Next Article in Journal
Enhancing the Structural and Electrochemical Properties of Lithium Iron Phosphate via Titanium Doping During Precursor Synthesis
Previous Article in Journal
Experimental Study of Dynamic Line Rating Applied to High-Temperature Low-Sag Conductors
Previous Article in Special Issue
Analysis of the Layout of Passive Safety Systems When the Spent Fuel Pool Is Built in the Containment
 
 
Font Type:
Arial Georgia Verdana
Font Size:
Aa Aa Aa
Line Spacing:
Column Width:
Background:
Article

Mechanics and Heat Transfer Design of Thorium Metal Target Protection Thin Film in Isotope Production in Gansu Province

1
School of Nuclear Science and Technology, University of Chinese Academy of Sciences, Beijing 101408, China
2
Institute of Modern Physics, University of Chinese Academy of Sciences, Lanzhou 730000, China
3
Advanced Energy Science and Technology Guangdong Laboratory, Huizhou 516007, China
*
Author to whom correspondence should be addressed.
Energies 2025, 18(4), 928; https://doi.org/10.3390/en18040928
Submission received: 2 December 2024 / Revised: 27 December 2024 / Accepted: 3 January 2025 / Published: 14 February 2025
(This article belongs to the Special Issue Economic Analysis of Nuclear Energy)

Abstract

Isotopes are important strategic materials, and are irreplaceable and central to the fields of national defence, energy security, medical health, and scientific research. With the demonstrated efficacy of targeted alpha therapy using 225Ac, there is a pressing need to explore radiopharmaceuticals capable of delivering consistent and ample quantities of 225Ac. Isotope production in Gansu Province has initiated the production of 225Ac via bombardment of thorium metal with 480 MeV protons. To ensure the stability and safety of thorium targets under high-power beam conditions, this study proposes a novel packaging design for the protective layer of thorium targets, accompanied by detailed mechanical and thermal analyses. The study employs an Inconel 718 alloy as the film material for vacuum welding packaging, and simulates local displacement variations in the Inconel 718 film under different thicknesses, lengths, gaps, and flange fillet conditions. The optimal parameter settings that meet the design requirements are then determined. Additionally, beam energy deposition is assessed using Monte Carlo N-Particle (MCNP 6) neutron calculation software, while the heat transfer process is simulated with Fluent software to optimize the cooling mechanism, ensuring the stability and safety of the target material. The final design provides a theoretical foundation for isotope production targets in Gansu Province.

1. Introduction

Medical isotopes are widely used in the diagnosis and treatment of malignant tumours, cardiovascular and cerebrovascular diseases, and other major diseases, and about 20% of patients in developed countries need to use medical isotopes [1]. At present, evolving accelerator technology has replaced part of the medical isotope production, and many kinds of radioisotopes can be obtained by using accelerators to bombard targets containing specific stable nuclides [2,3,4]. Domestic and foreign research on the production of medical isotope targets began as early as last century. The Chinese Academy of Atomic Energy Sciences (CAAES) has produced the medical isotope 99Mo by using U-Mg dispersions, UO2 dispersions, and U-Al as targets [5]. Robertson et al. [4] produced large quantities of 225Ac by hitting a thorium (Th) target with a beam stream of protons. Khalafi’s team [6] carried out optimization studies on the Tehran Research Reactor (TRR) and successfully produced 131I. Chakraborty et al. [7] demonstrated the feasibility of the large-scale production of 177Lu in a medium flux research reactor. It is foreseen that, in the near future, domestically produced medical isotopes will play a major role in clinical practice.
225Ac is an alpha emitter with a half-life of T1/2 = 10 d and decays to produce four alpha particles, making it suitable for use as a nuclide in alpha radiotherapy. Targeted alpha therapy (TAT) effectively treats advanced cancers through cytotoxic high linear energy transfer (LET) utilizing alpha radiation [8,9,10,11,12,13,14]. 225Ac demonstrates significant promise in clinical settings, which has been attributed to its advantageous half-life, chemical characteristics, and multiple alpha emissions throughout its decay chain [15]. Among accelerator-based production methods, proton-induced Th sputtering at the TRIUMF 500 MeV isotope production facility offers a potential avenue for substantial 225Ac output [16]. In order to fabricate 225Ac by Th sputtering during isotope production in Gansu Province, a Th target is bombarded by protons at 480 MeV with a beam current of up to 100 µA. During the irradiation process, the Th is sealed inside the target capsule. For safe and reliable operation, it is essential that the hermetic seal around the Th is able to withstand any thermally induced mechanical stresses caused by the high-power deposition of the proton beam into the target at all times, as this “target failure” may allow the gaseous and volatile radionuclides co-produced within the Th during the sputtering process to be released. Therefore, the new target must be carefully modelled and designed to ensure safe and successful irradiation.
However, the existing literature seldom addresses the significance of the protective layer in Th targets. A few studies, such as Robertson et al.’s [4], mention the use of an Inconel 718 thin film material for the protective layer, but they do not provide a detailed explanation of its design. Therefore, this paper proposes a vacuum packaging approach, utilizing vacuum welding to attach an Inconel 718 thin film material to a Th target, ensuring that the target can withstand thermally induced mechanical stresses resulting from high-power beam energy deposition. During the vacuum welding process, the root of the Inconel 718 film may warp due to pressure, and factors such as the length, thickness, gap, and contact fillet of the film will all influence the Th target material. Building on these design concepts, this study models Th target packaging and explores the results of mechanical and heat transfer simulations to determine the optimal parameter settings that satisfy the design requirements.

