Lightning Flashover Characteristic and Effective Protection Measures of 10 kV Distribution Line Network
Abstract
1. Introduction
2. Computational Modeling Methods
2.1. Hybrid PEEC-MTL Methods
2.2. Lightning Current and Component Model
3. Method Validation
3.1. The Equipment of the Rocket-Triggered Lightning Experiment
- Soil resistivity: 180–200 Ω·m;
- Pole grounding resistance: 8–26 Ω;
- No shielded wires installed.
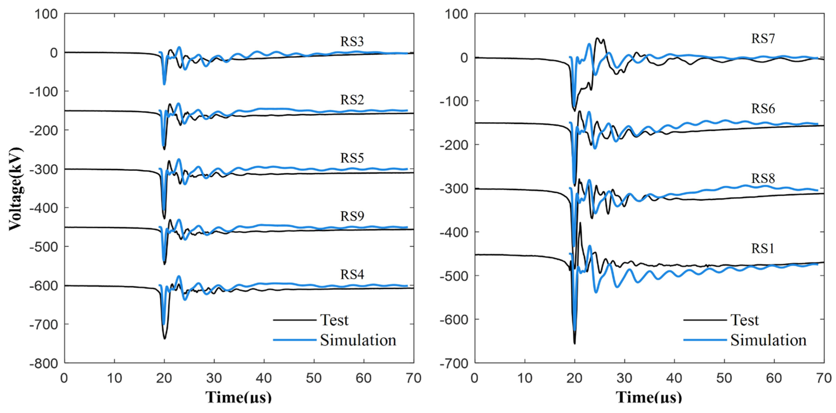
3.2. Experimental and Simulation Waveforms
- First stroke in F1906301713;
- First two strokes in F1906301715;
- The nine strokes from F1906301713 were simulated using the hybrid MTL-PEEC method.
3.2.1. Tested Lightning Current Waveform
- Wavefront time: Duration from 10% to 90% of peak current
- Time-to-half-peak: Interval from 50% pre-peak to 50% post-peak
3.2.2. Hybrid MTL-PEEC Method Verification
4. Distribution Characteristics of Lightning Overvoltage
4.1. Line Configuration and Calculation Conditions
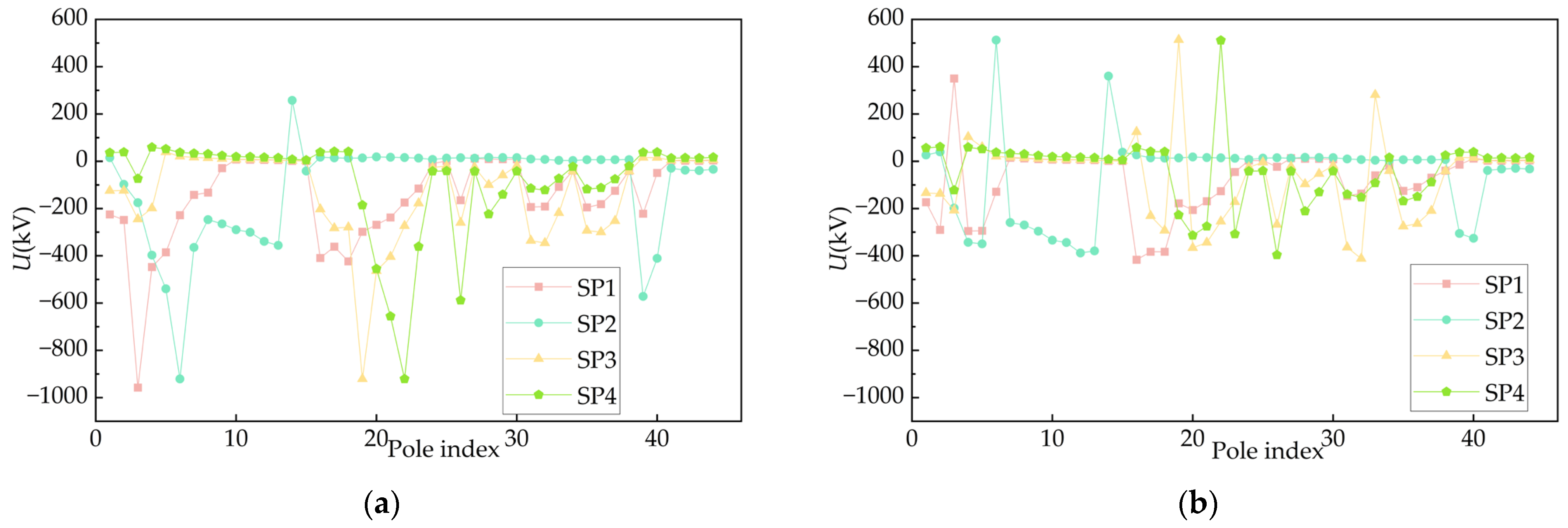
4.2. Overvoltage Analysis of Typical Lightning Strike Points
5. Risk Distribution of Distribution Lines
5.1. Monte Carlo Algorithm and EGM
5.2. Lightning Risk Distribution of Lines Under Typical Working Conditions
5.3. Influence of Grounding Resistance
5.4. Influence of Electrical Conductivity
6. Differential Protection Measures
6.1. Lightning Arrester Configuration
6.2. Comparison of Protective Effects of Different Configurations
7. Conclusions
Author Contributions
Funding
Data Availability Statement
Conflicts of Interest
Abbreviations
| EGM | Electro-geometric Model |
| LEMP | Lightning Electromagnetic Pulse |
| AFO | Annual Flashover Rate |
| PEEC | Partial Element Equivalent Circuit |
| MTL | Multi-conductor Transmission Line |
| MPIE | Mixed Potential Integral Equation |
References
- Takami, J.; Tsuboi, T.; Yamamoto, K.; Okabe, S.; Baba, Y. Lightning surge characteristics on inclined incoming line to substation based on reduced scale model experiment. IEEE Trans. Dielectr. Electr. Insul. 2013, 20, 739–746. [Google Scholar] [CrossRef]
- Miyazaki, T.; Okabe, S.; Aiba, K.; Hirai, T. Observation results of lightning performance in distribution lines. IEEJ Trans. Power Energy 2007, 127, 1293–1298. [Google Scholar] [CrossRef]
- IEEE Std C62.11-2018; IEEE Standard for Metal-Oxide Surge Arresters for AC Power Circuits (>1 kV) (Revision of IEEE Std C62.11-2012). IEEE: Piscataway, NJ, USA, 2018.
