249. [Google Scholar] [CrossRef]
- Guan, Y.; Chen, B.; Zou, J.; Britton, T.B.; Jiang, J.; Dunne, F.P.E. Crystal plasticity modelling and HR-DIC measurement of slip activation and strain localization in single and oligo-crystal Ni alloys under fatigue. Int. J. Plast. 2017, 88, 70–88. [Google Scholar] [CrossRef]
- Zeghadi, A.; N’Guyen, F.; Forest, S.; Gourgues, A.F.; Bouaziz, O. Ensemble averaging stress–strain fields in polycrystalline aggregates with a constrained surface microstructure—Part 1: Anisotropic elastic behavior. Philos. Mag. 2007, 87, 1401–1424. [Google Scholar] [CrossRef]
- Echlin, M.P.; Straw, M.; Randolph, S.; Filevich, J.; Pollock, T.M. The TriBeam system: Femtosecond laser ablation in situ SEM. Mater. Charact. 2015, 100, 1–12. [Google Scholar] [CrossRef]
- Poulsen, H.F. An introduction to three-dimensional X-ray diffraction microscopy. J. Appl. Crystallogr. 2012, 45, 1084–1097. [Google Scholar] [CrossRef]
- Borbély, A.; Kaysser-Pyzalla, A.R. X-ray diffraction microscopy: Emerging imaging techniques for nondestructive analysis of crystalline materials from the millimetre down to the nanometre scale. J. Appl. Crystallogr. 2013, 46, 295–296. [Google Scholar] [CrossRef]
- Ludwig, W.; King, A.; Reischig, P.; Herbig, M.; Lauridsen, E.; Schmidt, S.; Proudhon, H.; Forest, S.; Cloetens, P.; du Roscoat, S.R.; et al. New opportunities for 3D materials science of polycrystalline materials at the micrometre lengthscale by combined use of X-ray diffraction and X-ray imaging. Mater. Sci. Eng. A 2009, 524, 69–76. [Google Scholar] [CrossRef]
- Ludwig, W.; King, A.; Herbig, M.; Reischig, P.; Marrow, J.; Babout, L.; Lauridsen, E.M.; Proudhon, H.; Buffière, J.Y. Characterization of Polycrystalline Materials Using Synchrotron X-ray Imaging and Diffraction Techniques. JOM 2010, 62, 22–28. [Google Scholar] [CrossRef]
- Viganò, N.; Tanguy, A.; Hallais, S.; Dimanov, A.; Bornert, M.; Batenburg, K.J.; Ludwig, W. Three-dimensional full-field X-ray orientation microscopy. Sci. Rep. 2016, 6, 20618. [Google Scholar] [CrossRef] [PubMed]
- Schuren, J.C.; Shade, P.A.; Bernier, J.V.; Li, S.F.; Blank, B.; Lind, J.; Kenesei, P.; Lienert, U.; Suter, R.M.; Turner, T.J.; et al. New opportunities for quantitative tracking of polycrystal responses in three dimensions. Curr. Opin. Solid State Mater. Sci. 2015, 19, 235–244. [Google Scholar] [CrossRef]
- Guéninchault, N.; Proudhon, H.; Ludwig, W. Nanox, a miniature mechanical stress rig designed for near-field X-ray diffraction imaging techniques. J. Synchrotron Radiat. 2016, 23, 1474–1483. [Google Scholar] [CrossRef] [PubMed]
- Turner, D.M.; Kalidindi, S.R. Statistical construction of 3-D microstructures from 2-D exemplars collected on oblique sections. Acta Mater. 2016, 102, 136–148. [Google Scholar] [CrossRef]
- Proudhon, H.; Li, J.; Reischig, P.; Guéninchault, N.; Forest, S.; Ludwig, W. Coupling Diffraction Contrast Tomography with the Finite Element Method. Adv. Eng. Mater. 2016, 18, 903–912. [Google Scholar] [CrossRef]
- McDowell, D.L.; Dunne, F.P.E. Microstructure-sensitive computational modeling of fatigue crack formation. Int. J. Fatigue 2010, 32, 1521–1542. [Google Scholar] [CrossRef]
- Miller, M.P.; Dawson, P.R. Understanding local deformation in metallic polycrystals using high energy X-rays and finite elements. Curr. Opin. Solid State Mater. Sci. 2014, 18, 286–299. [Google Scholar] [CrossRef]
- Erinosho, T.; Collins, D.; Wilkinson, A.; Todd, R.; Dunne, F. Assessment of X-ray diffraction and crystal plasticity lattice strain evolutions under biaxial loading. Int. J. Plast. 2016, 83, 1–18. [Google Scholar] [CrossRef]
