Optimal Sizing and Techno-Economic Evaluation of a Utility-Scale Wind–Solar–Battery Hybrid Plant Considering Weather Uncertainties, as Well as Policy and Economic Incentives, Using Multi-Objective Optimization
Abstract
1. Introduction
| References | Method Used | Objectives | Policy Support | Key Limitations |
|---|---|---|---|---|
| [8] | Genetic algorithm (GA) | Physical design and layout | None | No technical–financial integration |
| [11] | MILP optimization | Maximize NPV | None | Lacks multi-objective handling and dynamic financial modeling |
| [12] | MILP with Genetic algorithm | Optimal sizing, efficiency, and economic viability | Feed-in Tariff | Limited trade-off analysis; static parameter assumptions |
| [13] | Multilevel regression model | Optimal size, Max NPV | None | Fixed financial parameters; lacks market adaptability |
| [14] | MOPSO | Minimize average service cost and LPSP | None | No investment metrics (NPV, ROI) |
| [15] | HyDesign (two-tiered approach) | Minimize COE, maximize NPV | None | Excludes reliability metrics (LPSP, capacity credit); ignores forecasting uncertainty |
| [17] | Genetic algorithm, Iterative algorithm | Grid stability | None | No financial metrics included |
| [19] | MILP | Max NPV, min curtailment and battery degradation | Assumption FIT | Lacks detailed inclusion of economic and policy metrics |
| [20] | - | Exploration of complementary, renewable generation profiles | Network access charge (incentives) | No detailed analysis |
| [21] | Multi-objective | Max NPV, min LCOE | None | No technical integration |
| [22] | HOPP | Max NPV | PPA | No detailed analysis |
| [23] | Monte Carlo Simulation | Sizing and loss of load expectation | None | Lacks financial integration and full technical analysis |
| [24] | HOPP (hybrid optimizer) | Spatial-constrained hybrid sizing (e.g., Power-to-X systems) | None | Lacks integrated financial-reliability trade-offs |
| [25] | HOMER Pro and REopt (commercial tools) | Evaluate NPV, NPC, LCOE, Payback | None | Single-objective, deterministic, limited to fixed profiles |
| [26] | NSGA-II, CCP | Minimize system cost, reliability | None | No detailed analysis |
- Development of an integrated, probabilistic, Multi-Objective Particle Swarm Optimization (MOPSO) framework that simultaneously optimizes economic performance, reliability (LPSP), and curtailment.
- Clear inclusion of changing policy tools, like tax credits and power purchase agreements, as internal limits in the optimization process.
- Cross-validation of the proposed MOPSO results with a Multi-Objective Genetic Algorithm (MOGA) to demonstrate solution robustness.
2. Methodology
2.1. System Description
2.2. Hybrid Power Plant Components Model
2.2.1. Wind Turbine Model
2.2.2. Solar Photovoltaic Model
2.2.3. Battery Storage System
2.3. Wind and Solar Uncertainties
2.3.1. Wind Speed Uncertainties
2.3.2. Solar Irradiance Uncertainties
2.4. Energy Management System
2.5. Optimization Problem Formulation
2.5.1. Objective Function
2.5.2. Constraints
2.6. Performance Metrics and Indicators
2.6.1. Loss of Power Supply Probability
2.6.2. Net Present Value
2.6.3. Curtailment
2.7. Solution Method
2.7.1. Multi-Objective Particle Swarm Optimization
2.7.2. Advantages and Novelty of the Proposed MOPSO Algorithm
3. Case Study
3.1. Assessment of the Study Area
3.2. Assumptions and Parameters
3.2.1. Assumptions
- In line with this study’s objectives, the authors have explicitly focused on reviewing and incorporating optimization approaches relevant to utility-scale HPPs only. Other small-scale or microgrid-focused optimization literature has not been considered, as it falls outside the defined scope and scale of the presented system.
- The study employed aggregated modeling approaches to represent utility-scale WPPs, SPPs, and BESS with hundreds of wind turbines, thousands of solar panels, and hundreds of battery packs, effectively reducing computational effort and system complexity.
- Performance degradation of solar panels, wind turbines, and batteries over time is not considered, implying consistent energy output throughout the system lifetime.
- Costs related to land leasing, insurance, and taxation are excluded from the financial model to maintain simplicity.
- The SPP power calculation estimated temperature-induced losses using a linear model with respect to ambient temperature and irradiance. Shadowing losses are not explicitly modeled in the PV output calculation. The simulation assumes full-sky exposure with no obstruction or shading.
- Inverter and DC-DC converter efficiencies are fixed at 96%.
- Annual degradation is modeled as a 0.5% linear loss in usable battery capacity.
- The battery and inverter are assumed to respond instantaneously to charge/discharge decisions.
- The simulation considers real-time knowledge of load/generation without forecast errors, dispatch errors, or control delays.
- Wake effects, grid import, reactive power dynamics, auxiliary system losses, and ancillary services are not included to preserve model simplicity and computational tractability.
- The study incorporates sensitivity analysis based on widely implemented policy instruments, including PPAs, investment subsidies, tax credits, and interest rates. Additional mechanisms such as carbon trading schemes, renewable energy certificates, net metering, and performance-based incentives are not considered to maintain a generalized and policy-agnostic modeling framework.