- GB/T 11032-2020; Metal-Oxide Surge Arresters without Gaps for A.C. Systems. China Standard Press: Beijing, China, 2020.
- Miyazaki, T.; Okabe, S. Experimental investigation to calculate the lightning outage rate of a distribution system. IEEE Trans. Power Deliv. 2010, 25, 2913–2922. [Google Scholar] [CrossRef]
- Cao, J.; Du, Y.; Ding, Y.; Qi, R.; Li, B.; Chen, M.; Li, Z. Comprehensive Assessment of Lightning Protection Schemes for 10 kV Overhead istribution Lines. IEEE Trans. Power Deliv. 2022, 37, 2326–2336. [Google Scholar] [CrossRef]
- Agrawal, A.K.; Price, H.J.; Gurbaxani, S.H. Transient response of multiconductor transmission lines excited by a nonuniform electromagnetic field. IEEE Trans. Electromagn. Compat. 2007, EMC-29, 119–129. [Google Scholar]
- Stracqualursi, E.; Araneo, R.; Faria, J.B.; Andreotti, A. Application of the transfer matrix approach to direct lightning studies of overhead power lines with underbuilt shield wires—Part I: Theory. IEEE Trans. Power Deliv. 2021, 37, 1226–1233. [Google Scholar] [CrossRef]
- Stracqualursi, E.; Araneo, R.; Faria, J.B.; Andreotti, A. Application of the transfer matrix approach to direct lightning studies of overhead power lines with underbuilt shield wires—Part II: Simulation results. IEEE Trans. Power Deliv. 2021, 37, 1234–1241. [Google Scholar] [CrossRef]
- Yamanaka, A.; Ishimoto, K.; Tatematsu, A. Direct Lightning Surge Analysis of Distribution Lines Considering LEMPs From Lightning Channel and Struck Pole in EMT Simulation. IEEE Trans. Electromagn. Compat. 2023, 65, 1340–1350. [Google Scholar] [CrossRef]
- Brignone, M.; Delfino, F.; Procopio, R.; Rossi, M.; Rachidi, F. Evaluation of power system lightning performance, Part I: Model and numerical solution using the PSCAD-EMTDC platform. IEEE Trans. Electromagn. Compat. 2017, 59, 137–145. [Google Scholar] [CrossRef]
- Yin, K.; Ghomi, M.; Zhang, H.; da Silva, F.F.; Bak, C.L.; Wang, Q.; Skouboe, H. The design and optimization of the down-lead system for a novel 400 kV composite pylon. IEEE Trans. Power Deliv. 2022, 38, 420–431. [Google Scholar] [CrossRef]
- Cao, J.; Du, Y.; Ding, Y.; Li, B.; Qi, R.; Zhang, Y.; Li, Z. Lightning surge analysis of transmission line towers with a hybrid FDTD-PEEC method. IEEE Trans. Power Deliv. 2021, 37, 1275–1284. [Google Scholar] [CrossRef]
