Fabrication of Biocompatible Potassium Sodium Niobate Piezoelectric Ceramic as an Electroactive Implant
Abstract
:1. Introduction
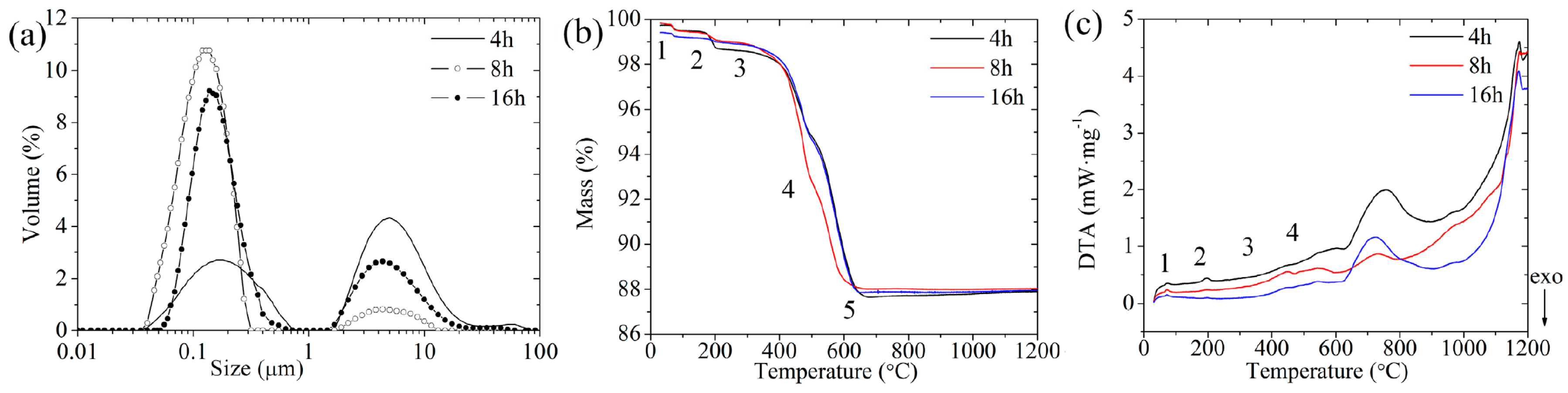
2. Results and Discussion
3. Materials and Methods
3.1. Samples Preparation
3.2. Poling and Protein Adsorption
3.3. Live/Dead Cell Staining and Proliferation Assay
3.4. Characterizations
4. Conclusions
Acknowledgments
Author Contributions
Conflicts of Interest
References
- Fukada, E.; Yasuda, I. On the piezoelectric effect of bone. J. Phys. Soc. Jpn. 1957, 12, 1158–1162. [Google Scholar] [CrossRef]
- Bassett, C.A.; Becker, R.O. Generation of electric potentials by bone in response to mechanical stress. Science 1962, 137, 1063–1064. [Google Scholar] [CrossRef] [PubMed]
- Braden, M.; Bairstow, A.; Beider, I.; Ritter, B. Electrical and piezo-electrical properties of dental hard tissues. Nature 1966, 212, 1565–1566. [Google Scholar] [CrossRef] [PubMed]
- McElhaney, J.H. The charge distribution on the human femur due to load. J. Bone Jt. Surg. Am. 1967, 49, 1561–1571. [Google Scholar] [CrossRef]
- Eiichi, F.; Iwao, Y. Piezoelectric effects in collagen. Jpn. J. Appl. Phys. 1964, 3, 117. [Google Scholar]
- Marino, A.A.; Becker, R.O.; Soderholm, S.C. Origin of the piezoelectric effect in bone. Calcif. Tissue Res. 1971, 8, 177–180. [Google Scholar] [CrossRef] [PubMed]
- Williams, W.S.; Breger, L. Piezoelectricity in tendon and bone. J. Biomech. 1975, 8, 407–413. [Google Scholar] [CrossRef]
- Halperin, C.; Mutchnik, S.; Agronin, A.; Molotskii, M.; Urenski, P.; Salai, M.; Rosenman, G. Piezoelectric effect in human bones studied in nanometer scale. Nano Lett. 2014, 4, 1253–1256. [Google Scholar] [CrossRef]
- Minary-Jolandan, M.; Yu, M.F. Uncovering nanoscale electromechanical heterogeneity in the subfibrillar structure of collagen fibrils responsible for the piezoelectricity of bone. ACS Nano 2009, 3, 1859–1863. [Google Scholar] [CrossRef] [PubMed]
- Ball, J.P.; Mound, B.A.; Nino, J.C.; Allen, J.B. Biocompatible evaluation of barium titanate foamed ceramic structures for orthopedic applications. J. Biomed. Mater. Res. A 2014, 102, 2089–2095. [Google Scholar] [CrossRef] [PubMed]
- Zhang, X.; Zhang, C.; Lin, Y.; Hu, P.; Shen, Y.; Wang, K.; Meng, S.; Chai, Y.; Dai, X.; Liu, X.; et al. Nanocomposite membranes enhance bone regeneration through restoring physiological electric microenvironment. ACS Nano 2016, 10, 7279–7286. [Google Scholar] [CrossRef] [PubMed]
- Dubey, A.K.; Kakimoto, K.; Obata, A.; Kasuga, T. Enhanced polarization of hydroxyapatite using the design concept of functionally graded materials with sodium potassium niobate. RSC Adv. 2014, 4, 24601–24611. [Google Scholar] [CrossRef]