3.2.2. Parameters
4. Result and Discussion
4.1. Optimal Solution
4.2. Energy Dispatch Behavior
4.3. Economic Assessment of the HPP
4.4. Comparative Analysis with Other Algorithms
4.5. Sensitivity Analysis
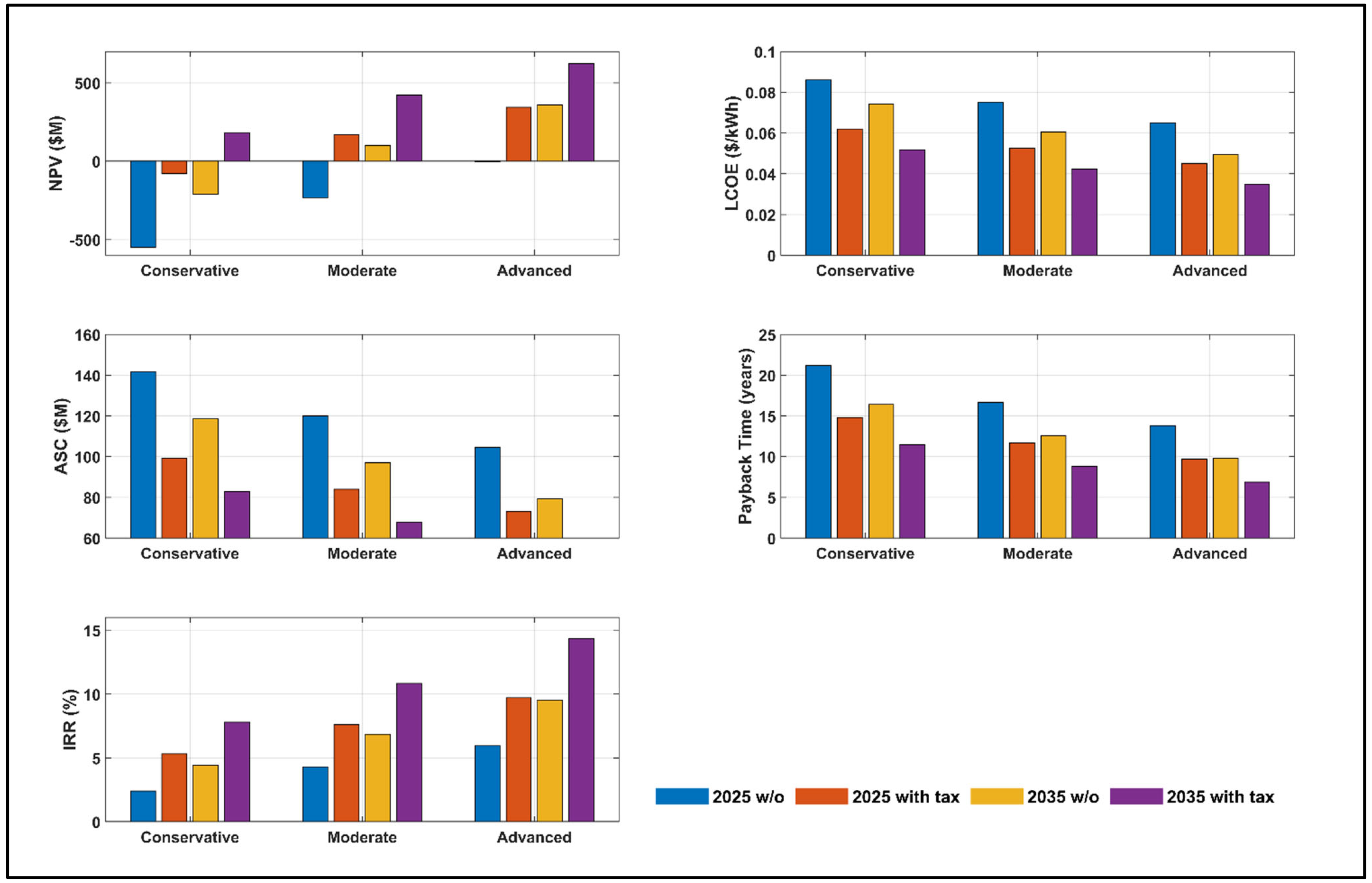
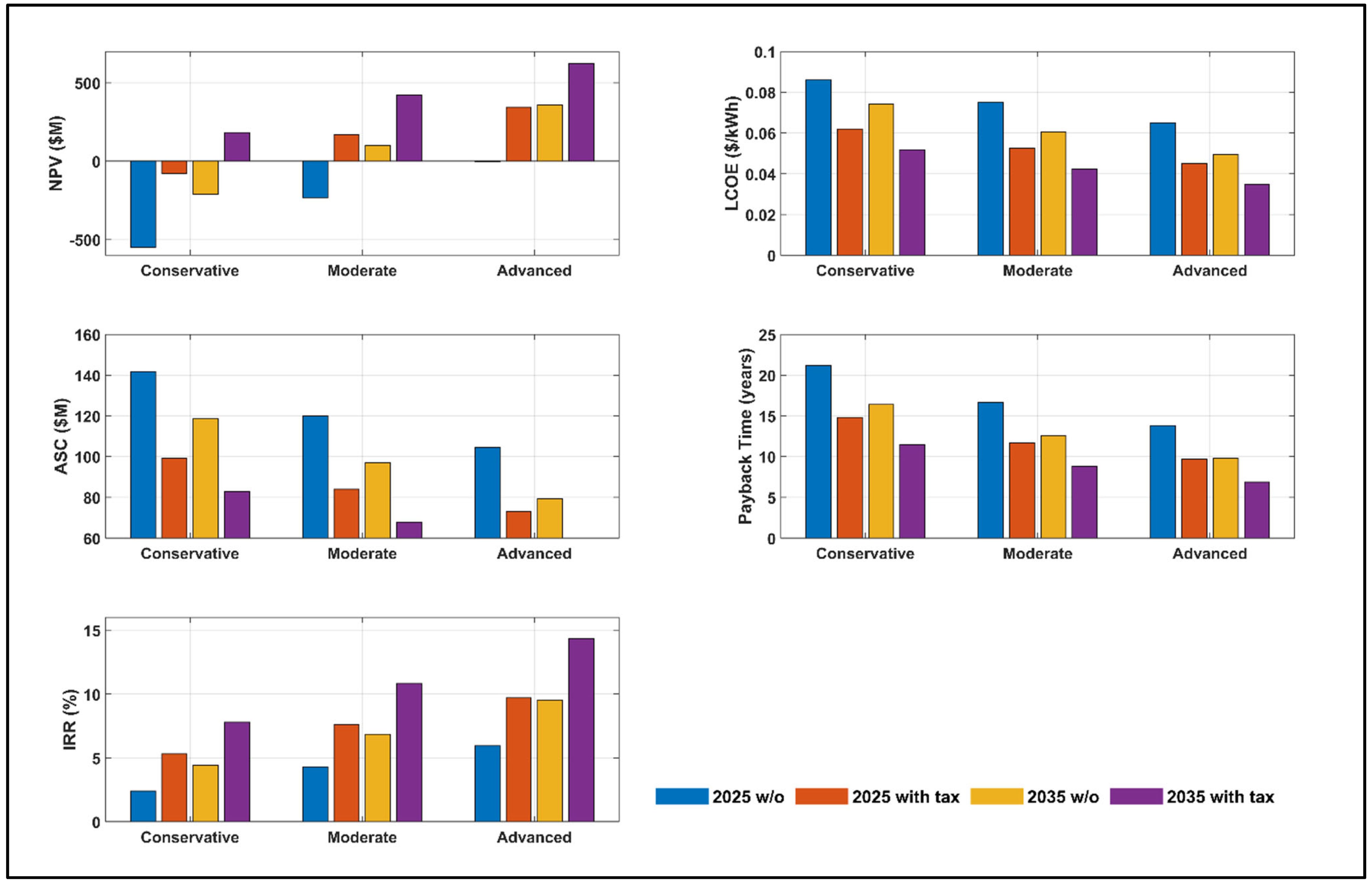
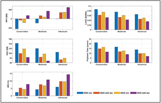
4.5.1. Economic Parameters with Tax Credit
- A.
- Power Purchase Agreement Sensitivity
- B.
- Discounted Interest Rate
- C.
- Cost Projection Scenario Analysis
4.5.2. Technical Parameter
- A.
- Constant Grid Demand Scenario
- B.
- Wind Resource Quality
- C.
- BESS C-Rate
- D.
- BESS SOC
- E.
- Grid Import
- F.
- Comparative System Performance Analysis
4.5.3. Policy Analysis
- A.
- Regional Policy Analysis
- B.
- Uncertainty policy
4.6. Comparison with Previous Studies
5. Conclusions and Recommendation
5.1. Conclusions
- The tri-objective MOPSO approach yields a high-performing configuration (284 MW WPP, 20 MW SPP, 500 MWh BESS) with competitive economics ($165.2 million NPV), reliability (8.26% LPSP), and operational efficiency (3.79% curtailment), validating the need for a holistic design.
- The system maintained an LCOE of $0.065/kWh, an IRR of 10.24%, and a payback period of 9.24 years, demonstrating strong financial viability.
- Enabling grid imports significantly enhance reliability (LPSP: 1.89%) but require trade-offs in NPV ($123 million), which emphasizes the value of a market-aware design.
- Wind quality significantly influences system viability, as excellent sites (11.6 m/s) achieve 54.6% capacity factors and a 39% lower LCOE compared to moderate sites.
- Tax credits reduce LCOE by 30% and enable feasibility at low PPAs, underscoring their role in bridging cost gaps.
- Maximizing NPV resulted in a slight reduction in battery sizing and moderate curtailments (3–4%), prioritizing cost savings over absolute reliability.
- Minimizing LPSP necessitated a larger battery size and increased grid imports, enhancing system resilience while slightly decreasing profitability.
- Minimizing curtailment drove a configuration featuring enhanced battery discharge capacity and a larger wind plant size, improving utilization, albeit at a higher initial capital cost and a slightly extended payback period.
