Abstract
This article discusses the potential of using the double-Wiebe function to model combustion in a compression-ignition engine fueled by diesel fuel or its substitutes, such as hydrotreated vegetable oil (HVO) and rapeseed methyl ester (RME), and hydrogen injected into the engine intake manifold. The hydrogen amount ranged from 0 to 35% of the total energy content of the fuels burned. It was found that co-combustion of liquid fuel with hydrogen is characterized by two distinct combustion phases: premixed and diffusion combustion. The premixed phase, occurring just after ignition, is characterized by a rapid combustion rate, which increases with an increase in hydrogen injected. The novelty in this work is the modified formula for a double-Wiebe function and the proposed parameters of this function depending on the amount of hydrogen added for co-combustion with liquid fuel. To model this combustion process, the modified double-Wiebe function was proposed, which can model two phases with different combustion rates. For this purpose, a normalized HRR was calculated, and based on this curve, coefficients for the double-Wiebe function were proposed. Satisfactory consistency with the experiment was achieved at a level determined by the coefficient of determination (R-squared) of above 0.98. It was concluded that the presented double-Wiebe function can be used to model combustion in 0-D and 1-D models for fuels: RME and HVO with hydrogen addition.
1. Introduction
Previous studies have shown that combustion of a mixture of liquid fuel (e.g., RME, HVO or diesel fuel) and gaseous fuel, particularly hydrogen, in an internal combustion (IC) engine proceeds in two phases: premixed combustion and diffusion combustion [1,2]. This phenomenon was also observed in the combustion of diesel fuel [3]. However, in the case of RME/HVO + hydrogen tests, the premixed combustion phase is very noticeable and dominates the overall combustion process. It can be concluded that the premixed combustion phase is dominant when the hydrogen concentration exceeds its lower flammability limit in the air filling the engine cylinder [4,5]. With this in mind, efforts were made to develop a new model of the heat release for this type of liquid and gaseous fuel burned in the compression-ignition (CI) engine. The heat release model is the most crucial element in modeling the combustion process in a reciprocating IC engine [6,7]. Based on this model, the in-cylinder pressure and temperature during combustion are calculated. The commonly known Wiebe function (also known as Vibe) for fuel burnout by mass is used for both the zero-dimensional (0-D) and 1-D models. The Wiebe function is an exponential function that represents the fuel burnout process as a function of the engine crankshaft angle (CA) [8,9,10]. It was originally developed for spark-ignition engines burning light liquid fuels (such as gasoline, alcohols, and natural gas), where premixed combustion can be considered the only phase for air-fuel mixtures [11,12]. Generally, the combustion rate mostly depends on the fuel injection strategy and, consequently, on the preparation of the combustible mixture, local equivalence ratio inside the engine cylinder, and turbulence intensity. It is also influenced by several engine operating parameters such as load, speed, temperature at the moment of ignition, and exhaust gas recirculation ratio [13,14]. Therefore, providing an analytical description of the combustion rate is a difficult or even impossible task, if taking into account all known physical and chemical parameters influencing the combustion process in the engine. Hence, the mathematical description of this complex phenomenon using a relatively simple function with only three independent parameters (Wiebe function) can be regarded as a black box model that still gives satisfactory results despite the high degree of simplification. As noted by Zamboni [15], simple linear correlations between operating and air-fuel parameters and the combustion rate can be useful for gradually analyzing and understanding the combustion process in IC engines.
As mentioned, the Wiebe function requires at least three parameters that influence its shape. The proper determination of these parameters is the subject of numerous scientific papers. One of the most interesting studies is that by Yeliana et al. [16]. They presented several effective methods for selecting the Wiebe function for a specific application of a spark-ignition (SI) engine. As mentioned, the Wiebe function theoretically describes the fuel burnout rate and is also known as the mass fraction of fuel burnt (MFB) vs. crank angle of the engine crankshaft. Rassweiler and Withrow, however, developed a method for calculating the MFB through experiments. Their method was relatively simple, as it involved calculating the in-cylinder pressure ratio [17]. Data obtained from the Rassweiler-Withrow formula became the basis for estimating the Wiebe function coefficients. Based on this, it can be concluded that the Wiebe-based combustion models are either semi-analytical or quasi-empirical, which provide reliable results. Returning to the Wiebe function, several articles confirm that it does not satisfactorily model the combustion process, including heat release in the CI engine, where fuel (e.g., diesel) is injected into the cylinder in its liquid phase [16,18,19]. This is because the injected fuel must be atomized, vaporized, mixed with air, self-ignited, and then burned. This leads to multiple flames from spontaneous combustion—some from burning the premixed mixture, while a significant amount of fuel burns through diffusion combustion, with flames forming on the surface of unevaporated liquid droplets. This feature of CI engine combustion is also mentioned by Heywood [3]. As stated, the diesel combustion is characterized by three phases: premixed, diffusion, and late combustion [3,20]. The combustion rates of these phases differ significantly. Thus, modeling them with a single-Wiebe function remains a considerable challenge.