- Marino, A.; Arai, S.; Hou, Y.; Sinibaldi, E.; Pellegrino, M.; Chang, Y.T.; Mazzolai, B.; Mattoli, V.; Suzuki, M.; Ciofani, G. Piezoelectric nanoparticle-assisted wireless neuronal stimulation. ACS Nano 2015, 9, 7678–7689. [Google Scholar] [CrossRef] [PubMed]
- Horiuchi, N.; Nakaguki, S.; Wada, N.; Nozaki, K.; Nakamura, M.; Nagai, A.; Katayama, K.; Yamashita, K. Polarization-induced surface charges in hydroxyapatite ceramics. J. Appl. Phys. 2014, 116, 014902. [Google Scholar] [CrossRef]
- Tarafder, S.; Banerjee, S.; Bandyopadhyay, A.; Bose, S. Electrically polarized biphasic calcium phosphates: Adsorption and release of bovine serum albumin. Langmuir 2010, 26, 16625–16629. [Google Scholar] [CrossRef] [PubMed]
- Ohgaki, M.; Kizuki, T.; Katsura, M.; Yamashita, K. Manipulation of selective cell adhesion and growth by surface charges of electrically polarized hydroxyapatite. J. Biomed. Mater. Res. 2001, 57, 366–373. [Google Scholar] [CrossRef]
- Bodhak, S.; Bose, S.; Bandyopadhyay, A. Electrically polarized HAp-coated Ti: In vitro bone cell–material interactions. Acta Biomater. 2010, 6, 641–651. [Google Scholar] [CrossRef] [PubMed]
- Yamashita, K.; Oikawa, N.; Umegaki, T. Acceleration and deceleration of bone-like crystal growth on ceramic hydroxyapatite by electric poling. Chem. Mater. 1996, 8, 2697–2700. [Google Scholar] [CrossRef]
- Bodhak, S.; Bose, S.; Bandyopadhyay, A. Role of surface charge and wettability on early stage mineralization and bone cell–materials interactions of polarized hydroxyapatite. Acta Biomater. 2009, 5, 2178–2188. [Google Scholar] [CrossRef] [PubMed]
- Espanol, M.; Mestres, G.; Luxbacher, T.; Dory, J.B.; Ginebra, M.P. Impact of porosity and electrolyte composition on the surface charge of hydroxyapatite biomaterials. ACS Appl. Mater. Interfaces 2016, 8, 908–917. [Google Scholar] [CrossRef] [PubMed]
- Nakamura, M.; Yamashita, K. 15 Polarization-mediated modification of hydroxyapatite to improve biological responses. Miner. Scales Biol. Ind. Syst. 2013, 287–306. [Google Scholar] [CrossRef]
- Park, J.; Von Recum, A.; Kenner, G.; Kelly, B.; Coffeen, W.; Grether, M. Piezoelectric ceramic implants: A feasibility study. J. Biomed. Mater. Res. 1980, 14, 269–277. [Google Scholar] [CrossRef] [PubMed]
- Feng, J.; Yuan, H.; Zhang, X. Promotion of osteogenesis by a piezoelectric biological ceramic. Biomaterials 1997, 18, 1531–1534. [Google Scholar] [CrossRef]
- Rubio-Marcos, F.; Ochoa, P.; Fernandez, J.F. Sintering and properties of lead-free (K,Na,Li)(Nb,Ta,Sb)O3 ceramics. J. Eur. Ceram. Soc. 2007, 27, 4125–4129. [Google Scholar] [CrossRef]
- Rubio-Marcos, F.; Lopez-Juarez, R.; Rojas-Hernandez, R.E.; del Campo, A.; Razo-Perez, N.; Fernandez, J.F. Lead-free piezoceramics: Revealing the role of the rhombohedral-tetragonal phase coexistence in enhancement of the piezoelectric properties. ACS Appl. Mater. Interfaces 2015, 7, 23080–23088. [Google Scholar] [CrossRef] [PubMed]