5.2. Recommendation
Author Contributions
Funding
Data Availability Statement
Acknowledgments
Conflicts of Interest
Correction Statement
Abbreviations
| AC | Alternate current |
| ASC | Annualized system cost |
| ATB | Annual technology baseline |
| CAPEX | Capital expenditure |
| CDF | Cumulative density function |
| DC | Direct current |
| DOD | Depth of discharge |
| HOMER | Hybrid optimization of multiple energy resources |
| HOPP | Hybrid optimization and performance platform |
| HPP | Hybrid power plant |
| IRR | Internal rate of return |
| LCOE | Levelized cost of energy |
| LPSP | Loss of power supply probability |
| MCS | Monte Carlo simulation |
| MILP | Mixed-integer linear programming |
| MOGA | Multi-objective genetic algorithm |
| MOPSO | Multi-objective particle swarm optimization |
| NPC | Net present cost |
| NPV | Net present value |
| NREL | National Renewable Energy Laboratory |
| NSGA | Non-dominated sorting genetic algorithm |
| Probability density function | |
| PPA | Power purchase agreement |
| REopt | Renewable energy integration and optimization |
| ROI | Return on investment |
| RSOC | Reversible solid-oxide cells |
| SOC | State of charge |
| SPP | Solar power plant |
| VRE | Variable renewable energy |
| WPP | Wind power plant |
Appendix A
| Feature | Lithium–Ion Battery [47,48] | Supercapacitor [47,48] | Reversible Solid-Oxide Cell (RSOC) [47,48,49,50] |
|---|---|---|---|
| Energy Storage Mechanism | Electrochemical storage via ion intercalation | Electrostatic storage between electrodes | Electrochemical storage and conversion; operates reversibly as an electrolyzer and a fuel cell |
| Energy Density (Wh/kg) | High (80–200 Wh/kg) | Very low (~5 Wh/kg) | High (200–500 Wh/kg) |
| Power Density (W/kg) | Moderate to high | Very high (up to 10,000 W/kg) | Moderate |
| Efficiency (%) | 85–97% | ~90% | High (60–80% for each mode) |
| Response Time | Fast (<1 ms) | Instantaneous (µs–ms) | Moderate (minutes to hours) |
| Cycle Life | 1000–10,000 cycles | Very high (>500,000 cycles) | Moderate (~10,000 cycles) |
| Self-Discharge Rate | Low (~0.1%/day) | High (~40%/day) | Very low |
| Operating Temperature | –20 °C to 60 °C | Wide (–40 °C to 70 °C) | High (600–1000 °C) |
| Capital Cost ($/kWh) | $900–1300 | $1000–2500 | High (~$1000–2000) |
| Maintenance Requirements | Low | Low | High (due to high temp operation) |
| Advantages | High energy density, mature, scalable | Extremely fast response, high power density | Dual-mode (H2 production and power), high round-trip efficiency |
| Disadvantages | Potential thermal runaway, recycling challenges | Very low energy storage capacity, high self-discharge, costly for bulk storage | High operating temperature, complex system, high capital cost |
| Typical Applications | Grid-scale energy storage, EVs, renewables | Short-term voltage smoothing, power bursts, regenerative braking | Long-duration seasonal storage, power-to-gas-to-power integration |
| Policy Metrics | Values | References |
|---|---|---|
| India | ||
| Interest rate (%) | 11 | [51,52] |
| Interest rate subsidy (%) | Max 3 | [51] |
| Accelerated depreciation (%) | 40 | [51] |
| Auction PPA/FIT ($/kWh) | 0.0487 | [52] |
| Viability gap funding (Varies with state) | 30% | [52] |
| Generation-based incentives ($/kWh) | 0.008 | [51] |
| USA | ||
| PTC ($/kWh) * | 0.026 | [53] |
| ITC (%) * | 30 | [53] |
| PPA ($/kWh) | 0.065 | [22] |
References
- International Renewable Energy Agency. World Energy Transitions Outlook 2024: 1.5 °C Pathway; International Renewable Energy Agency: Abu Dhabi, United Arab Emirates, 2024. [Google Scholar]
- National Renewable Energy Laboratory. Annual Technology Baseline. 2024. Available online: https://atb.nrel.gov/electricity/2024/technologies (accessed on 11 February 2025).
- Lindberg, O.; Arnqvist, J.; Munkhammar, J.; Lingfors, D. Review on Power-Production Modeling of Hybrid Wind and PV Power Parks. J. Renew. Sustain. Energy 2021, 13, 043301. [Google Scholar] [CrossRef]
- Das, K.; Hansen, A.D.; Leon, J.P.M.; Zhu, R.; Gupta, M.; Pérez-Rúa, J.; Long, Q.; Pombo, D.V.; Barlas, A.; Gocmen, T.; et al. Research Challenges and Opportunities of Utility-Scale Hybrid Power Plants. Wiley Interdiscip. Rev. Energy Environ. 2025, 14, e70001. [Google Scholar] [CrossRef]
- Wang, Y.; Ji, H.; Luo, R.; Liu, B.; Wu, Y. Energy Optimization Strategy for Wind–Solar–Storage Systems with a Storage Battery Configuration. Mathematics 2025, 13, 1755. [Google Scholar] [CrossRef]
- Bade, S.O.; Tomomewo, O.; Meenakshisundaram, A. Utility-Scale Wind-Based Hybrid Power Plants and Control Strategy. Sustain. Energy 2023, 11, 12–20. [Google Scholar] [CrossRef]
- Dykes, K.; King, J.; DiOrio, N.; King, R.; Gevorgian, V.; Corbus, D.; Blair, N.; Anderson, K.; Stark, G.; Turchi, C.; et al. Opportunities for Research and Development of Hybrid Power Plants. National Renewable Energy Laboratory 2020; NREL/TP-5000-75026. Available online: https://www.nrel.gov/docs/fy20osti/75026.pdf (accessed on 14 April 2025).