Double- and Triple-Wiebe Functions
To meet the challenge of accurately modeling the combustion process, attempts were made to improve the Wiebe function by combining two or three individual Wiebe functions, each describing a specific combustion phase. A brief literature review provides insight into modeling the heat release process and the Wiebe function for 0-D combustion models of dual gaseous and liquid fuels used in IC engines. Among others, Serrano et al. [21] investigated the premixed, diffusion, and late combustion phases of a turbocharged diesel engine by combining three Wiebe functions. Furthermore, Xu et al. [22] also used the triple-Wiebe function and found that it was more accurate for predicting the burned fuel fraction. A similar observation was made by Awad et al. [23], who experimentally analyzed the three combustion phases of a diesel engine fueled with diesel and biodiesel. Tipanluisa et al. [24] developed a simple phenomenological model using three combined Wiebe functions to describe the cumulative heat and heat release rate of a diesel engine fueled with binary n-butanol-diesel blends (up to 20% by volume). Following their results, a modified triple-Wiebe function accurately represented the premixed and diffusion combustion phases in the biodiesel-fueled engine. The main difficulty in analytically determining the triple-Wiebe function is the large number of coefficients, both linear and exponential. It is also difficult to evaluate the individual combustion phases in terms of their percentage contribution to the overall combustion process. Therefore, the double-Wiebe function is more popular, describing two combustion phases: the first (premixed combustion) and the second (diffusion combustion) [11,12,13,14,15,16,17,18,19,20,21,22,23,24]. Kamaltdinov et al. [25] used the double-Wiebe function for a diesel-fueled engine and proposed a linear coefficient between 0 and 1 that distributes the total fuel mass into the premixed and diffusion phases. Yang et al. [26] tested a 1-D computational CI engine model using both single- and double-Wiebe functions. They confirmed that the double-Wiebe function more accurately captured the real MFB, with a root mean square error of 1.4%. Helstrom et al. [27] developed an algorithm for selecting four parameters of a double-Wiebe function for a gasoline engine, noting that the temperature at intake valve closure and exhaust gas recirculation ratio can serve as indicative parameters. Liu [28] performed analytical studies of double-Wiebe coefficients and proposed a neural network approach using the heat release rate as input data. Beccari and Pipitone [19] introduced a new Hill function that uses the 50% MFB position as one of the parameters to calculate the MFB profile, providing higher accuracy for the indicated mean effective pressure. The same 50% MFB point was used by Zhu et al. [29] in a modified Wiebe function. They proposed a novel calibration method called “backward-stepwise recursion”, which decomposes the real heat release rate and fits the function from the end to the pre-combustion stage. They confirmed that the triple-Wiebe function was accurate for diesel engines under various loads from 15 to 100%. Salva and Gallo [30] proposed a computational tool to forecast the pressure-volume diagram using a user-defined heat release as a derivative of the double-Wiebe function. Maroteaux et al. [31] modeled in-cylinder combustion processes with multiple diesel injections and applied a double-Wiebe function for the initial and main combustion phases, while a single-Wiebe function modeled the post-combustion phase. Finally, good accuracy for ignition and main combustion using this double-Wiebe approach was confirmed. Yasar et al. [32] improved a single-zone model by incorporating a double-Wiebe function to predict in-cylinder pressure, thus eliminating the need for a separate wall zone where diesel fuel burns slower than in the combustion core. For this purpose, they assigned a small fuel fraction to be burned at a reduced rate. Pesic et al. [33] developed a zero-dimensional, single-zone model for a biodiesel-fueled CI engine and found the double-Wiebe function effective. They used a least-squares fitting method to determine shape parameters. Lebedevas et al. [34] analyzed the use of a single-Wiebe function to model combustion in a CI engine fueled by diesel or RME. They noticed that the modeled heat release rate (HRR) deviated slightly from the experimental HRR but concluded that the single-Wiebe function could be used with an error below 4%. Tang et al. [35] used the single-Wiebe function to model dual-fuel combustion but found it ineffective for NOx emission predictions. Alam et al. [36] modified the Wiebe function for modeling methane-air and methane-oxygen combustion in SI engines and proposed a scaled Wiebe function as an effective tool. Osetrov and Haas [12] also confirmed the need to divide the combustion process into premixed and diffusion phases and developed a Wiebe-based model that included several parameters correlated with mixture composition, engine speed, stratification, and injection and ignition phenomena.
In summary, research on the Wiebe function is inconsistent; researchers provide good solutions but only for very narrow applications. There is still no universal recipe for describing the combustion process for various fuels in the CI engine. This literature review highlights the limitations of the Wiebe function and presents approaches for its improvement. The analysis reveals a lack of both analytical and experimental studies on modeling the combustion process of liquid fuel and hydrogen mixtures in CI engines. To address this gap, a modified double-Wiebe function has been developed, and recommendations have been provided for adjusting its parameters according to the hydrogen content during co-combustion with liquid fuel. Accordingly, this paper presents general guidelines to facilitate the modeling of dual-fuel combustion—specifically for liquid fuels (such as diesel) and gaseous fuels, particularly hydrogen—using the double-Wiebe function, with an emphasis on accurate coefficient estimation.
2. Materials—Experimental Setup
Both experimental and theoretical analyses were carried out at the Laboratory of Transport Engineering and Logistics of Vilnius Gediminas Technical University. A detailed description of the test bench is provided in reference [2], while only a brief outline is presented here. The main component of the test setup was an Audi/VW TDI (Volkswagen AG, Wolfsburg, Germany) compression-ignition diesel engine, as shown schematically in Figure 1. The engine was modified to operate as a dual-fuel system, with both gaseous (hydrogen) and liquid fuels supplied and combusted simultaneously. The main specifications of the engine are listed in Table 1.
Figure 1.
The scheme of the engine test bench [2]: 1—CI engine; 2—dynamometer; 3—engine torque meter; 4—intake air thermometer; 5—intake manifold pressure gauge; 6—turbocharger; 7—smoke analyzer; 8—exhaust gas analyzer; 9—diesel fuel tank; 10—diesel fuel consumption scales; 11—high pressure diesel fuel pump; 12—diesel fuel injector; 13—in-cylinder pressure sensor; 14—charge amplifier; 15—data acquisition system; 16—crank angle encoder; 17—CI engine ECU.
Table 1.
Engine specifications.
Hydrogen was injected into the intake air upstream of the turbocharger using the “DEGAmix” (ELPIGAZ, Grudziądz, Poland) gas supply system. The hydrogen was supplied from a 200 bar high-pressure cylinder and reduced to 10 bar by an auxiliary pressure reducer before entering the “Vega-i” reducer. The final injection pressure into the intake air was up to 1.2 bar. The hydrogen mass flow rate was measured upstream of the “Vega-i” reducer using a RHEONIK RHM 015 (Rheonik Messtechnik GmbH, Odelzhausen, Germany) mass flow meter. To ensure operational safety, a flame arrestor was installed between the reducer and the H2 injector to prevent flashback from the intake manifold into the hydrogen supply system.
The purpose of this study was to evaluate the influence of hydrogen addition on the combustion of HVO and RME modeled with the aid of a Wiebe function. Conventional diesel fuel served as the reference case, enabling comparison with the combustion behavior of pure RME and HVO. Throughout the experiments, engine speed, injection timing, and brake mean effective pressure (BMEP) were constant. The CI engine was coupled to a KI-5543 dynamometer (Gosniti Rosselhozakademii, Moscow, Russia), which controlled and monitored both engine load and speed. The engine operating load was regulated by proportionally varying the flow rates of liquid fuel and hydrogen. The applied test conditions are summarized in Table 2.
Table 2.
Tests conditions.