- Ishimoto, K.; Tossani, F.; Napolitano, F.; Borghetti, A.; Nucci, C.A. Direct lightning performance of distribution lines with shield wire considering LEMP effect. IEEE Trans. Power Deliv. 2021, 37, 76–84. [Google Scholar] [CrossRef]
- Wang, X.T. Research on Upward Leader Initiation Criterion and Trip Warning Fusion Algorithm for Transmission Lines Under Lightning Strike. Ph.D. Thesis, Chongqing University, Chongqing, China, 2022. [Google Scholar]
- Matsuo, N.M.; Zanetta, L.C. Frequency of occurrence of lightning overvoltages on distribution lines. IEEE Trans. Power Deliv. 1997, 12, 845–852. [Google Scholar]
- Mikropoulos, P.N.; Tsovilis, T.E.; Pori, A.S. Evaluation of lightning attachment and coupling models for the estimation of the lightning performance of overhead distribution lines. In Proceedings of the 2014 International Conference on Lightning Protection (ICLP), Shanghai, China, 11–18 October 2014; pp. 1212–1216. [Google Scholar]
- Lei, T.; Shen, H.; Zhao, X.; Lu, T. A Simple Calculation Method for Lightning Stroke Flashover Rate of 10 kV Distribution Overhead Lines. In Proceedings of the 2022 IEEE 5th International Electrical and Energy Conference (CIEEC), Nanjing, China, 27–29 May 2022; pp. 4394–4397. [Google Scholar]
- Cao, J.; Du, Y.; Ding, Y.; Qi, R.; Li, B.; Chen, M.; Li, Z. Practical schemes on lightning energy suppression in arresters for transformers on 10 kV overhead distribution lines. IEEE Trans. Power Deliv. 2022, 37, 4272–4281. [Google Scholar] [CrossRef]
- Paul, C.R. Analysis of Multiconductor Transmission Lines, 2nd ed.; Wiley-IEEE Press: Hoboken, NJ, USA, 2007. [Google Scholar]
- Yeung, C.; Ding, Y.; Zhou, Q.; Du, Y.; Zhang, S.; Qi, R.; Jia, L. An Accelerated Multi-Time-Scale Solution of Power Systems Under Multiple Lightning Strokes Events. IEEE Trans. Power Deliv. 2025, 40, 1889–1898. [Google Scholar] [CrossRef]
- Ding, Y.; Du, Y.P.; Chen, M. Lightning surge propagation on a grounded vertical conductor. IEEE Trans. Electromagn. Compat. 2017, 60, 276–279. [Google Scholar] [CrossRef]
- Rachidi, F.; Loyka, S.L.; Nucci, C.A.; Ianoz, M. A new expression for the ground transient resistance matrix elements of multi-conductor overhead transmission lines. Electr. Power Syst. Res. 2003, 65, 41–46. [Google Scholar] [CrossRef]
- IEEE Std 1410-2010; IEEE Guide for Improving the Lightning Performance of Electric Power Overhead Distribution Lines. IEEE: Piscataway, NJ, USA, 2010.