- Wang, K.; Li, J. Analysis of crystallographic evolution in (Na,K)NbO3-based lead-free piezoceramics by X-ray diffraction. Appl. Phys. Lett. 2007, 91, 262902. [Google Scholar] [CrossRef]
- Wu, L.; Zhang, J.L.; Wang, C.L.; Li, J.C. Influence of compositional ratio K/Na on physical properties in (KxNa1−x)NbO3 ceramics. J. Appl. Phys. 2008, 103, 084116. [Google Scholar] [CrossRef]
- Rubio-Marcos, F.; Romero, J.J.; Fernandez, J.F. Effect of the temperature on the synthesis of (K,Na)NbO3-modified nanoparticles by a solid state reaction route. J. Nanopart. Res. 2010, 12, 2495–2502. [Google Scholar] [CrossRef]
- Rubio-Marcos, F.; Romero, J.; Martín-Gonzalez, M.S.; Fernández, J. Effect of stoichiometry and milling processes in the synthesis and the piezoelectric properties of modified KNN nanoparticles by solid state reaction. J. Eur. Ceram. Soc. 2010, 30, 2763–2771. [Google Scholar] [CrossRef]
- Cheng, L.Q.; Zhou, J.J.; Wang, K.; Li, J.F.; Wang, Q.M. Influence of ball milling on sintering behavior and electrical properties of (Li, Na, K) NbO3 lead-free piezoceramics. J. Mater. Sci. 2012, 47, 6908–6914. [Google Scholar] [CrossRef]
- Malič, B.; Koruza, J.; Hreščak, J.; Bernard, J.; Wang, K.; Fisher, J.; Benčan, A. Sintering of lead-free piezoelectric sodium potassium niobate ceramics. Materials 2015, 8, 8117–8146. [Google Scholar] [CrossRef]
- Zhen, Y.; Li, J. Normal sintering of (K,Na) NbO3-based ceramics: Influence of sintering temperature on densification, microstructure, and electrical properties. J. Am. Ceram. Soc. 2006, 89, 3669–3675. [Google Scholar] [CrossRef]
- Eiras, J.; Gerbasi, R.; Rosso, J.; Silva, D.; Cótica, L.; Santos, I.; Souza, C.; Lente, M. Compositional design of dielectric, ferroelectric and piezoelectric properties of (K,Na)NbO3 and (Ba,Na)(Ti,Nb)O3 based ceramics prepared by different sintering routes. Materials 2016, 9, 179. [Google Scholar] [CrossRef]
- Zeng, J.; Kwok, K.; Chan, H. KxNa1−x NbO3 powder synthesized by molten-salt process. Mater. Lett. 2007, 61, 409–411. [Google Scholar] [CrossRef]
- Yang, H.; Lin, Y.; Zhu, J.; Wang, F. An efficient approach for direct synthesis of K0.5Na0.5NbO3 powders. Powder Technol. 2009, 196, 233–236. [Google Scholar] [CrossRef]
- Rojac, T.; Kosec, M.; Šegedin, P.; Malič, B.; Holc, J. The formation of a carbonato complex during the mechanochemical treatment of a Na2CO3–Nb2O5 mixture. Solid State Ionics 2006, 177, 2987–2995. [Google Scholar] [CrossRef]
- Heda, P.K.; Dollimore, D.; Alexander, K.S.; Chen, D.; Law, E.; Bicknell, P. A method of assessing solid state reactivity illustrated by thermal decomposition experiments on sodium bicarbonate. Thermochim. Acta 1995, 255, 255–272. [Google Scholar] [CrossRef]