The raw in-cylinder pressure traces from individual combustion cycles were processed using a 4th-order low-pass Butterworth filter with a cut-off frequency of 3.5 kHz. For each test series, the average in-cylinder pressure was then obtained by calculating the mean value over 75 consecutive combustion cycles. In this way, the parameters assumed to be constant were represented as mean values for a given test series. Hydrogen of 99.99% purity was supplied into the engine intake air. Based on the measured mass consumption of the liquid fuel (diesel, RME or HVO) and the injected hydrogen mass, the hydrogen mass fraction was calculated. Considering the mass flow rates of the liquid fuel and hydrogen, together with their lower heating values, the hydrogen energy share (HES) was determined. The hydrogen volumetric percentage (HVP) in air was calculated based on the measured hydrogen and air volumetric flow rates. These hydrogen and air flow rates were derived from the experimentally measured hydrogen and air mass flows supplied to the engine, along with the corresponding gas densities upstream of the turbocharger. Detailed specifications of the fuels used in tests are in the reference [2]. Table 3 presents a correlation between HVP and HES. The upper limit for HES of 35% was introduced due to high probability of hydrogen knock occurring above this limit in a dual-fuel CI engine [37].
Table 3.
Hydrogen volumetric and energy percentage in the total mixture of two fuels.
Uncertainty Analysis
Detailed information on the measurement uncertainties is provided by the authors in reference [2]. It is worth noticing the satisfactory uncertainty levels of the quantities determined from the equations for HRR, MFB, and the MFB derivative (Equations (5)–(8)). The combustion phases CA0-10 and CA10-90 correspond to the initial and main combustion stages, respectively. The accuracy of these parameters also confirms the high repeatability of HRR, normalized HRR (NHRR), and MFB results. The uncertainty of the MFB determined from the experimental pressure data is expressed as the standard deviation calculated from 75 combustion cycles. Accordingly, the standard deviation of the MFB data at specific crank angle points is below 2.5% of the mean value. These results are summarized in Table 4.
Table 4.
Uncertainties for thermodynamic parameters.
3. Methodology
This section describes the methodology for calculating the heat released during the co-combustion of two fuels: liquid and gaseous—with particular focus on their combustion rates. It was assumed that the net heat release rate, after normalization and integration, can be interpreted as a crank-angle-based combustion profile of the burning mixture, similar to the MFB profile. The following subsection presents a parametric analysis of the single-Wiebe function. Finally, a double-Wiebe function is introduced as the main approach for modeling HRR and MFB profiles during the combustion of a mixture of two fuels with significantly different combustion rates.
3.1. Modeling Combustion Rate
The heat release model and the closely related mass fuel combustion model are based on the fuel mass combustion function. This is an obvious relationship that links fuel mass to heat released, where the lower heating value (LHV) serves as a linear coefficient (Equation (1)).
where
- Qin—heat accumulated in the total mass of fuel mfuel delivered to the engine cylinder,
- mfuel—mass of the fuel dose,
- LHVfuel—lower heating value of the fuel.
If one assumes that the entire mass of fuel is completely combusted, then HRR vs. crank angle α can be determined as follows (Equation (2)):
where
- Qin(α)—heat released from starting combustion up to the time where the engine piston is located at specific position determined by the crank angle α,
- mfuel(α)—mass of the fuel dose combusted from the beginning of combustion until the crank angle α.
On the basis of the energy conservation law, the total heat Qin that can be potentially released from the mass of fuel mfuel combusted is determined with Equation (3).
where
- ΔU—internal energy change before and after combustion,
- Qin—heat accumulated in the fuel dose mFuel,
- Qout—heat transferred outside the engine,
- Qloss—heat losses,
- W—useful work generated by the piston on the crankshaft.
Heat Qout is often referred to as Qwall, representing the heat transferred to the engine cooling system through the cylinder walls. In contrast, the heat losses Qloss mainly result from the incomplete combustion inside the engine cylinder due to the crevice effect and fuel blow-by into the crankcase. Based on this assumption, the total fuel mass mfuel is not completely combusted. Subsequently, the analysis focuses on the net heat (Qnet) defined by Equation (4), which is obtained by neglecting the heat losses (Qloss):
From another point of view, the progress of combustion can be expressed using the well-known thermodynamic pressure-volume (p, V) relation. This approach is commonly applied in the analysis of combustion process in IC engines. Accordingly, the final expression for the net heat release rate HRRnet can be simplified as shown in Equation (5), where Qloss is neglected:
where
- κ—the ratio of specific heats (cp/cv) of the gases filling the engine cylinder at constant pressure and constant volume, respectively,
- p(α)—in-cylinder combustion pressure,
- V(α)—in-cylinder volume,
- α—crank angle (CA) deg,
- Qwall(α)—heat losses to walls.
Hence, the cumulative net heat released (CHR) as a function of crank angle α, denoted CHR(α), is defined by Equation (6):
where
- SOC—start of combustion,
- mfuel,net (α)—is mass of fuel combusted following this relation mfuel (α)-mfuel,loss(α).
As previously assumed, the mass loss mfuel,loss can be considered negligible when calculating the net heat release rate using Equation (5). Although this assumption introduces a certain methodological error, it can be minimized by calculating the CHR in a dimensionless and normalized form NCHR, limited to the range from 0 to 1, as defined by Equation (7):
where
- CHRmax—is the cumulative heat at the end of combustion.
If the fuel mass loss mfuel,loss is assumed to offset the total mass of fuel combusted, then, after normalization, this component vanishes and does not contribute to the overall error. In conclusion, the profile of CHR(α) is almost identical to that of MFB(α); therefore, MFB(α) can be derived from the integral of HRR, according to Equations (5) and (6), even though MFB is strictly related to the mass of fuel burned. From this perspective, the Wiebe function can be calibrated based on the normalized net heat release rate (NHRR), defined in Equation (8) as the derivative of the normalized CHR or the derivative of MFB with respect to the crank angle α, hereinafter denoted as CA:
3.2. Wiebe Function Parameter Study
The parametric study examines how the Wiebe function parameters affect the resulting combustion characteristics. This section includes a discussion on the classical Wiebe function and the double-Wiebe function, which is composed as the sum of two single-Wiebe functions. Subsequently, a modification of the double-Wiebe function is proposed. A new factor k is introduced, defined as the ratio of the total combustion energy to the premixed combustion energy.