- Stanley, A.P.; King, J. Optimizing the Physical Design and Layout of a Resilient Wind, Solar, and Storage Hybrid Power Plant. Appl. Energy 2022, 317, 119139. [Google Scholar] [CrossRef]
- Tripp, C.; Guittet, D.; King, J.; Barker, A. A Simplified, Efficient Approach to Hybrid Wind and Solar Plant Site Optimization. Wind Energy Sci. 2022, 7, 697–713. [Google Scholar] [CrossRef]
- Bade, S.O.; Meenakshisundaram, A.; Tomomewo, O.S. Current Status, Sizing Methodologies, Optimization Techniques, and Energy Management and Control Strategies for Co-Located Utility-Scale Wind–Solar-Based Hybrid Power Plants: A Review. Eng 2024, 5, 677–719. [Google Scholar] [CrossRef]
- Das, K.; Cossu, A.; Sørensen, P.E.; Murcia Leon, J.P. Component Sizing of a Utility-Scale Hybrid Power Plant. In Proceedings of the 6th International Hybrid Power Systems Workshop, Madeira, Portugal, 26–27 April 2022. [Google Scholar]
- Silva, A.R.; Estanqueiro, A. From Wind to Hybrid: A Contribution to the Optimal Design of Utility-Scale Hybrid Power Plants. Energies 2022, 15, 2560. [Google Scholar] [CrossRef]
- González-Ramírez, J.M.; Arcos-Vargas, Á.; Núñez, F. Optimal Sizing of Hybrid Wind-Photovoltaic Plants: A Factorial Analysis. Sustain. Energy Technol. Assess. 2023, 57, 103155. [Google Scholar] [CrossRef]
- Duchaud, J.; Notton, G.; Darras, C.; Voyant, C. Multi-Objective Particle Swarm Optimal Sizing of a Renewable Hybrid Power Plant with Storage. Renew. Energy 2018, 131, 1156–1167. [Google Scholar] [CrossRef]
- Koivisto, M.; Das, K.; Guo, F.; Sørensen, P.; Nuño, E.; Cutululis, N.; Maule, P. Using Time Series Simulation Tools for Assessing the Effects of Variable Renewable Energy Generation on Power and Energy Systems. Wiley Interdiscip. Rev. Energy Environ. 2019, 8, e329. [Google Scholar] [CrossRef]
- Leon, J.P.M.; Habbou, H.; Friis-Møller, M.; Gupta, M.; Zhu, R.; Das, K. HyDesign: A Tool for Sizing Optimization of Grid-Connected Hybrid Power Plants Including Wind, Solar Photovoltaic, and Lithium-Ion Batteries. Wind Energy Sci. 2024, 9, 759–776. [Google Scholar] [CrossRef]
- Al-Shereiqi, A.; Al-Hinai, A.; Albadi, M.; Al-Abri, R. Optimal Sizing of Hybrid Wind–Solar Power Systems to Suppress Output Fluctuation. Energies 2021, 14, 5377. [Google Scholar] [CrossRef]
- Arrinda, J.; Barrena, J.A.; Rodriguez, M.A.; Guerrero, A. Analysis of Massive Integration of Renewable Power Plants under New Regulatory Frameworks. In Proceedings of the 2014 International Conference on Renewable Energy Research and Application (ICRERA), Milwaukee, WI, USA, 19–22 October 2014; pp. 462–467. [Google Scholar] [CrossRef]
- Grimaldi, A.; Minuto, F.D.; Perol, A.; Casagrande, S.; Lanzini, A. Techno-Economic Optimization of Utility-Scale Battery Storage Integration with a Wind Farm for Wholesale Energy Arbitrage Considering Wind Curtailment and Battery Degradation. J. Energy Storage 2025, 112, 115500. [Google Scholar] [CrossRef]
- Street, A.; Prescott, P. On the Regulatory and Economic Incentives for Renewable Hybrid Power Plants in Brazil. Energy Econ. 2024, 140, 107989. [Google Scholar] [CrossRef]
- Rocha, L.C.S.; Junior Rotella, P.; Aquila, G.; Maheri, A. Multiobjective Optimization of Hybrid Wind-Photovoltaic Plants with Battery Energy Storage System: Current Situation and Possible Regulatory Changes. J. Energy Storage 2022, 51, 104467. [Google Scholar] [CrossRef]
- Gorman, W.; Rand, J.; Manderlink, N.; Cheyette, A.; Bolinger, M.; Seel, J.; Jeong, S.; Wiser, R. Hybrid Power Plants: Status of Operating and Proposed Plants, 2024 ed.; U.S. Department of Energy, Office of Scientific and Technical Information (OSTI): Oak Ridge, TN, USA, 2024. Available online: https://www.osti.gov/biblio/2440851 (accessed on 15 April 2025).
- Grant, E.; Clark, C.E. Hybrid Power Plants: An Effective Way of Decreasing Loss-of-Load Expectation. Energy 2024, 307, 132245. [Google Scholar] [CrossRef]
- Guittet, D.; Stanley, P.J.; Hamilton, B.; King, J.; Barker, A. HOPP—Hybrid Optimization and Performance Platform; National Renewable Energy Laboratory: Golden, CO, USA, 2022. [Google Scholar]
- Giuffrida, J.; Cruz, M.; Martinez-Gomez, E.; Ludtke, S.; Li, H. Economic Feasibility Analysis of Developing Large-Scale Hybrid Solar-Wind Energy Plants on Farms and Ranches in South Texas. In Proceedings of the ASME 2023 17th International Conference on Energy Sustainability, Washington, DC, USA, 10–12 July 2023; ASME: New York, NY, USA, 2023; Volume V001T01A001. [Google Scholar] [CrossRef]