2. Materials

In the 225Ac isotope production project in Lanzhou, Gansu Province, the design of a protective layer for Th targets must meet several stringent requirements. First, the material used for the protective layer must exhibit excellent high-temperature performance to withstand thermal stresses induced by proton beam deposition. Second, the protective layer structure must possess strong mechanical strength to resist thermally induced stresses from the beam current. Finally, effective thermal conductivity between the protective layer and the Th target is essential to reduce the target temperature and prevent local overheating. In this study, Inconel 718 (Shanghai, China) alloy was selected for the protective layer due to its excellent mechanical strength and toughness at high temperatures, as well as its ability to withstand the thermal load generated by proton beam energy deposition. Additionally, the superior weldability of Inconel 718 makes it an ideal choice for vacuum welding packaging. At elevated temperatures, Inconel 718 alloy vacuum-welded joints exhibit high tensile strength, yield strength, and elongation, comparable to or even surpassing that of the base material. Notably, these vacuum-welded joints retain excellent plasticity and toughness at high temperatures, essential for applications in such environments [17,18,19]. Table 1 presents the stress parameters of Inconel 718 across varying temperatures [20].
Figure 1 illustrates the Th target encapsulation structure, where Th is securely sealed within the target capsule throughout the irradiation process, and the Inconel 718 material, vacuum welded to encapsulate Th target, provides a protective barrier for the Th reactor. Consequently, the Inconel 718 protective layer must withstand thermally induced mechanical stresses due to the intense proton beam deposition on the target. Consequently, this study employed the Fluent simulation software (fluent 2022 R1) to model the impacts of deformation on Inconel 718 under high temperatures and pressures. Additionally, the Monte Carlo N-Particle (MCNP 6) neutronics software was used to calculate the beam deposition energy and model the heat transfer dynamics during beam energy deposition. Based on the considerations outlined above, this study conducted detailed mechanical simulations to analyze the displacement and stress distribution of Inconel 718 film under pressure. Additionally, a thermal analysis was integrated into the simulation to examine the temperature distribution and heat transfer efficiency of Th targets. Through these design and analysis processes, the stability of the Th target structure under high-power beam conditions was ensured.