3.2.1. Single-Wiebe Function
In the Introduction, it was stated that the studies by Rassweiler and Withrow addressed the mass fraction of fuel burned (MFB) during combustion. Therefore, to avoid any misunderstandings, the quantity MFB is also defined as the output of the Wiebe function. Hence, the single-Wiebe function is expressed by Equation (9). As shown, it is a normalized function ranging from 0 to 1:
where
- a—is the exponential coefficient influencing combustion duration,
- f—shape factor,
- α—crank angle (CA) in deg,
- αSOC—crank angle for start of combustion in CA deg,
- CD—combustion duration in CA deg.
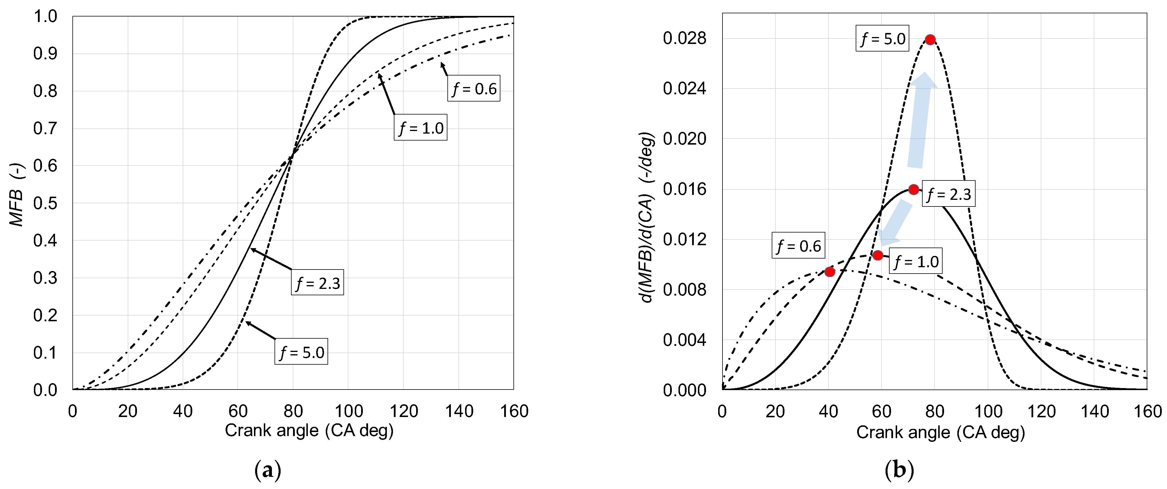
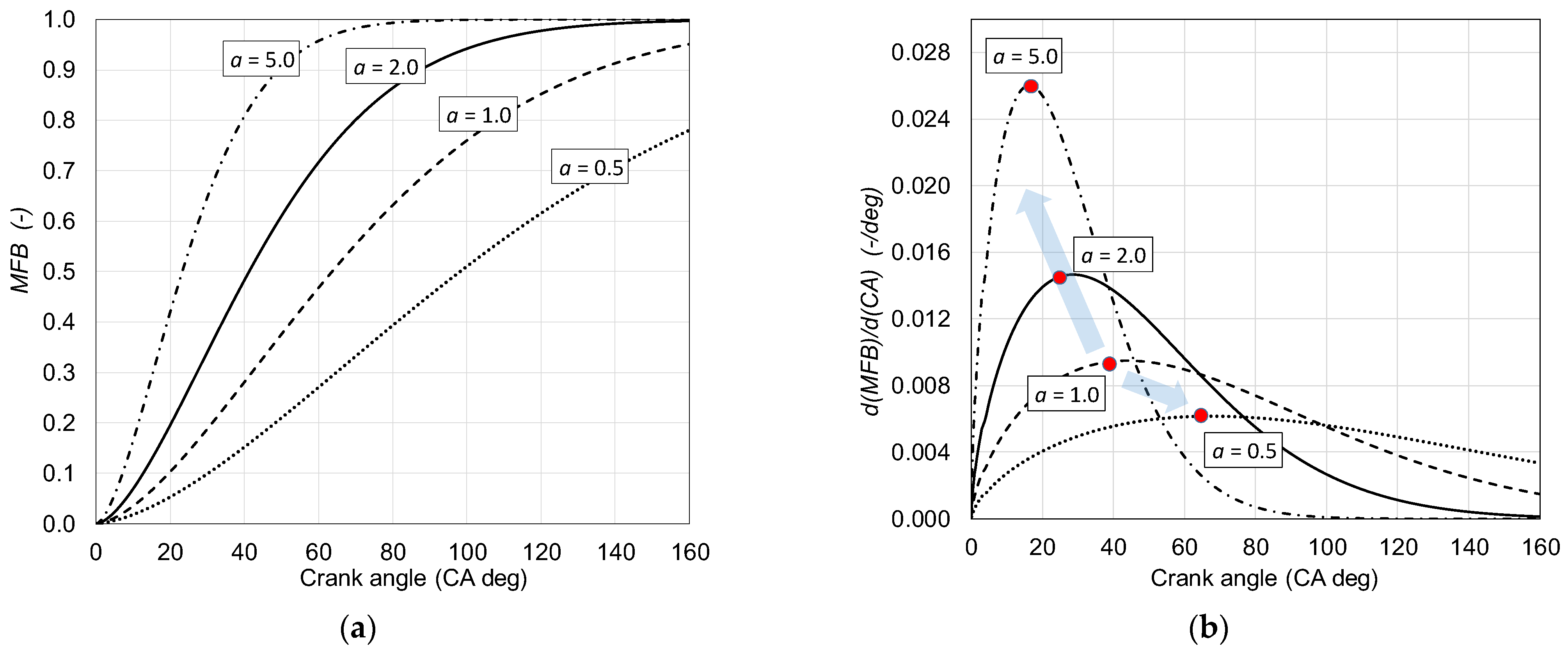
The parametric study investigates the influence of the following parameters on the MFB function profile: a, f and CD. The results are presented graphically in Figure 2, Figure 3 and Figure 4. The shape factor f affects the shape of the function, making it resemble the letter “S” (Figure 2a). However, a much stronger effect can be observed for the derivative of the Wiebe function d(MFB)/d(CA) (Figure 2b), where parameter f significantly changes both the peak value and the skewness of the curve. A similar influence is observed for the exponential coefficient a. However, the f parameter can also be used to adjust the delay in the initial combustion phase, which cannot be achieved by modifying the coefficient a (Figure 3). The coefficient a only affects the combustion rate at the beginning of the process, also referred to as the first combustion phase.
