In Situ Formation of Decavanadate-Intercalated Layered Double Hydroxide Films on AA2024 and their Anti-Corrosive Properties when Combined with Hybrid Sol Gel Films
Abstract
:1. Introduction
2. Experiments
2.1. Pretreatment of Substrate
2.2. Preparation of LDH Films
2.2.1. Preparation of Decavanadate Anion-Intercalated LDH (LDH-V)
2.2.2. Preparation of the Sol
2.2.3. Preparation of the Hybrid Coating (LDH-VS)
2.3. Surface Characterization and Other Tests
2.3.1. Scanning Electron Microscopy (SEM)
2.3.2. X-ray Diffractometer (XRD) Analysis
2.3.3. Electrochemical Measurements
2.3.4. Neutral SST
2.3.5. Ultraviolet-Visible Spectroscopy (UV-Vis) Measurements
3. Results and Discussion
3.1. Preparation of LDH Films
3.1.1. XRD Patterns of LDH Films
3.1.2. Effect of Practical Parameters on the Formation of LDH Films
3.2. Fabrication and Release Behavior of LDH-V Films
3.3. Preparation and Anti-Corrosive Behavior of the Hybrid LDH-VS Films
3.3.1. Surface Characterization of the Hybrid Film
3.3.2. Adhesion Test of the Hybrid Coating
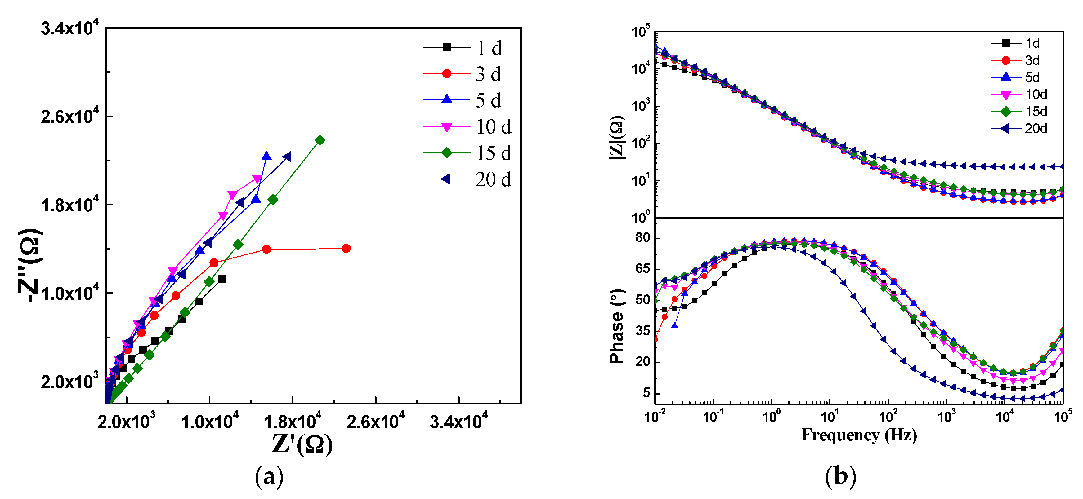
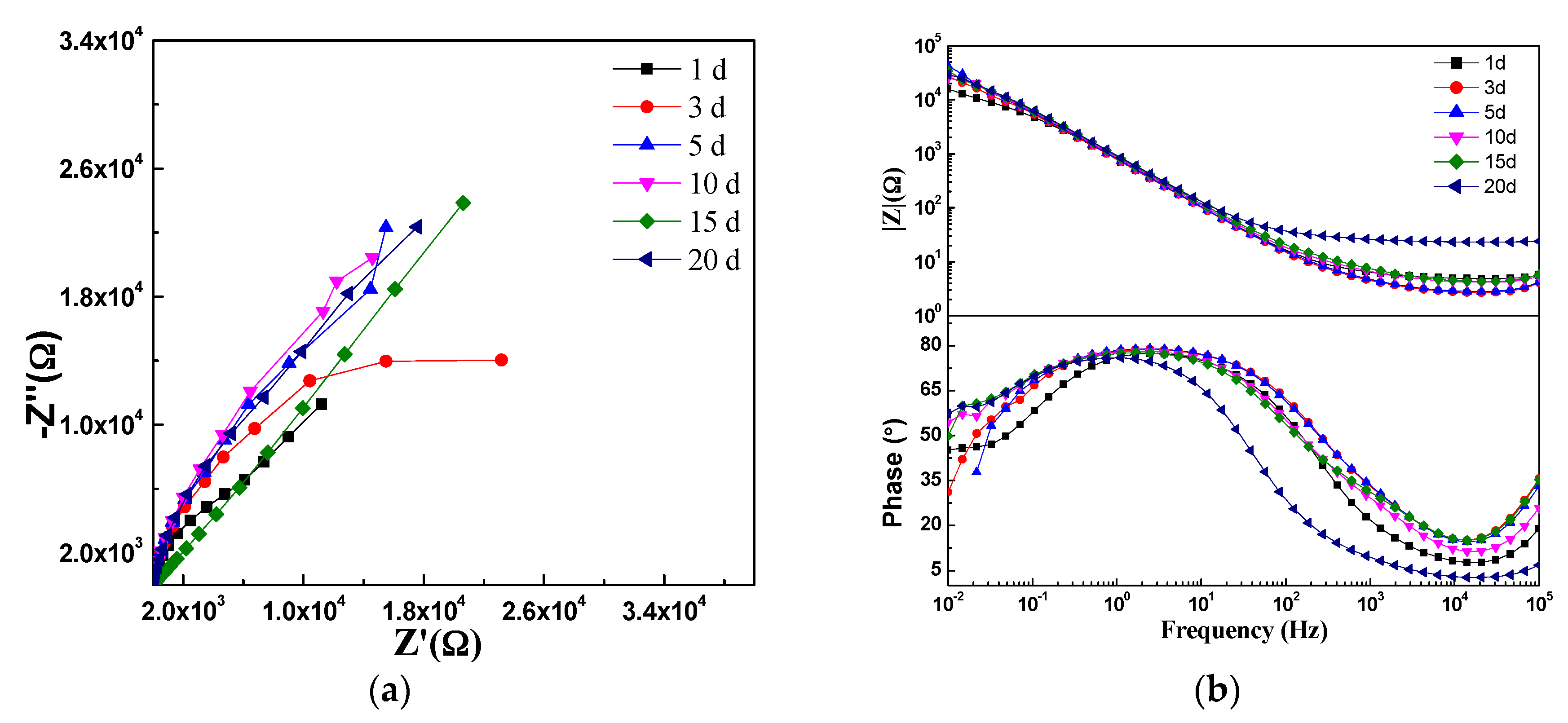
3.3.3. Corrosion-Resistant Properties of the Hybrid Coatings
4. Conclusions
Acknowledgments
Author Contributions
Conflicts of Interest
References
- Campestrini, P.; Terryn, H.; Vereecken, J.; Wit, J.H.W. Chromate conversion coating on aluminum alloys. J. Electrochem. Soc. 2004, 151, B370–B377. [Google Scholar] [CrossRef]
- Palanivel, V.; Huang, Y.; Ooij, W.J.V. Effects of addition of corrosion inhibitors to silane films on the performance of AA2024–T3 in a 0.5M NaCl solution. Prog. Org. Coat. 2005, 53, 53–168. [Google Scholar] [CrossRef]
- Palomino, L.M.; Suegama, P.H.; Aoki, I.V.; Montemor, M.F.; Melo, H.G.D. Electrochemical study of modified cerium–silane bi–layer on Al alloy 2024–T3. Corros. Sci. 2009, 51, 1238–1250. [Google Scholar] [CrossRef]
- Zheludkevich, M.L.; Poznyak, S.K.; Rodrigues, L.M.; Raps, D.; Hack, T.; Dick, L.F.; Nunes, T.; Ferreira, M.G.S. Active protection coatings with layered double hydroxide nanocontainers of corrosion inhibitor. Corros. Sci. 2010, 52, 602–611. [Google Scholar] [CrossRef]