3. Mechanical Analysis

The finite element method (FEM) is a numerical technique used to solve various engineering problems. It can be applied to steady-state and transient problems, as well as linear and nonlinear problems in stress analysis, heat transfer, and fluid flow [21]. The FEM is a general numerical approach for solving partial differential equations (i.e., boundary value problems) with two or three spatial variables. To solve a problem, the FEM subdivides a large system into smaller, simpler components called finite elements. This is achieved through a specific spatial discretization, which is implemented by constructing a mesh over the solution domain, resulting in a finite number of points. The FEM formulation of the boundary value problem ultimately produces a system of algebraic equations. The method approximates unknown functions within the domain, and the resulting system of equations modelling these finite elements is synthesized into a larger system to model the entire problem. FEM then approximates the solution by minimizing the associated error function using the variational method. In this study, Fluent software was used for modelling, and mechanical stress was simulated. The calculation model is shown in Figure 2. (D is diameter and H means height.)
This paper utilizes mechanical simulation software to calculate the stress distribution and displacement curves of Inconel 718 thin films, varying in thickness, length, and gap. The Th target is fabricated with specific attention to its preparation process and neutronics performance, with no alterations to its dimensions during the design phase. During the vacuum welding process, the root of the Inconel 718 film will be subjected to pressure, leading to warping, which results in inconsistent heat transfer between the contact and non-contact areas. The area of the warped region must be calculated for subsequent thermal analyses. During the compression process, the length, thickness, gap, and contact fillet of the film all influence the warpage area and stress distribution. Considering the preparation process of the Th target and the internal vacuum conditions of Inconel 718, the top and bottom surfaces are subjected to a pressure of 0.1 MPa. The welding of the Inconel 718 film to the Th target and the associated boundary conditions are shown in Figure 3.
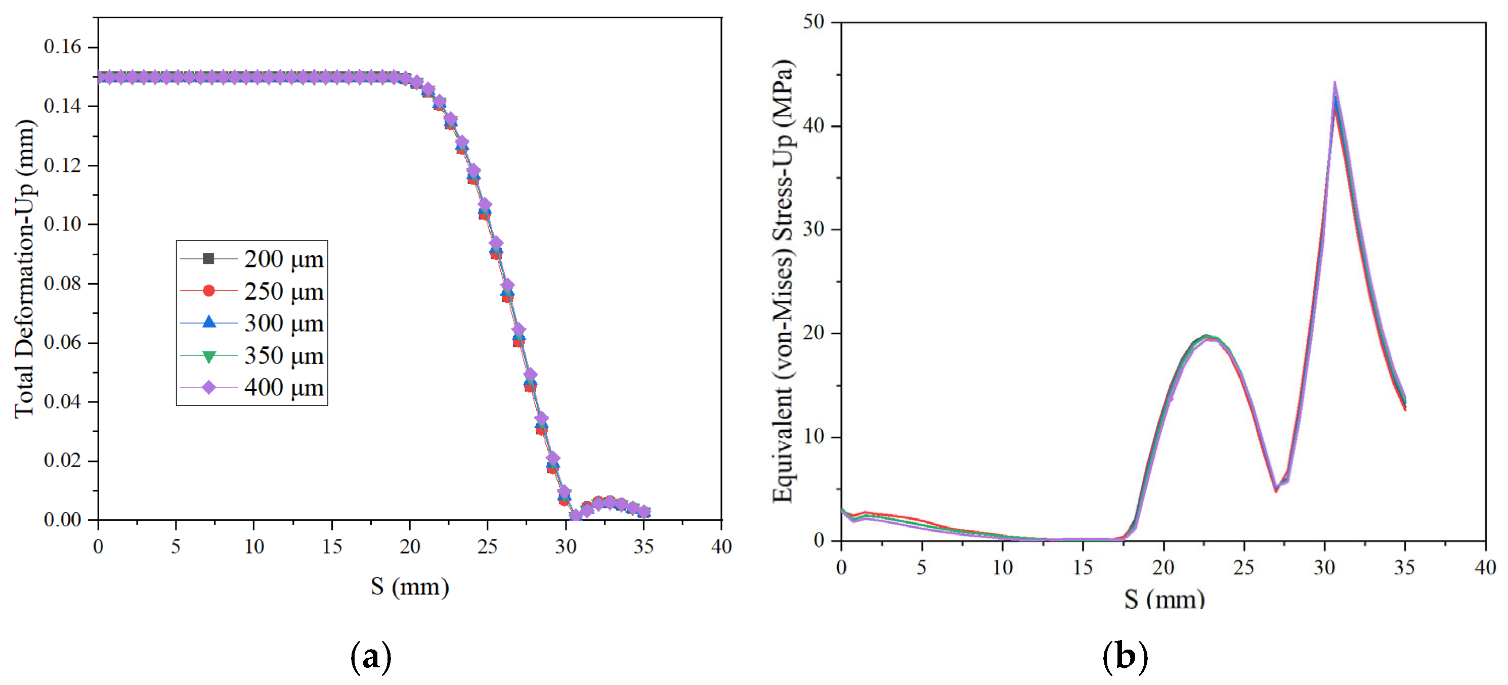
During the calculation process, it was observed that the Inconel 718 film material undergoes local displacement due to pressure. As depicted in Figure 4, close contact forms in the central area, with the displacement size corresponding to the spacing gap between the Inconel 718 film and the Th target, gradually separating from the edges. Figure 5 illustrates that the contact area constitutes the majority of the Th target’s surface. The displacement curve of the film, shown in Figure 6 (S is the distance to thorium target boundary, the following are the same), indicates that, with a Th diameter of 60 mm and under external pressure and inward compression, the film with a thickness of 300 μm achieves an effective contact diameter of 43.26 mm, representing 51.9% of the Th target area. Consequently, the subsequent thermal analysis must consider both the contact and non-contact areas, as they affect the heat transfer characteristics and alter the methods of heat transfer due to the distribution of thermal stress within the material.
During the mechanical simulation, the Inconel 718 film material, subjected to 0.1 MPa pressure, exhibited stress distribution as shown in Figure 7 and Figure 8. The stress is primarily concentrated in the regions where the film detaches from the target sheet and where the film comes into contact with the flange. Notably, the maximum stress occurs at the contact point between the film and the flange, where the stress is largest.
The simulation also reveals stress distribution at the contact points of the film’s geometric structure. Based on research by the Chen et al. [22], the maximum tensile strength of Inconel 718 is approximately 1000 MPa. For engineering applications, considering actual working conditions and processing issues, a maximum tensile strength of 500 MPa is chosen. Structural analysis indicates that, after a certain yield on the surface, the internal stress within the material is less than 100 MPa. During the mechanical analysis, the film’s centre position was used to calculate the stress and displacement as the geometric structure changed. The internal stress remained below 100 MPa in the analysis. This study also examines the impact of geometric structure changes on film stress and displacement, and subsequently determines the effects of thermal coupling on the structural performance.
This study first addresses the influence of film thickness. As shown in Figure 9, the mechanical analysis of different film thicknesses demonstrates that, as the thickness increases, the contact area between the film and the Th sheet also increases. When the thickness is below 200 μm, the film deforms slightly due to pressure at the gap between the Th sheet and the flange. As the film thickness decreases, the tensile stress in the film itself also decreases, leading to warping at the contact gap’s edge. Figure 10 shows that, as the thickness decreases, the maximum stress in the film increases. The maximum stress is less than 360 MPa when the film thickness exceeds 250 μm.
As shown in Figure 11a, during the calculation process, the curve at the centre of the film is selected to analyze the variations in stress with radius, and we find that as the film thickness decreases, the greater the enhancement of the internal stress of the film at the contact position. In the case of only considering mechanical effects, when the film thickness is about 250 μm or more, the film displacement changes and the maximum stress of the film is within the Inconel 718’s allowable range; in addition, there is no warping phenomenon from the point of view of heat transfer between the film and Th sheet, and the larger the flange contact area, the better the heat transfer effect, so the design does not consider a film below 250 μm thick.