- Kamjoo, A.; Maheri, A.; Dizqah, A.M.; Putrus, G.A. Multi-Objective Design under Uncertainties of Hybrid Renewable Energy System Using NSGA-II and Chance Constrained Programming. Int. J. Electr. Power Energy Syst. 2015, 74, 187–194. [Google Scholar] [CrossRef]
- Sadeghibakhtiar, E.; Naeimi, A.; Naderi, S.; Pignatta, G.; Behbahaninia, A. Size Optimization of a Stand-Alone Solar-Wind-Battery Hybrid System for Net Zero Energy Buildings: A Case Study. Energy Build. 2024, 313, 114204. [Google Scholar] [CrossRef]
- Bade, S.O.; Tomomewo, O.S. Optimizing a Hybrid Wind-Solar-Biomass System with Battery and Hydrogen Storage Using Genetic Algorithm-Particle Swarm Optimization for Performance Assessment. Clean. Energy Syst. 2024, 9, 100157. [Google Scholar] [CrossRef]
- Shams, S.A.; Ahmadi, R. Dynamic Optimization of Solar-Wind Hybrid System Connected to Electrical Battery or Hydrogen as an Energy Storage System. Int. J. Energy Res. 2021, 45, 10630–10654. [Google Scholar] [CrossRef]
- Bade, S.; Tomomewo, O.; Meenakshisundaram, A.; Dey, M.; Alamooti, M.; Halwany, N. Multi-Criteria Optimization of a Hybrid Renewable Energy System Using Particle Swarm Optimization for Optimal Sizing and Performance Evaluation. Clean Technol. 2025, 7, 23. [Google Scholar] [CrossRef]
- Megantoro, P.; Al-Humairi, S.N.S.; Ma’arif, A.; Nugraha, Y.U.; Prastio, R.P.; Awalin, L.J.; Syahbani, M.A.; Mareai, M. Modeling the Uncertainties and Active Power Generation of Wind-Solar Energy with Data Acquisition from Telemetry Weather Measurement. Results Eng. 2025, 25, 104392. [Google Scholar] [CrossRef]
- Ross, S.A.; Westerfield, R.W.; Jaffe, J.; Lamb, R. Administração Financeira; AMGH Editora: Porto Alegre, Brazil, 2015. [Google Scholar]
- Kennedy, J.; Eberhart, R. Particle Swarm Optimization. In Proceedings of the ICNN’95—International Conference on Neural Networks, Perth, Australia, 27 November–1 December 1995; Volume 4, pp. 1942–1948. [Google Scholar] [CrossRef]
- Coello, C.A.C.; Pulido, G.T.; Lechuga, M.S. Handling Multiple Objectives with Particle Swarm Optimization. IEEE Trans. Evol. Comput. 2004, 8, 256–279. [Google Scholar] [CrossRef]
- Han, H.; Zhang, L.; Ying, A.; Qiao, J. Adaptive Multiple Selection Strategy for Multi-Objective Particle Swarm Optimization. Inf. Sci. 2023, 624, 235–251. [Google Scholar] [CrossRef]
- Parsopoulos, K.E.; Vrahatis, M.N. Multi-Objective Particle Swarm Optimization Approaches. In Proceedings of the 2008 IEEE Congress on Evolutionary Computation (IEEE World Congress on Computational Intelligence), Hong Kong, China, 1–6 June 2008; pp. 1–8. [Google Scholar]
- NASA Prediction of Worldwide Energy Resources. Available online: https://power.larc.nasa.gov/data-access-viewer/ (accessed on 4 February 2025).
- Center for New Energy Economy. State Brief: Oregon; Center for New Energy Economy: Fort Collins, CO, USA, 2024. [Google Scholar]
- Oregon Explorer. Renewable Energy Siting Assessment. Available online: https://tools.oregonexplorer.info/OE_HtmlViewer/index.html?viewer=renewable&efsc=Wheatridge%20Renewable%20Energy%20Facility%20East (accessed on 4 February 2025).
- U.S. Energy Efficiency; Renewable Energy. WINDExchange. 2022. Available online: https://windexchange.energy.gov/states/or (accessed on 4 February 2025).
- Global Solar Atlas. Available online: https://globalsolaratlas.info/detail?c=45.560004,-119.634,11&s=45.560004,-119.634&m=site (accessed on 4 February 2025).
- U.S. Energy Information Adminstration. Hourly Electric Grid Monitor. 2025. Available online: https://www.eia.gov/electricity/gridmonitor/dashboard/electric_overview/US48/US48 (accessed on 3 March 2025).
- Wiser, R.; Bolinger, M. Land-Based Wind Market Report: 2023 Edition (Technical Market Report); U.S. Department of Energy: Washington, DC, USA, 2023. Available online: https://www.energy.gov/eere/wind/articles/land-based-wind-market-report-2023-edition (accessed on 4 February 2025).
- Cole, W.; Karmakar, A. Cost Projections for Utility-Scale Battery Storage: 2023 Update (NREL/TP-6A20-85332); National Renewable Energy Laboratory: Golden, CO, USA, 2023. Available online: https://www.nrel.gov/docs/fy23osti/85332.pdf (accessed on 4 February 2025).
- Ramasamy, V.; Zuboy, J.; Woodhouse, M.; O’Shaughnessy, E.; Feldman, D.; Desai, J.; Walker, A.; Margolis, R.; Basore, P.U.S. Solar Photovoltaic System and Energy Storage Cost Benchmarks, with Minimum Sustainable Price Analysis: Q1 2023 (NREL/TP-6A20-87303); National Renewable Energy Laboratory: Golden, CO, USA, 2023. Available online: https://www.nrel.gov/docs/fy23osti/87303.pdf (accessed on 4 February 2025).