- Yu, X.; Wang, J.; Zhang, M.; Yang, L.H.; Li, J.Q.; Yang, P.P.; Cao, D.X. Synthesis, characterization and anticorrosion performance of molybdate pillared hydrotalcite/in situ created ZnO composite as pigment for Mg–Li alloy protection. Surf. Coat. Technol. 2008, 203, 250–255. [Google Scholar] [CrossRef]
- Yu, X.; Wang, J.; Zhang, M.; Yang, P.P.; Yang, L.H.; Cao, D.X.; Li, J.Q. One–step synthesis of lamellar molybdate pillared hydrotalcite and its application for AZ31 Mg alloy protection. Solid State Sci. 2009, 11, 376–381. [Google Scholar] [CrossRef]
- Williams, G.; McMurray, H.N. Anion-exchange inhibition of filiform corrosion on organic coated AA2024-T3 aluminum alloy by Hydrotalcite-Like pigments. Electrochem. Solid–State Lett. 2003, 6, B9–B11. [Google Scholar] [CrossRef]
- Hu, J.L.; Gan, M.Y.; Ma, L.; Zhang, J.; Xie, S.; Xu, F.F.; Zheng, J.Y.; Shen, X.Y.; Yin, H. Preparation and enhanced properties of polyaniline/grafted intercalated ZnAl–LDH nanocomposites. Appl. Surf. Sci. 2015, 328, 325–334. [Google Scholar] [CrossRef]
- Poznyak, S.K.; Tedim, J.; Rodrigues, L.M.; Salak, A.N.; Zheludkevich, M.L.; Dick, L.F.P.; Ferreira, M.G.S. Novel inorganic host layered double hydroxides intercalated with guest organic inhibitors for anticorrosion applications. ACS Appl. Mater. Interfaces 2009, 1, 2353–2362. [Google Scholar] [CrossRef] [PubMed]
- Zhang, F.; Zhao, L.; Chen, H.; Xu, S.; Evans, D.G.; Duan, X. Corrosion resistance of superhydrophobic Layered Double Hydroxide films on aluminum. Angew. Chem. 2008, 47, 2466–2469. [Google Scholar] [CrossRef] [PubMed]
- Buchheit, R.G.; Schmutz, P.G.; Guan, H.G.; Mamidipally, S.B. Active corrosion protection in Ce-modified hydrotalcite conversion coatings. Corrosion 2002, 58, 3–14. [Google Scholar] [CrossRef]
- Zhang, W.; Buchheit, R.G. Hydrotalcite coating formation on Al–Cu–Mg alloys from oxidizing bath chemistries. Corrosion 2002, 58, 591–600. [Google Scholar] [CrossRef]