Considering the influence of film thickness, as shown in Figure 11b, changing the film length does not affect the gap between the film and the Th piece, nor the gap between the Th piece and the flange, it only alters the length of the flange in contact with the film. From the figure, it can be observed that the change in film length has little effect on the contact area or the warping phenomenon. As shown in Figure 11c, the stress at the center of the film decreases as the length of the film increases. Simultaneously, the maximum stress in the film decreases with increasing film length. When the film length reaches 42.5 mm, as shown in Figure 11d, the maximum stress in the film is about 280 MPa. The maximum stress still occurs at the position of contact with the flange.
From a heat transfer perspective, to avoid the film warping phenomenon caused by the contact discontinuity effect while considering the film stress, a film length of more than 35 mm is chosen. Although the stress is higher for longer films, it remains within the permissible range.
Influence of film gap: From the previous analysis, it is evident that the spacing between the Inconel film and the Th sheet determines the extent of film displacement and affects the contact location. We analyzed the spacing between the film and the Th sheet for various gap scenarios, considering the film stress and displacement. As shown in Figure 12a, the displacement curve of the film under different gaps indicates that the contact area gradually decreases as the gap between the film and Th sheet increases. When the gap is less than 150 μm, the contact area does not change significantly. However, as the gap decreases, the maximum stress value of the film decreases. As shown in Figure 13, when the gap is approximately 100 μm, the maximum stress of the film is 244 MPa. When the gap is 150 μm, the maximum stress is 351 MPa. Figure 12b illustrates the stress distribution along the centre curve of the film, where we observe that the internal stress is lower when the gap is 150 μm. In summary, a gap of 150 μm is considered more reasonable for the process operation.
The above simulation calculates the gap between the film and Th sheet. This subsection analyzes the effect of the distance between the Th sheet and the flange on stress and displacement. The gap between the Th sheet and the flange influences the film stress distribution, as shown in Figure 14a. The gap between the Th sheet and the flange does not significantly affect the contact area between the film and the Th sheet, and can therefore be somewhat ignored. However, in practical engineering applications, the deformation of the Th sheet due to heat must be considered, which requires further analysis in combination with thermal engineering. As shown in Figure 14b and Figure 15, the stress distribution curve at the centre of the film indicates that the gap has little impact on the film’s stress.
The above analysis examines the impact of the film and Th sheet’s dimensions on the mechanical properties. When considering the target processing, the geometry of the flange must also be taken into account. From Figure 1, it is evident that the gap between the flange tabs and the Th pieces needs to be further analyzed in conjunction with a thermal analysis. Additionally, there is contact between the film and the flange, specifically at the edge of the flange. It is proposed to design the flange with rounded corners to reduce the singularity stress caused by the film, which in turn mitigates the local stress wave. This subsection analyzes the effect of the flange’s rounded corners on the film stress.
As shown in Figure 16a,b, the flange’s rounded corners, due to its location in the flange structure, do not directly come into contact with the Th sheet. The film has already separated from the Th sheet at this point. The flange’s rounded structure does not significantly affect the film’s contact area; however, a smaller rounded corner reduces the contact area slightly, with the maximum reduction being about 2 mm. As shown in Figure 16b, the internal stress curve of the film indicates that the internal stress does not undergo significant changes. Due to the increase in the rounded corner, there is some offset in the internal stress. When R = 1.25 mm or 0.5 mm, the maximum internal stress changes by less than 5 MPa. However, as seen in the overall stress distribution of the film in Figure 17, with an increase in the radius of the rounded corner, the maximum stress first decreases and then increases. When R = 0.1 mm, the maximum stress is 700 Mpa; when R = 0.5 mm, the maximum stress is 344 Mpa; when R = 1 mm or 1.25 mm, the maximum stress is 361 Mpa; and when R = 1.5 mm, the maximum stress is 371 Mpa.
Based on the above analysis, it is concluded that the rounded flange design can prevent point contact between the film and the flange. From a mechanical perspective, it facilitates the disassembly of the Th target piece. Considering the film’s maximum stress, a flange rounded corner radius between 0.5 mm and 1 mm is more appropriate.
Through mechanical simulation calculations, it was found that when the film thickness is 250 μm, the length is 40 mm, the gap between the film and the Th sheet is approximately 150 μm, and the gap between the flange and the Th sheet is 250 μm. The flange fillet radius is approximately 0.5 mm. The results are shown in Figure 18. As shown in Figure 19, the maximum stress of the Th target film is approximately 290 MPa.
Optimization of the above analysis results: Firstly, we enhanced the stress distribution. Localized stress points within the Inconel 718 film, particularly at flange contact areas, were further analyzed. Design adjustments, including increasing the flange fillet radius, reduced stress concentrations. Simulations with rounded flange edges showed significant mitigation of stress singularities, enhancing overall mechanical stability. Thermal coupling optimization was important to this result. The heat transfer was further optimized by varying coolant flow rates and contact thermal resistance parameters. Simulations revealed optimal cooling efficiency at a flow rate of 3 m/s, achieving stable target temperatures well below operational thresholds. The analysis emphasizes the critical role of enhanced contact surface properties in maintaining thermal stability. Enhanced visualization of the graphical outputs for stress and temperature distribution were refined with gradient colour scales and detailed annotations. Comparative tables were added to summarize the effects of varying parameters, including film thickness, contact gaps, and flange designs.