- Tossani, F.; Napolitano, F.; Borghetti, A.; Nucci, C.; Piantini, A.; Kim, Y.-S.; Choi, S.-K. Influence of the presence of grounded wires on the lightning performance of a medium-voltage line. Electr. Power Syst. Res. 2021, 196, 107206. [Google Scholar] [CrossRef]
- IEEE Working Group. Modeling of metal oxide surge arresters. IEEE Trans. Power Deliv. 1992, 7, 302–309. [Google Scholar] [CrossRef]
- Martinez, J.A.; Durbak, D.W. Parameter determination for modeling systems transients-Part V: Surge arresters. IEEE Trans. Power Deliv. 2005, 20, 2073–2078. [Google Scholar] [CrossRef]
- Cao, J.; Du, Y.; Ding, Y.; Qi, R.; Chen, M.; Li, Z.; Zhao, X.; Andreotti, A. Lightning protection with a differentiated configuration of arresters in a distribution network. IEEE Trans. Power Deliv. 2022, 38, 409–419. [Google Scholar] [CrossRef]
- Darveniza, M. The generalized integration method for predicting impulse volt-time characteristics for non-standard wave shapes-a theoretical basis. IEEE Trans. Electr. Insul. 1988, 23, 373–381. [Google Scholar] [CrossRef]
- Wang, J.; Wang, S.; Cai, L.; Lu, D.; Li, Q.; Zhou, M.; Fan, Y. Observation of Induced Voltage at the Terminal of 10 kV Distribution Line by Nearby Triggered Lightning. IEEE Trans. Power Deliv. 2020, 35, 1968–1976. [Google Scholar] [CrossRef]
- Cao, J.; Wang, J.; Du, Y.; Andreotti, A.; Ding, Y.; Cai, L.; Fan, Y.; Zhou, M. Performance of Annual Flashover Rate at Individual Poles in a Distribution Network Due to Indirect Lightning. In Proceedings of the International Symposium on Insulation and Discharge Computation for Power Equipment, Wuhan, China, 27–28 May 2023; Springer Nature: Singapore, 2023; pp. 515–524. [Google Scholar]















| Event | Return Stroke | Lightning Current Amplitude (kA) | Front Time (μs) | Time-to-Half-Peak (μs) | Adjacent Return Time Interval (ms) |
|---|---|---|---|---|---|
| F1906301713 | RS1 | 35.63 | 0.59 | 26.14 | \ |
| RS2 | 12.47 | 0.63 | 8.96 | 3.31 | |
| RS3 | 10.77 | 0.59 | 2.77 | 24.89 | |
| RS4 | 13.60 | 0.54 | 2.49 | 21.19 | |
| RS5 | 12.43 | 0.52 | 2.66 | 9.93 | |
| RS6 | 20.40 | 0.46 | 7.38 | 15.78 | |
| RS7 | 15.00 | 0.52 | 2.32 | 20.55 | |
| RS8 | 26.77 | 0.49 | 9.34 | 100.85 | |
| RS9 | 12.93 | 0.48 | 0.99 | 91.75 | |
| F1906301715 | RS1 | 14.97 | 0.47 | 1.16 | \ |
| RS2 | 9.57 | 0.52 | 0.91 | 43.27 | |
| RS3 | 22.90 | 0.46 | 18.92 | 6.41 | |
| RS4 | 23.80 | 0.42 | 3.70 | 85.43 | |
| RS5 | 18.50 | 0.47 | 1.24 | 75.69 |
| Parameter | RS1 | RS2 | RS3 | |||
| Test | MTL- PEEC | Test | MTL- PEEC | Test | MTL- PEEC | |
| Amplitude/kV | 206.33 | 174.61 | 82.48 | 82.56 | 96.58 | 85.81 |
| T10/90/μs | 1.7100 | 0.3273 | 1.1553 | 0.3268 | 0.8872 | 0.3135 |
| T50/50/μs | 0.9915 | 4.6462 | 0.7982 | 4.6529 | 0.8417 | 0.5258 |