- Guery, A.; Hild, F.; Latourte, F.; Roux, S. Identification of crystal plasticity parameters using DIC measurements and weighted FEMU. Mech. Mater. 2016, 100, 55–71. [Google Scholar] [CrossRef]
- Brechet, Y.; Livet, F. Low cycle fatigue of binary Al-Li alloys: III-coalescenceof δ’ precipitates in fatigue: X-ray low angle scattering investigation. J. Phys. Colloq. 1987, 48, C3-717–C3-719. [Google Scholar] [CrossRef]
- Vaughan, G.B.M.; Wright, J.P.; Bytchkov, A.; Rossat, M.; Gleyzolle, H.; Snigireva, I.; Snigirev, A. X-ray transfocators: Focusing devices based on compound refractive lenses. J. Synchrotron Radiat. 2011, 18, 125–133. [Google Scholar] [CrossRef] [PubMed]
- Ludwig, W.; Cloetens, P.; Härtwig, J.; Baruchel, J.; Hamelin, B.; Bastie, P. Three-dimensional imaging of crystal defects by ‘topo-tomography’. J. Appl. Crystallogr. 2001, 34, 602–607. [Google Scholar] [CrossRef]
- Ludwig, W.; Lauridsen, E.M.; Schmidt, S.; Poulsen, H.F.; Baruchel, J. High-resolution three-dimensional mapping of individual grains in polycrystals by topotomography. J. Appl. Crystallogr. 2007, 40, 905–911. [Google Scholar] [CrossRef]
- Busing, W.R.; Levy, H.A. Angle calculations for 3- and 4-circle X-ray and neutron diffractometers. Acta Crystallogr. 1967, 22, 457–464. [Google Scholar] [CrossRef]
- Poulsen, H.F. Three-Dimensional X-Ray Diffraction Microscopy—Mapping Polycrystals and Their Dynamics; Springer Tracts in Modern Physics; Springer: Berlin, Germany, 2004; Volume 205. [Google Scholar]
- Rowenhorst, D.; Rollett, A.D.; Rohrer, G.S.; Groeber, M.; Jackson, M.; Konijnenberg, P.J.; De Graef, M. Consistent representations of and conversions between 3D rotations. Model. Simul. Mater. Sci. Eng. 2015, 23, 083501. [Google Scholar] [CrossRef]
- Besson, J.; Cailletaud, G.; Chaboche, J.L.; Forest, S.; Blétry, M. Non-Linear Mechanics of Materials; Springer Science & Business Media: Berlin, Germany, 2010; Volume 167. [Google Scholar]
- Mandel, J. Equations constitutives et directeurs dans les milieux plastiques et viscoplastiques. Int. J. Solids Struct. 1973, 9, 725–740. [Google Scholar] [CrossRef]
- Besson, J.; Foerch, R. Large scale object-oriented finite element code design. Comput. Methods Appl. Mech. Eng. 1997, 142, 165–187. [Google Scholar] [CrossRef]
- Meric, L.; Poubanne, P.; Cailletaud, G. Single Crystal Modeling for Structural Calculations: Part 1—Model Presentation. J. Eng. Mater. Technol. 1991, 113, 162–170. [Google Scholar] [CrossRef]
- Franciosi, P.; Berveiller, M.; Zaoui, A. Latent hardening in copper and aluminum single crystals. Acta Metall. 1980, 28, 273–283. [Google Scholar] [CrossRef]
- Wu, T.Y.; Bassani, J.L.; Laird, C. Latent hardening in single crystals–I. Theory and experiments. Proc. R. Soc. Lond. A 1991, 435, 1–19. [Google Scholar] [CrossRef]
- Marchenko, A.; Mazière, M.; Forest, S.; Strudel, J.L. Crystal plasticity simulation of strain aging phenomena in α-titanium at room temperature. Int. J. Plast. 2016, 85, 1–33. [Google Scholar] [CrossRef]
- Tabourot, L.; Fivel, M.; Rauch, E. Generalised constitutive laws for f.c.c. single crystals. Mater. Sci. Eng. A 1997, 234–236, 639–642. [Google Scholar] [CrossRef]
- Héripré, E.; Dexet, M.; Crépin, J.; Gélébart, L.; Roos, A.; Bornert, M.; Caldemaison, D. Coupling between experimental measurements and polycrystal finite element calculations for micromechanical study of metallic materials. Int. J. Plast. 2007, 23, 1512–1539. [Google Scholar] [CrossRef]
- Pymicro: A Python Package to Work with Material Microstructures and 3D Data Sets. Available online: https://github.com/heprom/pymicro (accessed on 15 October 2018).