- Leggat, R.B.; Taylor, S.R.; Zhang, W.B.; Buchheit, R.G. Performance of hydrotalcite conversion treatments on AA2024-T3 when used in a coating system. Corrosion 2002, 58, 322–328. [Google Scholar] [CrossRef]
- Tedim, J.; Zheludkevich, M.L.; Salak, A.N.; Lisenkov, A.; Ferreira, M.G.S. Nanostructured LDH-container layer with active protection functionality. J. Mater. Chem. 2011, 21, 15464–15470. [Google Scholar] [CrossRef]
- Tedim, J.; Bastos, A.C.; Kallip, S.; Zheludkevich, M.L.; Ferreira, M.G.S. Corrosion protection of AA2024–T3 by LDH conversion films, Analysis of SVET results. Electrochim. Acta 2016, 210, 215–224. [Google Scholar] [CrossRef]
- Tedim, J.; Zheludkevich, M.L.; Bastos, A.C.; Salak, A.N.; Carneiro, J.; Maia, F.; Lisenkov, A.D.; Oliveira, A.B.; Ferreira, M.G.S. Effect of surface treatment on the performance of LDH conversion films. ECS Electrochem. Lett. 2014, 3, C4–C8. [Google Scholar] [CrossRef]
- Tedim, J.; Poznyak, S.K.; Kuznetsova, A.; Raps, D.; Hack, T.; Zheludkevich, M.L.; Ferreira, M.G.S. Enhancement of active corrosion protection via combination of inhibitor–loaded nanocontainers. ACS Appl. Mater. Interfaces 2010, 2, 1528–1535. [Google Scholar] [CrossRef] [PubMed]
- Tedim, J.; Zheludkevich, M.L.; Bastos, A.C.; Lisenkov, A.D.; Ferreira, M.G.S. Influence of preparation conditions of Layered Double Hydroxide conversion films on corrosion protection. Electrochim. Acta 2014, 117, 164–171. [Google Scholar] [CrossRef]
- Tedim, J.; Kuznetsova, A.; Salak, A.N.; Montemor, F.; Snihirova, D.; Pilz, M.; Zheludkevich, M.L.; Ferreira, M.G.S. Zn–Al layered double hydroxides as chloride nanotraps in active protective coatings. Corro. Sci. 2012, 55, 1–4. [Google Scholar] [CrossRef]
- Uan, J.Y.; Lin, J.K.; Tung, Y.S. Direct growth of oriented Mg–Al layered double hydroxide film on Mg alloy in aqueous HCO3–/CO32– solution. J. Mater. Chem. 2010, 20, 761–766. [Google Scholar] [CrossRef]
- Wang, J.; Li, D.; Yu, X.; Jing, X.; Zhang, M.; Jiang, Z.H. Hydrotalcite conversion coating on Mg alloy and its corrosion resistance. J. Alloys Compd. 2010, 494, 271–274. [Google Scholar] [CrossRef]