4. Thermal Fluid Analysis

To assess proton beam energy deposition within the Th target, the MCNP software was employed. This software simulates the stochastic transport of particles and quantifies the beam’s energy distribution. The geometric model incorporates the exact physical dimensions of the Th target encapsulated by Inconel 718. Simulation parameters include the neutron energy spectrum, radiation flux, and material-specific cross sectional data. A statistical analysis of energy deposition enables the identification of high-stress zones requiring further optimization. Fluent software was used to model heat transfer and fluid dynamics within the target cooling system. Thermal conduction between the Th target and the Inconel 718 encapsulation was analyzed by incorporating contact thermal resistance models. Convective cooling through water flow was simulated to evaluate the heat dissipation effectiveness. Key parameters include the water flow rate, inlet temperature, and target surface heat flux. The design ensured Th target temperatures remained below 200 °C, with Inconel 718 temperatures stabilizing below 100 °C, meeting operational safety requirements.
High-performance simulations of thermal fluids are an essential component of numerical reactors. The thermal fluid calculation programme can be divided into system programmes, sub-channel programmes, and computational fluid dynamics (CFDs) programmes, based on the modelling scale. Among them, the CFDs programme can perform high-precision simulations of the three-dimensional flow process (including turbulence) in complex reactor areas. Its core function is to solve the Navier–Stokes (N-S) equation system [23].
The design process of the Th target must consider both mechanical and thermal fluid properties. This paper employs Fluent commercial software to simulate flow heat transfer and beam flow coupling on the Th target. The results from these mechanical calculations yield a configuration for the deformed Th target, for which a corresponding thermal model is established, as depicted in Figure 20:
From the analysis of the Th target model, it was found that the Inconel window not only comes into contact with the Th sheet but also interfaces with the steel flange surface. The beam power deposition in the Th sheet is greater than that in the other components. The energy deposition in the Th sheet is primarily transferred to the cooling water through its contact with the Inconel window, making the contact heat transfer process between the Inconel window and the Th sheet critical to temperature regulation. Additionally, according to the research by Chen et al. [22], the mechanical properties of the Inconel 718 material experience a sudden drop at a temperature of 600 °C. A list of the material properties used for the simulation is shown in Table 2.
This project proposes the use of a flat-plate heat exchanger to cool the Th target. According to the design requirements, the temperature of the Th target should not exceed 200 °C, the temperature of Inconel 718 should remain below 100 °C, and the cooling medium employed is water. The thermal structure is illustrated in Figure 21.
Assuming the model is symmetric, the flow conditions are considered identical on both sides of the Th target, based on a one-dimensional heat transfer analysis:
Q ˙ 1 + Q ˙ 2 = h ( T 1 T f )
where h is the convective heat transfer coefficient and Tf is the fluid far-field temperature and T1 is the wall temperature.   Q ˙ 1 is the wall surface temperature and Q ˙ 2 refers to the bulk power densities (W/m3) of the window and Th target, respectively.
T 2 = Q ˙ 1 × L 1 2 2 k 1 + Q 2 L 1 k 1 + T 1
where T2 is the inner wall temperature and L1 is the film thickness and k1 is the thin film thermal conductivity. In the above formula, considering the internal Th target volume heat Q ˙ 2 , the heat is transferred to the target window by heat conduction (radiative heat transfer effect is ignored here), and the heat is taken away by a convective heat transfer between the target window and the cooling water, so the temperature of the thin window is not only determined by the body power of the window itself, but also the surface power density of the Th target has a crucial influence on it. Among them, Q 2 is the Q ˙ 2 heat flow density (W/m2) through the target window and Th contact surface.
Th target and target window contact surface can be calculated using the proposed contact thermal resistance formula, where R 0 is the unit area’s contact thermal resistance (K/W)
T 3 T 2 = Q 2 × R 0
where T3 is the Target surface temperature. According to the one-dimensional steady state heat transfer equation, assuming the same temperature on both sides of Th:
T 4 = Q ˙ 2 ×   L 2 2 2 2 k 2 + T 3
where T4 is the target internal temperature, L2 is the target thickness and k2 is the target thermal conductivity. The below equation is obtained by bringing in Equations (1)–(4) above:
T 4 = Q ˙ 2 × L 2 2 2 2 k 2 + Q 2 × R 0 + Q ˙ 1 × L 1 2 2 k 1 + Q 2 L 1 k 1 + T f + Q ˙ 1 + Q ˙ 2 h
Among other things, we find that the 1-dimensional heat conduction process is known to include Q ˙ 1 , Q ˙ 2 , R 0 , Q 2 , and   T f , where h is the convective heat transfer coefficient, and the hydraulic diameter is used according to the empirical formula for the convective heat transfer coefficient between flat plates, D h = 4 A c P , where   A c is the flow cross section and P is the wet week. Below is the rectangular interface empirical formula (isothermal flow case):
N u D = 0.027 R e D 4 5 P r 1 3 μ μ s 0.14
where N u D   is the Nusselt number, R e is the Reynolds number, P r is the Planck number, and μ μ s n represents the property correction term.
By using Equations (5) and (6), we can deduce that the temperature of T4 at different Nusselt number.
The results of the thermodynamic simulation are shown in the figures below. Figure 22 and Figure 23 illustrate the variation in temperature with the cooling water flow velocity for the Th target surface, the film surface, and the cooling water at different Th target thicknesses. It can be observed that as the thickness decreases and the flow velocity increases, the temperatures exhibit a downward trend. Figure 24 and Table 3 present the simulation results in the form of contour maps, along with the extreme value data for the reference points in the maps. The simulation results indicate that the maximum temperature of the Th target remains consistently below 400 K, while the temperature of Inconel 718 is controlled to stay below 370 K, both of which comply with the design specifications.