| Parameter | RS4 | RS5 | RS6 | |||
| Test | MTL- PEEC | Test | MTL- PEEC | Test | MTL- PEEC | |
| Amplitude/kV | 128.89 | 105.23 | 100.65 | 90.00 | 145.03 | 138.33 |
| T10/90/μs | 1.0157 | 0.3178 | 0.9535 | 0.3119 | 1.1708 | 0.3066 |
| T50/50/μs | 0.8953 | 0.4985 | 0.8346 | 0.4848 | 0.8920 | 0.4880 |
| Parameter | RS7 | RS8 | RS9 | |||
| Test | MTL- PEEC | Test | MTL- PEEC | Test | MTL- PEEC | |
| Amplitude/kV | 137.83 | 100.57 | 184.79 | 133.09 | 123.73 | 112.04 |
| T10/90/μs | 1.1528 | 0.3196 | 1.6885 | 0.3138 | 1.9719 | 0.3113 |
| T50/50/μs | 1.3956 | 0.5114 | 1.0087 | 0.5324 | 4.2261 | 0.5072 |
| Lightning Strike Points | Phase Wire | Pole |
|---|---|---|
| SP1 | 7 | 7 |
| SP2 | 6 | 11 |
| SP3 | 5 | 4 |
| SP4 | 4 | 5 |
| Parameters/x | M | β |
|---|---|---|
| lightning current magnitude/kA | 31.1 | 0.484 |
| front waveform time/μs | 3.83 | 0.553 |
| Half-peak time/μs | 77.5 | 0.577 |
| Configuration Scheme to Install | SAs’ Position | The Number of SAs |
|---|---|---|
| 1 | 3, 18 | 2 |
| 2 | 2, 6, 18, 19 | 4 |
| 3 | 3, 6, 18, 19 | 4 |
| 4 | 2, 3, 4, 6, 17, 18, 19 | 7 |
Disclaimer/Publisher’s Note: The statements, opinions and data contained in all publications are solely those of the individual author(s) and contributor(s) and not of MDPI and/or the editor(s). MDPI and/or the editor(s) disclaim responsibility for any injury to people or property resulting from any ideas, methods, instructions or products referred to in the content. |
© 2025 by the authors. Licensee MDPI, Basel, Switzerland. This article is an open access article distributed under the terms and conditions of the Creative Commons Attribution (CC BY) license (https://creativecommons.org/licenses/by/4.0/).
Share and Cite
Zhang, S.; Xiao, X.; Jia, L.; Chen, H.; Qu, L.; Yeung, C.; Ding, Y.; Du, Y. Lightning Flashover Characteristic and Effective Protection Measures of 10 kV Distribution Line Network. Energies 2025, 18, 5097. https://doi.org/10.3390/en18195097
Zhang S, Xiao X, Jia L, Chen H, Qu L, Yeung C, Ding Y, Du Y. Lightning Flashover Characteristic and Effective Protection Measures of 10 kV Distribution Line Network. Energies. 2025; 18(19):5097. https://doi.org/10.3390/en18195097
Chicago/Turabian StyleZhang, Song, Xiaobin Xiao, Lei Jia, Huaifei Chen, Lu Qu, Chakhung Yeung, Yuxuan Ding, and Yaping Du. 2025. "Lightning Flashover Characteristic and Effective Protection Measures of 10 kV Distribution Line Network" Energies 18, no. 19: 5097. https://doi.org/10.3390/en18195097
APA StyleZhang, S., Xiao, X., Jia, L., Chen, H., Qu, L., Yeung, C., Ding, Y., & Du, Y. (2025). Lightning Flashover Characteristic and Effective Protection Measures of 10 kV Distribution Line Network. Energies, 18(19), 5097. https://doi.org/10.3390/en18195097