- Zhang, D.; Qin, Z.; Yang, X.; Zhu, H.; Cao, M. Study on synthesis and evolution of sodium potassium niobate ceramic powders by an oxalic acid-based sol–gel method. J. Sol-Gel Sci. Technol. 2011, 57, 31–35. [Google Scholar] [CrossRef]
- Wang, K.; Yao, F.; Jo, W.; Gobeljic, D.; Shvartsman, V.V.; Lupascu, D.C.; Li, J.; Rödel, J. Temperature-insensitive (K,Na)NbO3-based lead-free piezoactuator ceramics. Adv. Funct. Mater. 2013, 23, 4079–4086. [Google Scholar] [CrossRef]
- Bortolani, F.; del Campo, A.; Fernandez, J.F.; Clemens, F.; Rubio-Marcos, F. High strain in (K,Na)NbO3-based lead-free piezoelectric fibers. Chem. Mater. 2014, 26, 3838–3848. [Google Scholar] [CrossRef]
- Karageorgiou, V.; Kaplan, D. Porosity of 3D biomaterial scaffolds and osteogenesis. Biomaterials 2005, 26, 5474–5491. [Google Scholar] [CrossRef] [PubMed]
- Ge, W.; Li, J.; Viehland, D.; Chang, Y.; Messing, G.L. Electric-field-dependent phase volume fractions and enhanced piezoelectricity near the polymorphic phase boundary of (K0.5Na0.5)1−xLixNbO3 textured ceramics. Phys. Rev. B 2011, 83, 224110–224117. [Google Scholar] [CrossRef]
- Kilic, M.S.; Bazant, M.Z.; Ajdari, A. Steric effects in the dynamics of electrolytes at large applied voltages. I. Double-layer charging. Phys. Rev. E 2007, 75, 021502. [Google Scholar] [CrossRef] [PubMed]
- Bazant, M.Z.; Thornton, K.; Ajdari, A. Diffuse-charge dynamics in electrochemical systems. Phys. Rev. E 2004, 70, 021506. [Google Scholar] [CrossRef] [PubMed]
- Carville, N.C.; Collins, L.; Manzo, M.; Gallo, K.; Lukasz, B.I.; McKayed, K.K.; Simpson, J.C.; Rodriguez, B.J. Biocompatibility of ferroelectric lithium niobate and the influence of polarization charge on osteoblast proliferation and function. J. Biomed. Mater. Res. A 2015, 103, 2540–2548. [Google Scholar] [CrossRef] [PubMed]
- Lehnert, M.; Gorbahn, M.; Rosin, C.; Klein, M.; Koper, I.; Al-Nawas, B.; Knoll, W.; Veith, M. Adsorption and conformation behavior of biotinylated fibronectin on streptavidin-modified TiOX surfaces studied by SPR and AFM. Langmuir 2011, 27, 7743–7751. [Google Scholar] [CrossRef] [PubMed]
- Rapuano, B.E.; MacDonald, D.E. Surface oxide net charge of a titanium alloy modulation of fibronectin-activated attachment and spreading of osteogenic cells. Colloid Surf. B 2011, 82, 95–103. [Google Scholar] [CrossRef] [PubMed]
- Keselowsky, B.G.; Collard, D.M.; Garcia, A.J. Surface chemistry modulates fibronectin conformation and directs integrin binding and specificity to control cell adhesion. J. Biomed. Mater. Res. A 2003, 66, 247–259. [Google Scholar] [CrossRef] [PubMed]
- Pernodet, N.; Rafailovich, M.; Sokolov, J.; Xu, D.; Yang, N.L.; McLeod, K. Fibronectin fibrillogenesis on sulfonated polystyrene surfaces. J. Biomed. Mater. Res. A 2003, 64, 684–692. [Google Scholar] [CrossRef] [PubMed]