Figure 2.
(a) MFB with various parameters f; (b) MFB derivatives over crank angle with various parameters f.
Figure 3.
(a) MFB with various parameters a; (b) MFB derivatives over crank angle with various parameters a.
Figure 4.
(a) MFB with various total combustion durations; (b) MFB derivatives over crank angle with various total combustion durations.
One might assume that the CD parameter (Figure 4a) provides the most reliable measure of the actual combustion process. As the name suggests, it represents combustion duration. However, this assumption is not entirely correct. In this case, CD can represent the real combustion duration but only for specific values of parameters a and f. A valuable feature of the CD parameter is its strong influence on the peak value of the MFB derivative (Figure 4b), which is evident considering that the MFB function is normalized to the range from 0 to 1.
3.2.2. Double-Wiebe Function
Both double- and triple-Wiebe functions include additional coefficients βi, which represent the fractional contribution of each combustion phase. Accordingly, the general expression for the double- or triple-Wiebe function is given in Equation (10):
where
- βi—is the fraction of each combustion phase,
- δi—equals 1 if α − αi > 0.
The proper determination of the βi fraction (Equation (10)) involves several challenges when adapting them to represent the energy shares of individual combustion phases. Therefore, an alternative approach was proposed for evaluating the premixed and diffusion phases in the double-Wiebe function. Instead of β1, the coefficient 1/k was applied for the first (premixed) phase, and instead of β2, the coefficient (1 − 1/k) was used for the second (diffusion) phase (Equation (11)). It should also be emphasized that, in this proposed formulation of the double-Wiebe function, no offset is assumed between the start of the first and second phase. This assumption is considered valid because, when two fuels are used—one of which is gaseous and ignites first—the flame kernel of the gaseous fuel can immediately ignite the liquid fuel droplets.
where
- subscript 1 denotes the first, assumed as the premixed combustion phase,
- subscript 2 denotes the second, considered the diffusion combustion phase,
- k—let one call it the phase importance factor of these premixed and diffusion combustion phases.
As concluded from Equation (11), the factor k must be equal to or greater than 1. For k = 1, combustion consists solely of the premixed phase. As k increases, the diffusion combustion phase plays a progressively more dominant role. Figure 5 shows exemplary plots of MFB and its derivative for the double-Wiebe function, which represents the sum of two single-Wiebe functions differing in combustion durations and peak intensity. By examining the graphs in Figure 5b, one can notice certain inconsistencies in the definitions of the premixed and diffusion phases, defined as the first and second combustion phases, respectively. In fact, it is difficult to precisely identify the end of the premixed phase and the begin of the diffusion phase, as both occur simultaneously within a specific crank angle range.
Figure 5.
(a) Single-Wiebe functions for the first (premixed), and the second (diffusion) combustion phases, and a double Wiebe with various combustion durations of each phase; (b) Wiebe derivatives over crank angle with various combustion durations of each phase.
As assumed, there is no delay offset for the diffusion phase relative to the start of the premixed phase. Therefore, based on this reasoning, it can be concluded that during the premixed phase (the first combustion phase in Figure 5) the acceleration of combustion is caused not only by the rapid burning of the gaseous fuel but also by the initiation of liquid fuel combustion, which initially also includes the premixed combustion phase. This interpretation of combustion rate behavior appears to be the most appropriate. The offset due to ignition delay is, however, taken into account.
Figure 6 shows the MFB and its derivative for three different values of the factor k. As seen in Figure 6b, k has a significant influence on both the premixed-phase and diffusion-phase peaks. For k < 10, the premixed-phase peak is considerably higher than the diffusion-phase peak. This observation agrees with experimental results, where hydrogen content above 20% led to combustion dominated by the first, premixed phase. For k ≈ 10, the premixed-phase peak is of the same order of magnitude as the diffusion-phase peak. As k increases beyond 10, the premixed-phase peak decreases relative to the diffusion-phase peak.
Figure 6.
(a) Double-Wiebe functions with various importance factor k = 2, 10 and 30. (b) Double-Wiebe derivatives with various importance factors k = 2, 10 and 30.
4. Results and Discussion
The research results are presented in the following sections:
- In-cylinder pressure, mean in-cylinder temperature, HRR, and MFB obtained from experiments;
- Fitting the double-Wiebe function to experimental data;
- Discussion summary.
4.1. In-Cylinder Pressure, In-Cylinder Mean Temperature, HRR and MFB
Figure 7a shows examples of in-cylinder pressure during the combustion phase, as well as the calculated average in-cylinder temperature based on the ideal gas law. Using Equations (4) and (5), the net heat release rate HRRnet and cumulative heat release CHR were calculated, as illustrated in Figure 7b.
Figure 7.
(a) Exemplary in-cylinder pressure and temperature for RME with 15% hydrogen addition; (b) Heat release rate (HRR) and cumulative heat released (CHR) for RME with 15% hydrogen addition.
As shown in Figure 7b, two distinct maxima appear in the HRR curve. The first is a sharp peak caused by the rapid combustion of the premixed hydrogen—air mixture. The second maximum occurs later and is more difficult to classify as either premixed or diffusion combustion. However, due to the presence of hydrogen, this phase proceeds significantly faster than the corresponding phase in pure liquid fuel combustion, as shown in Figure 8a and Figure 9a for tests without hydrogen (HES = 0%). Based on the chemical reaction principles, it can be concluded that the rapid combustion of hydrogen during the first phase significantly increased the temperature of the remaining unburned fuel, thereby accelerating its subsequent oxidation. Consequently, the second phase can be considered a mixed phase, involving both premixed and diffusion combustion.
Figure 8.
HVO with various hydrogen additions: (a) MFB derivative; (b) MFB.
Figure 9.
RME with various hydrogen additions: (a) MFB derivative; (b) MFB.