- Guo, X.; Xu, S.; Zhao, L.; Lu, W.; Zhang, F.; Evans, D.G.; Duan, X. One–step hydrothermal crystallization of a layered double hydroxide/alumina bilayer film on aluminum and its corrosion resistance properties. Langmuir 2009, 25, 9894–9897. [Google Scholar] [CrossRef] [PubMed]
- Lin, J.K.; Hsia, C.L.; Uan, J.Y. Characterization of Mg,Al–hydrotalcite conversion film on Mg alloy and Cl− and CO32− anion–exchangeability of the film in a corrosive environment. Scr. Mater. 2007, 56, 927–930. [Google Scholar] [CrossRef]
- Yi, J.; Zhang, X.; Chen, M.; Gu, R. Effect of Na2CO3 on corrosion resistance of cerium conversion film on Mg–Gd–Y–Zr magnesium alloy surface. Scr. Mater. 2008, 59, 955–958. [Google Scholar] [CrossRef]
- Chen, H.; Zhang, F.; Fu, S.; Duan, X. In situ microstructure control of oriented layered double hydroxide monolayer films with curved hexagonal crystals as superhydrophobic materials. Adv. Mater. 2006, 18, 3089–3093. [Google Scholar] [CrossRef]
- Zheludkevich, M.L.; Serra, R.; Montemor, M.F.; Yasakau, K.A.; Salvado, I.M.; Ferreira, M.G.S. Nanostructured sol–gel coatings doped with cerium nitrate as pre–treatments for AA2024–T3 Corrosion protection performance. Electrochim. Acta 2005, 51, 208–217. [Google Scholar] [CrossRef]
- Hawthorne, H.M.; Neville, A.; Troczynski, T.; Hu, X.; Thammachart, M.; Xie, Y.; Fu, J.; Yang, Q. Characterization of chemically bonded composite sol-gel based alumina coatings on steel substrates. Surf. Coat. Technol. 2004, 176, 243–252. [Google Scholar] [CrossRef]
- Schem, M.; Schmidt, T.; Gerwann, J.; Wittmar, M.; Veith, M.; Thompson, G.E.; Molchan, I.S.; Hashimoto, T.; Skeldon, P.; Phani, A.R.; et al. CeO2-filled sol-gel coatings for corrosion protection of AA2024–T3 aluminium alloy. Corros. Sci. 2009, 51, 2304–2315. [Google Scholar] [CrossRef]
- Liu, W.; Chen, Y.; Ye, C.; Zhang, P. Preparation and characterization of doped sol-gel zirconia films. Ceram. Int. 2002, 28, 349–354. [Google Scholar] [CrossRef]
- Sheffer, M.; Groysman, A.; Mandler, D. Electrodeposition of sol-gel films on Al for corrosion protection. Corros. Sci. 2003, 45, 2893–2904. [Google Scholar] [CrossRef]