- Hartvig, R.A.; van de Weert, M.; Østergaard, J.; Jorgensen, L.; Jensen, H. Protein adsorption at charged surfaces: The role of electrostatic interactions and interfacial charge regulation. Langmuir 2011, 27, 2634–2643. [Google Scholar] [CrossRef] [PubMed]
- Tan, F.; Xu, X.D.; Deng, T.; Yin, M.; Zhang, X.Z.; Wang, J.W. Fabrication of positively charged poly(ethylene glycol)-diacrylate hydrogel as a bone tissue engineering scaffold. Biomed. Mater. 2012, 7, 1–10. [Google Scholar] [CrossRef] [PubMed]
- Wilson, C.J.; Clegg, R.E.; Leavesley, D.I.; Pearcy, M.J. Mediation of biomaterial–cell interactions by adsorbed proteins: A review. Tissue Eng. 2005, 11, 1–18. [Google Scholar] [CrossRef] [PubMed]
- Yoshida-Noro, C.; Suzuki, N.; Takeichi, M. Molecular nature of the calcium-dependent cell-cell adhesion system in mouse teratocarcinoma and embryonic cells studied with a monoclonal antibody. Dev. Biol. 1984, 101, 19–27. [Google Scholar] [CrossRef]
- Chen, J.H.; Hwang, B.H.; Hsu, T.C.; Lu, H.Y. Domain switching of barium titanate ceramics induced by surface grinding. Mater. Chem. Phys. 2005, 91, 67–72. [Google Scholar] [CrossRef]








| Temperature (°C) | Lattice Parameters of the O Phase | Lattice Parameters of the T Phase | |||
|---|---|---|---|---|---|
| a (Å) | b (Å) | c (Å) | a = b (Å) | c (Å) | |
| 700 | 3.9722 | 5.6297 | 5.7667 | 3.9969 | 3.9889 |
| 800 | 3.9743 | 5.6329 | 5.7696 | 3.9874 | 4.0228 |
| 900 | 3.9774 | 5.6369 | 5.7685 | 3.9904 | 4.0054 |
© 2017 by the authors. Licensee MDPI, Basel, Switzerland. This article is an open access article distributed under the terms and conditions of the Creative Commons Attribution (CC BY) license (http://creativecommons.org/licenses/by/4.0/).
Share and Cite
Chen, W.; Yu, Z.; Pang, J.; Yu, P.; Tan, G.; Ning, C. Fabrication of Biocompatible Potassium Sodium Niobate Piezoelectric Ceramic as an Electroactive Implant. Materials 2017, 10, 345. https://doi.org/10.3390/ma10040345
Chen W, Yu Z, Pang J, Yu P, Tan G, Ning C. Fabrication of Biocompatible Potassium Sodium Niobate Piezoelectric Ceramic as an Electroactive Implant. Materials. 2017; 10(4):345. https://doi.org/10.3390/ma10040345
Chicago/Turabian StyleChen, Wei, Zunxiong Yu, Jinshan Pang, Peng Yu, Guoxin Tan, and Chengyun Ning. 2017. "Fabrication of Biocompatible Potassium Sodium Niobate Piezoelectric Ceramic as an Electroactive Implant" Materials 10, no. 4: 345. https://doi.org/10.3390/ma10040345
APA StyleChen, W., Yu, Z., Pang, J., Yu, P., Tan, G., & Ning, C. (2017). Fabrication of Biocompatible Potassium Sodium Niobate Piezoelectric Ceramic as an Electroactive Implant. Materials, 10(4), 345. https://doi.org/10.3390/ma10040345