- LevelTen Energy. PPA Price Index Executive Summary, North America; LevelTen Energy: Seattle, WA, USA, 2024. [Google Scholar]
- Mahadevan, V.; S Raja, S.; Rusho, M.A.; Yishak, S. Critical Review of Energy Storage Systems: A Comparative Assessment of Mechanisms, Advantages, Challenges, and Integration with Renewable Energy. Results Eng. 2025, 26, 105589. [Google Scholar] [CrossRef]
- Rana, M.M.; Uddin, M.; Sarkar, M.R.; Meraj, S.T.; Shafiullah, G.; Muyeen, S.; Islam, M.A.; Jamal, T. Applications of Energy Storage Systems in Power Grids with and without Renewable Energy Integration—A Comprehensive Review. J. Energy Storage 2023, 68, 107811. [Google Scholar] [CrossRef]
- Lamagna, M.; Nastasi, B.; Groppi, D.; Rozain, C.; Manfren, M.; Garcia, D.A. Techno-Economic Assessment of Reversible Solid Oxide Cell Integration to Renewable Energy Systems at Building and District Scale. Energy Convers. Manag. 2021, 235, 113993. [Google Scholar] [CrossRef]
- Lamagna, M.; Groppi, D.; Nastasi, B. Reversible Solid Oxide Cells Applications to the Building Sector. Int. J. Hydrogen Energy 2023, 48, 27033–27058. [Google Scholar] [CrossRef]
- Das, A.; Jani, H.K.; Nagababu, G.; Kachhwaha, S.S. A Comprehensive Review of Wind–Solar Hybrid Energy Policies in India: Barriers and Recommendations. Renew. Energy Focus 2020, 35, 108–121. [Google Scholar] [CrossRef]
- Gulia, J.; Garg, V. Wind-Solar Hybrid: India’s Next Wave of Renewable Energy Growth—An Analysis of Tariff Trends, Policy and Regulation, and Challenges in a New Market; Institute for Energy Economics and Financial Analysis: Valley City, OH, USA, 2020. [Google Scholar]
- Levin, A.; Ennis, J. Clean Electricity Tax Credits in the Inflation Reduction Act Will Reduce Emissions, Grow Jobs, and Lower Bills; Natural Resources Defense Council: New York, NY, USA, 2022; Available online: https://www.nrdc.org/sites/default/files/clean-electricity-tax-credits-inflation-reduction-act-ib.pdf (accessed on 4 April 2025).
- Watson, S. Inflation Reduction Act Provides Major Tax Incentives for Public Power; Norton Rose Fulbright: London, UK, 2022; Available online: https://www.nortonrosefulbright.com/en-us/knowledge/publications/20e136f1/inflation-reduction-act-provides-major-taxincentives-for-public-power (accessed on 5 April 2025).






















| Begin for each particle (i) in the swarm do Initialize Vi with zero Initialize xi end for for each particle (i) in the swarm do Evaluate the fitness function f(xi) Assign xi to Pbest,i end for Initialize non-dominated particles in an external repository Determine domination & keep only non-dominated members Select a leader Update Vi and position (xi) for each particle using Equations (21) and (22) Check if maximum iterations or termination criteria are met repeat until maximum iterations or termination criteria are satisfied Select the best solution from the repository end |
| Parameters | Value |
|---|---|
| Population size | 100 |
| Repository size | 200 |
| Intertia weight | 0.5 |
| Personal learning coefficient | 1.5 |
| Global learning coefficient | 1.5 |
| Number of grids | 20 |
| Maximum velocity | 5% |
| Maximum number of generations | 50 |
| Description | Parameter | Value | Unit |
|---|---|---|---|
| Wind Turbine | CAPEX | 1544 | $/kW |
| OPEX | 30 | $/year | |
| Replacement cost | 1544 | $/kW | |
| Photovoltaic Panel | CAPEX | 1456 | $/kW |
| OPEX | 21 | $/year | |
| Replacement cost | 1456 | $/kW | |
| Battery Storage | CAPEX | 1390 | $/kWh |
| OPEX | 31 | $/year | |
| Replacement cost | 1390 | $/kWh |
| Parameters | Max NPV | Min LPSP | Min Curtailment |
|---|---|---|---|
| WPP (MW) | 283 | 350 | 281 |
| SPP (MW) | 20 | 45 | 39 |
| BESS (MWh) | 500 | 523 | 500 |
| NPV ($ million M) | 165.2 | 83.561 | 43.19 |
| LPSP (%) | 8.26 | 2.5 | 7.828 |
| Curtailment (%) | 3.79 | 18.24 | 4.49 |
| Grid Demand | WPP | SPP | BESS Discharge | BESS Charge | Curtailed | Unmet Load |
|---|---|---|---|---|---|---|
| 1730.2 | 1670.9 | 32.457 | 296.13 | 256.19 | 64.559 | 142.91 |
| ASC ($ Million) | LCOE ($/kWh) | IRR (%) | Payback (%) |
|---|---|---|---|
| 104.44 | 0.065 | 10.24 | 9.24 |