5. Conclusions

This study focuses on the design and optimization of a Th target protective layer for the 225Ac isotope production project in Gansu Province. A novel configuration of Inconel 718 vacuum-encapsulated Th targets is proposed. Through a combination of mechanical simulations and thermal analysis, a systematic design approach and theoretical foundation are provided for the application of Th targets under high-power beam currents.
Mechanical simulations offer a detailed analysis of the local displacement and stress distribution of Inconel 718 film under pressure. The results show that when the film thickness reaches 250 μm, the stress and displacement changes in the Th target protective layer remain within the allowable design range, effectively preventing structural failure due to film warping or material yielding. In the thermal analysis, Fluent software is used to simulate the cooling water flow and the thermal conduction process of Th targets. The simulation results indicate that the maximum temperature of the Th target remains stable below 400 K, with the Inconel 718 material temperature controlled below 370 K, both of which meet the design specifications.
This study provides robust theoretical support for the design of the Th target protective layer in the 225Ac isotope production process at isotope production in Gansu Province facilities. It also offers valuable insights and methodologies for the design and optimization of target materials in similar high-power beam applications. Through a detailed analysis of the mechanical properties of thin films and thermal fluid parameters, this study provides a quantitative basis for optimizing the mechanical stability and thermal management performance of target structures. Future research, incorporating higher-precision multiphysics models and new materials, is expected to further enhance the performance and production efficiency of target materials, thus laying the groundwork for improving isotope production capacity and system safety.

Author Contributions

Conceptualization, Y.Z.; methodology, Y.L., J.Z., W.L., L.Y. and Y.Y.; software, Y.L., J.Z., W.L. and L.M.; validation, L.M. and Y.Z.; formal analysis, M.W.; investigation, M.W.; writing—original draft, Y.L.; writing—review and editing, Y.Y.; supervision, L.Y. All authors have read and agreed to the published version of the manuscript.

Funding

This research was funded by Institute of Modern Physics, grant number [KGFZD-145-24-31].

Data Availability Statement

The original contributions presented in this study are included in the article. Further inquiries can be directed to the corresponding author.

Conflicts of Interest

All authors were employed by the company Advanced Energy Science and Technology Guangdong Laboratory. The authors declare that the research was conducted in the absence of any commercial or financial relationships that could be construed as a potential conflict of interest.