As previously mentioned, the normalized CHR function was presented as a function of MFB. Since MFB is related to fuel burnout by mass, the negative heat release values occurring just before ignition—resulting from endothermic processes such as liquid fuel evaporation—were removed. Thus, Figure 8a shows the derivative of MFB consistent with the real HRR, excluding this pre-ignition effect. As illustrated, there are significant differences in the shape of the MFB derivatives for various hydrogen fractions. Notably, these differences become pronounced when the hydrogen share exceeds 24%. This finding indicates that hydrogen burns first as a separate fuel, followed by the combustion of the primary liquid fuel, in this case HVO. Similar trends are observed for RME combustion with different hydrogen additions (Figure 9). However, when comparing the MFB profiles in Figure 8b and Figure 9b, no significant differences are observed. Therefore, modeling the combustion process based on the cumulative heat release appears to be less reliable than modeling based on the MFB derivative (Figure 8a and Figure 9a). In summary, the parametric analysis of the Wiebe function should focus on its derivative, d(MFB)/d(CA), as discussed in the previous section.
Figure 10 presents the combustion rate, expressed as a derivative d(MFB)/d(CA), for the liquid fuels without hydrogen (Figure 10a) and with 35% hydrogen added by energy (Figure 10b). Diesel fuel was used as the reference for both neat RME and HVO. As clearly shown, the addition of a substantial amount of hydrogen significantly accelerates combustion during the first phase. These pronounced peaks in Figure 10b correspond to the premixed combustion phase. On a normalized scale, these combustion rates are approximately twice as high as those observed for liquid-fuel-only combustion (Figure 10a). Moreover, it can be observed that neat RME and HVO exhibit combustion rates similar to those of diesel fuel (Figure 10a). Likewise, comparable combustion rates are recorded for HVO and RME when 35% hydrogen is added (Figure 10b). The Wiebe function for the first phase represents the rapid combustion characteristic of the premixed phase, whereas the second phase is considerably slower and corresponds to the diffusion combustion of liquid-fuel droplets. Based on these results, it can be concluded that the double-Wiebe function is suitable for zero-dimensional (0-D) modeling of co-combustion of liquid and gaseous fuels (hydrogen, in this case) in the IC engine.
Figure 10.
(a) MFB derivative for HVO, RME and DF without hydrogen; (b) MFB derivative for RME and HVO with 35%H2.
4.2. Adapting the Double-Wiebe Function
The double-Wiebe function was applied to model the combustion process according to Equation (11). Figure 11 presents exemplary results of the actual combustion rate, expressed by the derivative d(MFB)/d(CA), and the corresponding MFB curve, with superimposed waveforms of the double-Wiebe function and its derivative for modeling the combustion of RME and hydrogen at 35% by energy. Regarding the accuracy of this 0-D modeling compared with the experimental results, the primary source of error occurs in the region marked with a red circle. This region exhibits the largest deviation, which translates into a minor discrepancy relative to the actual MFB profile. As illustrated, this deviation in the MFB profile is approximately 0.7 CA degrees for a given MFB value, which can be considered practically negligible.
Figure 11.
Exemplary plots of: (a) MFB derivative for RME with 35%H2 and derivative of the double-Wiebe function; (b) MFB for RME with 35%H2 and MFB resulted from the double-Wiebe function.
Combustion modeling using the double-Wiebe method involves determining seven independent parameters: a, f, and CD for the two Wiebe functions corresponding to the first and the second combustion phases, as well as the factor k. It should be noted that all these parameters affect the shape of the double-Wiebe curve. Table 5 presents the maxima of the NHRR and their corresponding crank angle locations, determined from experimental data, along with the parameters of the two Wiebe functions—the first and second phases—used to model the overall combustion process. As observed, the coefficient of determination R2 is relatively high (above 0.98), indicating an excellent agreement between the double-Wiebe model ant the experimental data. A methodology used to determine these parameters was based on multi-parameter optimization techniques. However, this approach has not yet been fully validated and is therefore not discussed here. Nevertheless, practical guidelines for parameter selection are provided in Section 4.3.
Table 5.
Wiebe parameters and experimental data for normalized HRR at the first and the second combustion phases.
4.3. Recommendations for the Double-Wiebe Parameters
In summary, based on the combustion tests carried out, general guidelines were proposed for these 7 parameters for the double-Wiebe function in cases of co-combustion of diesel fuel or its substitutes (RME or HVO) with the addition of hydrogen up to 35% by energy in the CI engine. Here are general rules for these parameters as follows:
- The first combustion phase is strictly affected by hydrogen. As found from Table 5, the two following parameters f1 and CD1 have to be changed with hydrogen addition.
- Typically, the parameter f1 decreases from 1.8 to [0.9, 1.0] (with increasing HES from 0 to 35% HES).
- The parameter CD1 gets shortened from 28 CA deg to [8, 10] CA deg while changing HES from 0 to 35%.
- The parameter a1 is recommended to equal 10.
- The second combustion phase does not change with hydrogen addition; hence, the values can be the same for all the tests ignoring hydrogen addition as proposed:
- a2 = 10, f2 = [0.25, 0.26], CD2 = [125, 130]. This was confirmed in tests with pure diesel fuel as well as tests with RME and HVO without hydrogen added.
- The phase importance factor k varies from 7 to 6 with HES increasing from 0 to 35%.
- The coefficients f1, CD1, f2, CD2 and k can be determined using the linear interpolation with change in HES from 0 to 35%.
As stated, these tips are recommendations that are validated with R2 coefficient above 0.98. The brief information is provided in Table 6.
Table 6.
Recommended Wiebe parameters for the double-Wiebe function for RME, HVO with hydrogen, and pure diesel fuel.
5. Conclusions
In summary, the following main conclusions can be drawn regarding the co-combustion of hydrogen and diesel-like liquid fuels:
- The addition of hydrogen increases the combustion rate during the initial phase, which is primarily dominated by premixed combustion.
- When hydrogen is added to diesel-like fuels, two distinct peaks appear in the heat release rate, corresponding to the first (premixed) and second (diffusion) combustion phases. Therefore, the double-Wiebe function was proposed as an optimal tool for modeling this process.
- Modeling of such a combustion should be based on the derivative of the double-Wiebe function rather than on the Wiebe function itself. For this purpose, the normalized heat release rate obtained from experimental data was used to calibrate the derivative of the double-Wiebe function.
- The parameters presented in Table 6 for the double-Wiebe function were determined with an R2 value exceeding 0.98. Hence, they are proposed as universal parameters for modeling the co-combustion of hydrogen with RME or HVO.
Author Contributions
Conceptualization, S.S. and S.P.; methodology, S.S. and S.P.; validation, S.P., S.S., R.J. and A.R.; formal analysis, S.S.; investigation, S.P. and S.S.; resources, A.R. and R.J.; data curation, A.R. and R.J.; writing—original draft preparation, S.P. and S.S.; writing—review and editing, S.S. and S.P.; supervision, S.P. All authors have read and agreed to the published version of the manuscript.