- Shi, Q.; Latourte, F.; Hild, F.; Roux, S. Backtracking Depth-Resolved Microstructures for Crystal Plasticity Identification—Part 2: Identification. JOM 2017, 69, 2803–2809. [Google Scholar] [CrossRef]
- Barabash, R.I.; Klimanek, P. X-ray scattering by crystals with local lattice rotation fields. J. Appl. Crystallogr. 1999, 32, 1050–1059. [Google Scholar] [CrossRef]
- Pantleon, W.; Wejdemann, C.; Jakobsen, B.; Lienert, U.; Poulsen, H. Evolution of deformation structures under varying loading conditions followed in situ by high angular resolution 3DXRD. Mater. Sci. Eng. A 2009, 524, 55–63. [Google Scholar] [CrossRef]
- Borbély, A.; Ungár, T. X-ray line profiles analysis of plastically deformed metals. C. R. Phys. 2012, 13, 293–306. [Google Scholar] [CrossRef]











| Grain ID | Orientation (Rodrigues) | Aligned Reflection | Values | |
|---|---|---|---|---|
| 4 | [0.050, −0.305, 0.104] | (202) | 6.21 | (0.52, −11.04) |
| 10 | [−0.028, −0.145, 0.062] | (002) | 4.39 | (2.14, 16.63) |
| 18 | [−0.135, −0.272, −0.333] | (202) | 6.21 | (−4.81, −12.88) |
| K (MPa) | n (-) | (MPa) | Q (MPa) | b (-) |
|---|---|---|---|---|
| 38 | 10 | 10 | 5.3 | 763 |
| Grain ID | Schmid Factor | ||
|---|---|---|---|
| 4 | (1-11) | 0.476 | (338.6, 176.3) |
| (111) | 0.461 | (158.6, 356.3) | |
| 10 | (111) | 0.490 | (214.5, 40.8) |
| (1-11) | 0.473 | (304.5, 130.8) | |
| 18 | (111) | 0.488 | (209.1, 46.8) |
| (1-11) | 0.457 | (29.1, 226.8) |
© 2018 by the authors. Licensee MDPI, Basel, Switzerland. This article is an open access article distributed under the terms and conditions of the Creative Commons Attribution (CC BY) license (http://creativecommons.org/licenses/by/4.0/).
Share and Cite
Proudhon, H.; Guéninchault, N.; Forest, S.; Ludwig, W. Incipient Bulk Polycrystal Plasticity Observed by Synchrotron In-Situ Topotomography. Materials 2018, 11, 2018. https://doi.org/10.3390/ma11102018
Proudhon H, Guéninchault N, Forest S, Ludwig W. Incipient Bulk Polycrystal Plasticity Observed by Synchrotron In-Situ Topotomography. Materials. 2018; 11(10):2018. https://doi.org/10.3390/ma11102018
Chicago/Turabian StyleProudhon, Henry, Nicolas Guéninchault, Samuel Forest, and Wolfgang Ludwig. 2018. "Incipient Bulk Polycrystal Plasticity Observed by Synchrotron In-Situ Topotomography" Materials 11, no. 10: 2018. https://doi.org/10.3390/ma11102018
APA StyleProudhon, H., Guéninchault, N., Forest, S., & Ludwig, W. (2018). Incipient Bulk Polycrystal Plasticity Observed by Synchrotron In-Situ Topotomography. Materials, 11(10), 2018. https://doi.org/10.3390/ma11102018