References

  1. Gao, F.; Lin, L.; Liu, Y.; Ma, X. Current status and technological outlook of medical isotope production. J. Isotopes 2016, 29, 116–120. [Google Scholar] [CrossRef]
  2. Peng, S.; Yang, Y.; Xie, X.; Qian, D. Current situation and outlook of the production and application of heap-illuminated medical isotopes in China. Sci. Bull. 2020, 65, 3526–3537. [Google Scholar]
  3. Wang, Y.; Chen, D.; dos Santos Augusto, R.; Liang, J.; Qin, Z.; Liu, J.; Liu, Z. Production review of accelerator-based medical isotopes. Molecules 2022, 27, 5294. [Google Scholar] [CrossRef] [PubMed]
  4. Robertson, A.K.H.; Lobbezoo, A.; Moskven, L.; Schaffer, P.; Hoehr, C. Design of a thorium metal target for 225Ac production at TRIUMF. Instruments 2019, 3, 18. [Google Scholar] [CrossRef]
  5. Luo, N.; Wang, H.; Sun, Z. New technology and market situation of medical isotope molybdenum-99 preparation. Sci. Technol. Perspect. 2019, 27, 6–7+16. [Google Scholar] [CrossRef]
  6. Khalafi, H.; Nazari, K.; Ghannadi-Maragheh, M. Investigation of efficient 131I production from natural uranium at Tehran research reactor. Ann. Nucl. Energy 2005, 32, 729–740. [Google Scholar] [CrossRef]
  7. Chakraborty, S.; Vimalnath, K.V.; Lohar, S.P.; Shetty, P.; Dash, A. On the practical aspects of large-scale production of 177Lu for peptide receptor radionuclide therapy using direct neutron activation of 176Lu in a medium flux research reactor: The Indian experience. J. Radioanal. Nucl. Chem. 2014, 302, 233–243. [Google Scholar] [CrossRef]
  8. McDevitt, M.R.; Sgouros, G.; Finn, R.D.; Humm, J.L.; Jurcic, J.G.; Larson, S.M.; Scheinberg, D.A. Radioimmunotherapy with alpha-emitting nuclides. Eur. J. Nucl. Med. 1998, 25, 1341–1351. [Google Scholar] [CrossRef] [PubMed]
  9. Couturier, O.; Supiot, S.; Degraef-Mougin, M.; Faivre-Chauvet, A.; Carlier, T.; Chatal, J.F.; Davodeau, F.; Cherel, M. Cancer radioimmunotherapy with alpha-emitting nuclides. Eur. J. Nucl. Med. Mol. Imaging 2005, 32, 601–614. [Google Scholar] [CrossRef] [PubMed]
  10. Mulford, D.A.; Scheinberg, D.A.; Jurcic, J.G. The promise of targeted α-particle therapy. J. Nucl. Med. 2005, 46 (Suppl. S1), 199S–204S. [Google Scholar] [PubMed]
  11. Brechbiel, M.W. Targeted alpha-therapy: Past, present, future? Dalton Trans. 2007, 43, 4918–4928. [Google Scholar] [CrossRef] [PubMed] [PubMed Central]
  12. Kim, Y.S.; Brechbiel, M.W. An overview of targeted alpha therapy. Tumour Biol. 2012, 33, 573–590. [Google Scholar] [CrossRef] [PubMed] [PubMed Central]
  13. Baidoo, K.E.; Yong, K.; Brechbiel, M.W. Molecular pathways: Targeted α-particle radiation therapy. Clin. Cancer Res. 2013, 19, 530–537. [Google Scholar] [CrossRef] [PubMed] [PubMed Central]
  14. Elgqvist, J.; Frost, S.; Pouget, J.P.; Albertsson, P. The potential and hurdles of targeted alpha therapy—Clinical trials and beyond. Front. Oncol. 2014, 3, 324. [Google Scholar] [CrossRef] [PubMed] [PubMed Central]
  15. Miederer, M.; Scheinberg, D.A.; McDevitt, M.R. Realising the potential of the Actinium-225 radionuclide generator in targeted alpha particle therapy applications. Adv. Drug Deliv. Rev. 2008, 60, 1371–1382. [Google Scholar] [CrossRef] [PubMed] [PubMed Central]
  16. Robertson, A.K.H.; Ramogida, C.F.; Schaffer, P.; Radchenko, V. Development of225 Ac Radiopharmaceuticals: TRIUMF Perspectives and Experiences. Curr. Radiopharm. 2018, 11, 156–172. [Google Scholar] [CrossRef] [PubMed] [PubMed Central]
  17. Jia, T.; Zou, B.; Liu, W.; Lei, T.; Ding, H. Effect of process parameters on mechanical properties of Inconel718 superalloy fabricated by directional energy. Int. J. Adv. Manuf. Technol. 2023, 128, 2863–2883. [Google Scholar] [CrossRef]
  18. Fan, Y.; Wang, B.; Hao, Z. Study on dynamic mechanical properties and constitutive model description of Inconel718. Proc. Inst. Mech. Eng. Part C J. Mech. Eng. Sci. 2022, 236, 5495–5509. [Google Scholar] [CrossRef]
  19. Zhong, L.Q. Study on the Influence Law of Surface Deformation Strengthened Residual Stress Field on the High Week Fatigue Performance of Inconel718 High Temperature Alloy. Ph.D. Dissertation, Guizhou University, Guiyang, China, 2019. [Google Scholar]
  20. Duan, C. Numerical Simulation Study of Fatigue Crack Extension of Inconel 718 Alloy at Different Temperatures. Ph.D. Dissertation, Shanghai Jiao Tong University, Shanghai, China, 2020. [Google Scholar] [CrossRef]
  21. Logan, D.L. A First Course in the Finite Element Method; Brooks/Cole Publishers: Pacific Grove, CA, USA, 1993. [Google Scholar]
  22. Chen, Y.T.; Yeh, A.C.; Li, M.Y.; Kuo, S.M. Effects of processing routes on room temperature tensile strength and elongation for Inconel 718. Mater. Des. 2017, 119, 235–243. [Google Scholar] [CrossRef]
  23. Dong, L.; Zhou, Z.; Dai, C.; Zhao, K.; Wu, Z.; Liu, T.; Zhao, M.; Yang, W.; Hu, C. High-precision Parallel Simulation and Optimization Technology of Thermal Fluid in Numerical Reactor. At. Energy Sci. Technol. 2021, 55, 1581–1593. [Google Scholar] [CrossRef]
Figure 1. Th target package structure.
Figure 1. Th target package structure.
Energies 18 00928 g001
Figure 2. Th target structure calculation model.
Figure 2. Th target structure calculation model.
Energies 18 00928 g002
Figure 3. Th target structure calculation boundary. The letters A–E represent the boundary conditions of different regions, which.
Figure 3. Th target structure calculation boundary. The letters A–E represent the boundary conditions of different regions, which.
Energies 18 00928 g003
Figure 4. Th Target Inconel 718 film displacement.
Figure 4. Th Target Inconel 718 film displacement.
Energies 18 00928 g004
Figure 5. Th target Inconel 718 film displacement cross section.
Figure 5. Th target Inconel 718 film displacement cross section.
Energies 18 00928 g005
Figure 6. Th target-Inconel 718 film displacement curve.
Figure 6. Th target-Inconel 718 film displacement curve.
Energies 18 00928 g006
Figure 7. Th target stress distribution.
Figure 7. Th target stress distribution.
Energies 18 00928 g007
Figure 8. Th target–Inconel film flange stress distribution.
Figure 8. Th target–Inconel film flange stress distribution.
Energies 18 00928 g008
Figure 9. Displacement versus radius curves for different thicknesses of Inconel films.
Figure 9. Displacement versus radius curves for different thicknesses of Inconel films.
Energies 18 00928 g009
Figure 10. Stress distribution in Inconel films.
Figure 10. Stress distribution in Inconel films.
Energies 18 00928 g010
Figure 11. (a) Stress distribution in the centre curve of Inconel film. (b) Effect of length of 250 μm Inconel film on contact area. (c) Stress distribution in the centre curve of Inconel film 250 μm. (d) Stress distribution in 250 μm Inconel film with length of 42.5 mm.
Figure 11. (a) Stress distribution in the centre curve of Inconel film. (b) Effect of length of 250 μm Inconel film on contact area. (c) Stress distribution in the centre curve of Inconel film 250 μm. (d) Stress distribution in 250 μm Inconel film with length of 42.5 mm.
Energies 18 00928 g011
Figure 12. Inconel film of 250 μm thickness with different gaps in Th sheet. (a) Variation in displacement. (b) Centreline stress distribution.
Figure 12. Inconel film of 250 μm thickness with different gaps in Th sheet. (a) Variation in displacement. (b) Centreline stress distribution.
Energies 18 00928 g012
Figure 13. Stress distribution of 250 μm Inconel film with different gaps of Th sheet.
Figure 13. Stress distribution of 250 μm Inconel film with different gaps of Th sheet.
Energies 18 00928 g013
Figure 14. Different gaps between flange and Th piece. (a) Film displacement curves. (b) Stress curve for film’s centre.
Figure 14. Different gaps between flange and Th piece. (a) Film displacement curves. (b) Stress curve for film’s centre.
Energies 18 00928 g014
Figure 15. Thin film stress with different gaps between flange and Th piece.
Figure 15. Thin film stress with different gaps between flange and Th piece.
Energies 18 00928 g015
Figure 16. (a) Film displacement with different flange fillet angles. (b) Internal stress profile of film with different flange rounding angles.
Figure 16. (a) Film displacement with different flange fillet angles. (b) Internal stress profile of film with different flange rounding angles.
Energies 18 00928 g016
Figure 17. Stress distribution of film with different flange rounding angle.
Figure 17. Stress distribution of film with different flange rounding angle.
Energies 18 00928 g017
Figure 18. Schematic diagram of Th target structure.
Figure 18. Schematic diagram of Th target structure.
Energies 18 00928 g018
Figure 19. Displacement and stress distribution of Th target.
Figure 19. Displacement and stress distribution of Th target.
Energies 18 00928 g019
Figure 20. Th target thermal calculation model.
Figure 20. Th target thermal calculation model.
Energies 18 00928 g020
Figure 21. Schematic diagram of heat transfer. The blue area represents the film, the yellow area represents the gap and the orange area represents the target.
Figure 21. Schematic diagram of heat transfer. The blue area represents the film, the yellow area represents the gap and the orange area represents the target.
Energies 18 00928 g021
Figure 22. Different contact thermal resistance cases.
Figure 22. Different contact thermal resistance cases.
Energies 18 00928 g022
Figure 23. Different flow rates.
Figure 23. Different flow rates.
Energies 18 00928 g023
Figure 24. Simulation results.
Figure 24. Simulation results.
Energies 18 00928 g024
Table 1. Material properties of Inconel 718 at different temperatures.
Table 1. Material properties of Inconel 718 at different temperatures.
Temperature
(K)
Young’s Modulus, E
(MPa)
Poisson’s RatioMaximum Principal Stress
(MPa)
298.150.1990.293872.88
573.150.1840.273841.85
823.150.1700.283834.96
Table 2. Room-temperature Th target material properties.
Table 2. Room-temperature Th target material properties.
CausalityInconel 718ThSteel 316
Density (g/cm3)8.1911.728
Young’s modulus (GPa)19972.4193
Coefficient of thermal expansion (μm/mK)1311.116.3
Poisson’s ratio0.30.270.28
Yield strength (MPa)460144290
Ultimate strength (MPa)895219580
Melting point (K)153320281673
Thermal conductivity (W/(m·K)11.113.8614.6
Table 3. Simulation calculation parameters.
Table 3. Simulation calculation parameters.
ParametricNumerical Value
T_Max_Th767 K
T_Max_Inconel370 K
T_Max_water327 K
T_Max_falan304 K
Dp_Max7.4 KPa
Disclaimer/Publisher’s Note: The statements, opinions and data contained in all publications are solely those of the individual author(s) and contributor(s) and not of MDPI and/or the editor(s). MDPI and/or the editor(s) disclaim responsibility for any injury to people or property resulting from any ideas, methods, instructions or products referred to in the content.