- Kameda, T.; Shingo, S.; Yoshiaki, U. Mg–Al layered double hydroxide intercalated with ethylene-diaminetetraacetate anion: Synthesis and application to the uptake of heavy metal ions from an aqueous solution. Sep. Purif. Technol. 2005, 47, 20–26. [Google Scholar] [CrossRef]
- Lee, H.M.; Yun, J.Y. Preparation of aluminum-oleic acid nano-composite for application to electrode for Si solar cells. Mater. Trans. 2011, 52, 1222–1227. [Google Scholar] [CrossRef]

















| Element | Cu | Mg | Mn | Fe | Si | Zn | Cr | Al |
|---|---|---|---|---|---|---|---|---|
| Content (wt %) | 4.35 | 1.36 | 0.67 | 0.18 | 0.10 | 0.07 | 0.02 | Balance |
| Type of LDH Films | Rsol/Ω | Ccoat/F | Rcoat/Ω | Cox/F | Rox/Ω | Cdl/C | Rct/Ω | Chi-Squared |
|---|---|---|---|---|---|---|---|---|
| LDH-S | 2.4 × 101 | 1.0 × 10−4 | 2.4 × 102 | 9.7 × 10−5 | 6.2 × 103 | 9.3 × 10−4 | 1.5 × 104 | 7.7 × 10−3 |
| LDH-VS | 1.1 × 102 | 8.0 × 10−8 | 1.6 × 103 | 6.4 × 10−7 | 1.8 × 104 | 2.2 × 10−5 | 1.0 × 105 | 1.2 × 10−1 |
| Immersion time/day | Rsol/Ω | Ccoat/F | Rcoat/Ω | Cox/F | Rox/Ω | Cdl/C | Rct/Ω | Chi-Squared |
|---|---|---|---|---|---|---|---|---|
| 1 | 5.5 × 100 | 9.2 × 10−5 | 7.2 × 101 | 9.6 × 10−5 | 6.6 × 103 | 6.9 × 10−4 | 1.8 × 104 | 2.3 × 10−2 |
| 3 | 3.2 × 100 | 6.2 × 10−5 | 1.5 × 101 | 9.3 × 10−5 | 2.2 × 103 | 1.4 × 10−4 | 2.2 × 104 | 5.0 × 10−2 |
| 5 | 5.4 × 100 | 5.8 × 10−5 | 2.0 × 101 | 1.0 × 10−4 | 5.7 × 103 | 2.2 × 10−4 | 3.6 × 104 | 2.3 × 10−2 |
| 10 | 4.6 × 100 | 4.5 × 10−5 | 1.7 × 101 | 9.8 × 10−5 | 2.8 × 103 | 1.4 × 10−4 | 3.3 × 104 | 3.1 × 10−2 |
| 15 | 2.0 × 10-5 | 3.6 × 10−7 | 1.0 × 101 | 4.6 × 10−5 | 7.4 × 102 | 1.1 × 10−4 | 2.2 × 104 | 3.6 × 10−1 |
| 20 | 8.4 × 100 | 4.2 × 10−5 | 2.7 × 101 | 1.0 × 10−4 | 5.3 × 103 | 2.0 × 10−4 | 3.5 × 104 | 3.4 × 10−2 |
| Immersion time/day | Rsol/Ω | Ccoat/F | Rcoat/Ω | Cox/F | Rox/Ω | Cdl/C | Rct/Ω | Chi-Squared |
|---|---|---|---|---|---|---|---|---|
| 1 | 4.9 × 101 | 1.6 × 10−7 | 6.3 × 102 | 2.4 × 10−6 | 4.8 × 103 | 3.3 × 10−5 | 8.3 × 104 | 1.2 × 10−1 |