Funding
This research was conducted as part of the execution of project “Mission-driven Implementation of Science and Innovation Programmes” (No. 02-002-P-0001), funded by the Economic Revitalization and Resilience Enhancement Plan “New Generation Lithuania”. BS/BP-100-301/2025/P Statutory Research Program of Czestochowa University of Technology provided partial co-funding.
Data Availability Statement
The original contributions presented in this study are included in the article. Further inquiries can be directed to the corresponding author.
Conflicts of Interest
The authors declare no conflicts of interest.
Abbreviations
The following abbreviations are used in this manuscript:
| 0-D, 1-D | Zero-, One-Dimensional |
| BMEP | Brake Mean Effective Pressure |
| CA | Crank angle |
| CD | Combustion duration |
| CHR | Cumulative heat released |
| CI | Compression-ignition |
| DF | Diesel fuel |
| HES | Hydrogen energy share |
| HRR | Heat release rate |
| HVO | Hydrotreated vegetable oil |
| HVP | Hydrogen volumetric percentage |
| IC | Internal combustion |
| LHV | Lower heating value |
| MFB | Mass fraction burnt |
| NHRR | Normalized heat release rate |
| RME | Rapeseed methyl ester |
| SOC | Start of combustion |
References
- Barış, O.; Güler, İ.; Yaşgül, A. The Effect of Different Charging Concepts on Hydrogen Fuelled Internal Combustion Engines. Fuel 2023, 343, 127983. [Google Scholar] [CrossRef]
- Szwaja, S.; Pukalskas, S.; Juknelevicius, R.; Rimkus, A. Combustion Analysis of the Renewable Fuel HVO and RME with Hydrogen Addition in a Reciprocating Internal Combustion Engine. Energies 2025, 18, 3381. [Google Scholar] [CrossRef]
- Heywood, J.B. Internal Combustion Engine Fundamentals; McGraw-Hill Book Company: New York, NY, USA, 1988. [Google Scholar]
- Zhang, Y.; Zhao, D.; Li, Q.; Huang, M.; Hao, Q.; Du, J.; Song, Y.; Ming, Z.; Wang, J. Premixed Combustion and Emission Characteristics of Methane Diluted with Ammonia under F-Class Gas Turbine Relevant Operating Condition. Front. Energy Res. 2023, 11, 1120108. [Google Scholar] [CrossRef]
- Schuller, T.; Poinsot, T.; Candel, S. Dynamics and Control of Premixed Combustion Systems Based on Flame Transfer and Describing Functions. J. Fluid Mech. 2020, 894, P1. [Google Scholar] [CrossRef]
- Olanrewaju, F.O.; Li, H.; Andrews, G.E.; Phylaktou, H.N. Improved Model for the Analysis of the Heat Release Rate (HRR) in Compression Ignition (CI) Engines. J. Energy Inst. 2020, 93, 1901–1913. [Google Scholar] [CrossRef]
- Depcik, C.; Mattson, J.; Alam, S.S. Open-Source Energy, Entropy, and Exergy 0D Heat Release Model for Internal Combustion Engines. Energies 2023, 16, 2514. [Google Scholar] [CrossRef]
- Serrano, R.; Uriondo, Z.; Portillo, L.D.; Basterretxea, A. A Study on the Optimal Adjustment of a Turbocharged Marine Compression-Ignition Engine with Double Pilot Fuel Injection Operating under a diesel─H2 Dual Fuel. Appl. Therm. Eng. 2025, 270, 126233. [Google Scholar] [CrossRef]
- Jalivar, G.; Neshat, E. Novel Thermodynamic Model for Simulation of Hydrogen/Diesel Fueled PCCI Engine. Heliyon 2025, 11, e42140. [Google Scholar] [CrossRef]
- Saeed Akhtar, M.U.; Asfand, F.; Khan, M.I.; Mishra, R.; Ball, A. Comparative Analysis to Assess the Effects of Hydrogen Injection Techniques on Performance and Emission Characteristics of a Compression-Ignition Engine. Case Stud. Therm. Eng. 2025, 73, 106724. [Google Scholar] [CrossRef]
- Feyijimi, C.; Depcik, C. Predictive Zero-Dimensional Combustion Modeling in Internal Combustion Engines with Residual Fraction and Exhaust Gas Recirculation. J. Eng. Gas Turbines Power 2025, 147, 1–34. [Google Scholar] [CrossRef]
- Osetrov, O.; Haas, R. Modeling Homogeneous, Stratified, and Diffusion Combustion in Hydrogen SI Engines Using the Wiebe Approach. Energies 2025, 18, 3004. [Google Scholar] [CrossRef]
- Wang, B.; Pamminger, M.; Vojtech, R.; Wallner, T. Impact of Injection Strategies on Combustion Characteristics, Efficiency and Emissions of Gasoline Compression Ignition Operation in a Heavy-Duty Multi-Cylinder Engine. Int. J. Engine Res. 2020, 21, 1426–1440. [Google Scholar] [CrossRef]
- Wang, Y.; Wei, H.; Zhou, L.; Li, Y.; Liang, J. Effect of Injection Strategy on the Combustion and Knock in a Downsized Gasoline Engine with Large Eddy Simulation; SAE Technical Paper 2020-01-0244; SAE International: Warrendale, PA, USA, 2020. [Google Scholar] [CrossRef]
- Zamboni, G. A Study on Combustion Parameters in an Automotive Turbocharged Diesel Engine. Energies 2018, 11, 2531. [Google Scholar] [CrossRef]
- Yeliana, Y.; Cooney, C.; Worm, J.; Michalek, D.J.; Naber, J.D. Estimation of Double-Wiebe Function Parameters Using Least Square Method for Burn Durations of Ethanol-Gasoline Blends in Spark Ignition Engine over Variable Compression Ratios and EGR Levels. Appl. Therm. Eng. 2011, 31, 2213–2220. [Google Scholar] [CrossRef]
- Rassweiler, G.M.; Withrow, L. Motion Pictures of Engine Flames Correlated with Pressure Cards. SaE Trans. 1938, 33, 185–204. [Google Scholar]