Share and Cite

MDPI and ACS Style

Liu, Y.; Zhang, J.; Liu, W.; Ma, L.; Wang, M.; Zhang, Y.; Yang, L.; Yang, Y. Mechanics and Heat Transfer Design of Thorium Metal Target Protection Thin Film in Isotope Production in Gansu Province. Energies 2025, 18, 928. https://doi.org/10.3390/en18040928

AMA Style

Liu Y, Zhang J, Liu W, Ma L, Wang M, Zhang Y, Yang L, Yang Y. Mechanics and Heat Transfer Design of Thorium Metal Target Protection Thin Film in Isotope Production in Gansu Province. Energies. 2025; 18(4):928. https://doi.org/10.3390/en18040928

Chicago/Turabian Style

Liu, Yuqi, Jianrong Zhang, Weiming Liu, Lidong Ma, Mengke Wang, Yaling Zhang, Lei Yang, and Yangyang Yang. 2025. "Mechanics and Heat Transfer Design of Thorium Metal Target Protection Thin Film in Isotope Production in Gansu Province" Energies 18, no. 4: 928. https://doi.org/10.3390/en18040928

APA Style

Liu, Y., Zhang, J., Liu, W., Ma, L., Wang, M., Zhang, Y., Yang, L., & Yang, Y. (2025). Mechanics and Heat Transfer Design of Thorium Metal Target Protection Thin Film in Isotope Production in Gansu Province. Energies, 18(4), 928. https://doi.org/10.3390/en18040928

Note that from the first issue of 2016, this journal uses article numbers instead of page numbers. See further details here.

Article Metrics

Back to TopTop