| 3 | 3.1 × 101 | 2.3 × 10−7 | 5.7 × 102 | 5.5 × 10−6 | 7.0 × 103 | 4.1 × 10−5 | 1.2 × 105 | 1.2 × 10−1 |
| 5 | 2.5 × 101 | 2.7 × 10−7 | 4.6 × 102 | 6.0 × 10−6 | 6.9 × 103 | 4.2 × 10−5 | 1.5 × 105 | 1.2 × 10−1 |
| 10 | 2.0 × 101 | 3.5 × 10−7 | 3.3 × 102 | 6.9 × 10−6 | 5.7 × 103 | 4.6 × 10−5 | 1.5 × 105 | 1.2 × 10−1 |
| 15 | 1.7 × 101 | 5.0 × 10−7 | 2.5 × 102 | 8.2 × 10−6 | 4.7 × 103 | 5.6 × 10−5 | 1.5 × 105 | 1.1 × 10−1 |
| 20 | 1.9 × 101 | 5.8 × 10−7 | 2.8 × 102 | 8.9 × 10−6 | 4.8 × 103 | 6.2 × 10−5 | 1.7 × 105 | 1.2 × 10−1 |
© 2017 by the authors. Licensee MDPI, Basel, Switzerland. This article is an open access article distributed under the terms and conditions of the Creative Commons Attribution (CC BY) license (http://creativecommons.org/licenses/by/4.0/).
Share and Cite
Wu, J.; Peng, D.; He, Y.; Du, X.; Zhang, Z.; Zhang, B.; Li, X.; Huang, Y. In Situ Formation of Decavanadate-Intercalated Layered Double Hydroxide Films on AA2024 and their Anti-Corrosive Properties when Combined with Hybrid Sol Gel Films. Materials 2017, 10, 426. https://doi.org/10.3390/ma10040426
Wu J, Peng D, He Y, Du X, Zhang Z, Zhang B, Li X, Huang Y. In Situ Formation of Decavanadate-Intercalated Layered Double Hydroxide Films on AA2024 and their Anti-Corrosive Properties when Combined with Hybrid Sol Gel Films. Materials. 2017; 10(4):426. https://doi.org/10.3390/ma10040426
Chicago/Turabian StyleWu, Junsheng, Dongdong Peng, Yuntao He, Xiaoqiong Du, Zhan Zhang, Bowei Zhang, Xiaogang Li, and Yizhong Huang. 2017. "In Situ Formation of Decavanadate-Intercalated Layered Double Hydroxide Films on AA2024 and their Anti-Corrosive Properties when Combined with Hybrid Sol Gel Films" Materials 10, no. 4: 426. https://doi.org/10.3390/ma10040426
APA StyleWu, J., Peng, D., He, Y., Du, X., Zhang, Z., Zhang, B., Li, X., & Huang, Y. (2017). In Situ Formation of Decavanadate-Intercalated Layered Double Hydroxide Films on AA2024 and their Anti-Corrosive Properties when Combined with Hybrid Sol Gel Films. Materials, 10(4), 426. https://doi.org/10.3390/ma10040426