- Wang, Q.; Yang, R.; Sun, X.; Liu, Z.; Zhang, Y.; Fu, J.; Li, R. The Engine Combustion Phasing Prediction Based on the Support Vector Regression Method. Processes 2022, 10, 717. [Google Scholar] [CrossRef]
- Beccari, S.; Pipitone, E. A New Simple Function for Combustion and Cyclic Variation Modeling in Supercharged Spark Ignition Engines. Energies 2022, 15, 3796. [Google Scholar] [CrossRef]
- Thakkar, K.; Kachhwaha, S.S.; Kodgire, P.; Srinivasan, S. Combustion Investigation of Ternary Blend Mixture of Biodiesel/n-Butanol/Diesel: CI Engine Performance and Emission Control. Renew. Sustain. Energy Rev. 2021, 137, 110468. [Google Scholar] [CrossRef]
- Serrano, J.R.; Climent, H.; Guardiola, C.; Piqueras, P. Methodology for Characterisation and Simulation of Turbocharged Diesel Engines Combustion during Transient Operation. Part 2: Phenomenological Combustion Simulation. Appl. Therm. Eng. 2009, 29, 150–158. [Google Scholar] [CrossRef]
- Xu, S.; Anderson, D.; Hoffman, M.; Prucka, R.; Filipi, Z. A Phenomenological Combustion Analysis of a Dual-Fuel Natural-Gas Diesel Engine. Proc. Inst. Mech. Eng. Part D J. Automob. Eng. 2017, 231, 66–83. [Google Scholar] [CrossRef]
- Awad, S.; Varuvel, E.G.; Loubar, K.; Tazerout, M. Single Zone Combustion Modeling of Biodiesel from Wastes in Diesel Engine. Fuel 2013, 106, 558–568. [Google Scholar] [CrossRef]
- Tipanluisa, L.; López-Martínez, J.; Casanova, J.; Fonseca, N. Three-Stage Combustion Modeling of a Binary Mixture-Fueled CI CRDI Engine; Vizán Idoipe, A., García Prada, J.C., Eds.; Springer International Publishing: Cham, Switzerland, 2023; ISBN 978-3-031-38562-9. [Google Scholar]
- Kamaltdinov, V.G.; Lysov, I.O.; Nikiforov, S.S. Diesel Engine Operating Cycle Optimization with Simulation of Combustion Process by Double-Wiebe Function. Procedia Eng. 2015, 129, 873–878. [Google Scholar] [CrossRef][Green Version]
- Yang, R.; Ran, Z.; Ristow Hadlich, R.; Assanis, D. A Double-Wiebe Function for Reactivity Controlled Compression Ignition Combustion Using Reformate Diesel. J. Energy Resour. Technol. 2022, 144, 112301. [Google Scholar] [CrossRef]
- Hellström, E.; Stefanopoulou, A.; Jiang, L. A Linear Least-Squares Algorithm for Double-Wiebe Functions Applied to Spark-Assisted Compression Ignition. J. Eng. Gas Turbines Power 2014, 136, 091514. [Google Scholar] [CrossRef]
- Liu, Y. A Method for Real-Time Combustion Metrics Estimation Using Wiebe Model in Diesel Engine. Prim. Sci. Eng. 2024, 4, 28–46. [Google Scholar]
- Zhu, J.; Du, P.; Zhang, G.; Song, H.; Li, B.; Long, W.; Dong, D. Development and Validation of a Modeling and Calibration Method for Diesel-Like Multistage Combustion Based on a Modified Multi-Wiebe Function. ACS Omega 2022, 7, 11756–11769. [Google Scholar] [CrossRef]
- Salvà, E.P.; Gallo, W.L.R. Determination of the Apparent Heat Release for Diesel Engines. In Proceedings of the 22nd International Congress of Mechanical Engineering (COBEM 2013), Ribeirão Preto, Brazil, 3–7 November 2013; pp. 2030–2039. [Google Scholar]
- Maroteaux, F.; Saad, C.; Aubertin, F. Development and Validation of Double and Single Wiebe Function for Multi-Injection Mode Diesel Engine Combustion Modelling for Hardware-in-the-Loop Applications. Energy Convers. Manag. 2015, 105, 630–641. [Google Scholar] [CrossRef]
- Yasar, H.; Soyhan, H.S.; Walmsley, H.; Head, B.; Sorusbay, C. Double-Wiebe Function: An Approach for Single-Zone HCCI Engine Modeling. Appl. Therm. Eng. 2008, 28, 1284–1290. [Google Scholar] [CrossRef]
- Pesic, R.; Davinic, A.; Taranovic, D.; Miloradovic, D.; Petkovic, S. Experimental Determination of Double Vibe Function Parameters in Diesel Engines with Biodiesel. Therm. Sci. 2010, 14, 197–208. [Google Scholar] [CrossRef]
- Lebedevas, S.; Žaglinskis, J.; Drazdauskas, M. Development and Validation of Heat Release Characteristics Identification Method of Diesel Engine under Operating Conditions. J. Mar. Sci. Eng. 2023, 11, 182. [Google Scholar] [CrossRef]
- Tang, Y.; Li, H.; Jiang, Y.; Liang, W.; Zhang, J. The Control-Oriented Heat Release Rate Model for a Marine Dual-Fuel Engine under All the Operating Modes and Loads. J. Mar. Sci. Eng. 2023, 11, 64. [Google Scholar] [CrossRef]
- Alam, S.S.; Rosa, S.W.; Depcik, C.; Preetham Burugupally, S.; McDaniel, E.; Hobeck, J.D. Modification of the Wiebe Function for Methane-Air and Oxy-Methane- Based Spark-Ignition Engines. Fuel 2021, 303, 121218. [Google Scholar] [CrossRef]
- Szwaja, S.; Grab-Rogalinski, K. Hydrogen Combustion in a Compression Ignition Diesel Engine. Int. J. Hydrogen Energy 2009, 34, 4413–4421. [Google Scholar] [CrossRef]
Disclaimer/Publisher’s Note: The statements, opinions and data contained in all publications are solely those of the individual author(s) and contributor(s) and not of MDPI and/or the editor(s). MDPI and/or the editor(s) disclaim responsibility for any injury to people or property resulting from any ideas, methods, instructions or products referred to in the content. |
© 2025 by the authors. Licensee MDPI, Basel, Switzerland. This article is an open access article distributed under the terms and conditions of the Creative Commons Attribution (CC BY) license (https://creativecommons.org/licenses/by/4.0/).