| Parameters | MOPSO (Uncertainty) | MOPSO (Deterministic) | MOGA (Uncertainty) |
|---|---|---|---|
| WPP (MW) | 283 | 221 | 271 |
| SPP (MW) | 20 | 26 | 41 |
| BESS (MWh) | 500 | 515 | 522 |
| NPV ($ million) | 165.2 | 75.15 | 128.36 |
| LPSP (%) | 8.26 | 20.13 | 9.36 |
| Curtailment (%) | 3.79 | 2.35 | 3.01 |
| LCOE($/kWh) | 0.065 | 0.075 | 0.07 |
| ASC ($ million) | 104.44 | 100.87 | 110.78 |
| Scenario | Wind * | Solar *** | BESS ** | Tax Credit | |||
|---|---|---|---|---|---|---|---|
| CAPEX | O&M | CAPEX | O&M | CAPEX | O&M | ||
| Year 2025 | |||||||
| Conservative | 1632.639 | 31.868 | 1540.628 | 21.503 | 2159.943 | 49.595 | No |
| Moderate | 1569.099 | 31.251 | 1491.64 | 21.001 | 1711.403 | 38.777 | No |
| Advanced | 1544.244 | 30.145 | 1456.24 | 20.602 | 1390.744 | 31.043 | No |
| Year 2035 | |||||||
| Conservative | 1522.152 | 30.291 | 1189.247 | 17.962 | 1717.701 | 38.929 | No |
| Moderate | 1344.692 | 28.261 | 895.321 | 15.022 | 1347.396 | 29.997 | No |
| Advanced | 1258.799 | 23.834 | 682.896 | 12.764 | 1028.712 | 22.311 | No |
| Metrics | Constant Demand | Variable Demand | Change (%) |
|---|---|---|---|
| WPP (MW) | 450 | 284 | +58.5 |
| SPP (MW) | 20 | 20 | - |
| BESS (MWh) | 500 | 500 | - |
| NPV ($million) | 366.6 | 165.2 | +122 |
| LPSP (%) | 8.45 | 8.26 | +2.3 |
| Curtailment (%) | 4.29 | 3.79 | +7.3 |
| LCOE ($/kWh) | 0.0532 | 0.065 | −18.2 |
| ASC ($ million) | 128.1 | 104.44 | −18.5 |
| IRR (%) | 8.31 | 10.24 | −18.8 |
| Payback (Years) | 10.94 | 9.24 | +18.4 |
| Parameters | Wind Resources | ||
|---|---|---|---|
| Low-Moderate | Good | Excellent | |
| WPP (MW) | 450 | 411 | 327 |
| SPP (MW) | 73 | 27 | 24 |
| BESS (MWh) | 500 | 527 | 538 |
| NPV ($ million) | −163.197 | −126.23 | 92.097 |
| LPSP (%) | 29.60 | 4.10 | 2.81 |
| Curtailment (%) | 1.70 | 16.19 | 12.33 |
| LCOE ($/kWh) | 0.111 | 0.076 | 0.068 |
| ASC ($ million) | 134.774 | 126.655 | 115.827 |
| IRR (%) | 100 | 5.14 | 6.66 |
| Payback (Years) | −150.82 | 15.12 | 12.85 |
| Capacity factor (%) | 26.61 | 43.32 | 54.63 |
| Parameters | BESS C-Rate | ||
|---|---|---|---|
| 0.5C | 0.75C | 1C | |
| WPP (MW) | 318 | 318 | 335 |
| SPP (MW) | 41 | 68 | 74 |
| BESS (MWh) | 513 | 500 | 500 |
| NPV ($ million) | 88.97 | 77.262 | 77.47 |
| LPSP (%) | 3.49 | 3.29 | 2.44 |
| Curtailment (%) | 11.62 | 13.05 | 16.76 |
| LCOE ($/kWh) | 0.068 | 0.069 | 0.070 |
| ASC ($ million) | 113.539 | 115.327 | 118.674 |
| IRR (%) | 6.66 | 6.56 | 6.66 |
| Payback (Years) | 12.86 | 12.98 | 13 |
| Capacity factor (%) | 53.14 | 49.58 | 47.1 |
| Parameters | BESS SOC (socmin–socmax%) | ||
|---|---|---|---|
| 20–80% | 30–70% | 10–90% | |
| WPP (MW) | 343 | 337 | 332 |
| SPP (MW) | 55 | 62 | 37 |
| BESS (MWh) | 500 | 500 | 500 |
| NPV ($ million) | 99.08 | 89.74 | 115.77 |
| LPSP (%) | 2.40 | 2.56 | 3.06 |
| Curtailment (%) | 17.27 | 16.36 | 14.15 |
| LCOE ($/kWh) | 0.0695 | 0.0696 | 0.0676 |
| ASC ($million) | 117.287 | 115.327 | 113.427 |
| IRR (%) | 6.70 | 6.63 | 6.84 |
| Payback (Years) | 12.79 | 12.88 | 12.61 |
| Capacity factor (%) | 48.48 | 48.28 | 51.95 |
| Metrics | Grid Import | No Grid Import |
|---|---|---|
| WPP (MW) | 253 | 283 |
| SPP (MW) | 20 | 20 |
| BESS (MWh) | 500 | 500 |
| NPV ($million) | 123.00 | 165.2 |
| LPSP (%) | 1.89 | 8.26 |
| Curtailment (%) | 0.95 | 3.79 |
| LCOE ($/kWh) | 0.0615 | 0.065 |
| ASC ($million) | 104.43 | 104.44 |
| IRR (%) | 7.83 | 10.24 |
| Payback (Years) | 9.22 | 9.24 |
| Capacity factor (%) | 70.1 | 48.28 |
| Metrics | Wind–Battery | Wind–Solar | Wind–Solar–Battery |
|---|---|---|---|
| WPP (MW) | 350 | 328 | 283 |
| SPP (MW) | 0 | 24 | 20 |
| BESS (MWh) | 500 | 0 | 500 |
| NPV ($ million) | 157.50 | 94.50 | 165.20 |
| LPSP (%) | 2.82 | 20.59 | 8.26 |
| Curtailment (%) | 16.38 | 30.94 | 3.79 |
| LCOE ($/kWh) | 0.0678 | 0.0361 | 0.0650 |
| Metrics | USA | India |
|---|---|---|
| NPV ($million) | 344.93 | 64.06 |
| LCOE($/kWh) | 0.059 | 0.04 |
| IRR (%) | 9.21 | 7.74 |
| Scenario | Description | |
|---|---|---|
| USA | India | |
| Stable (Case 1) | PTC support for lifetime | GBI support for lifetime |
| Moderate (Case 2) | PTC drops 50% after year 5 | GBI drops 50% after year 5 |
| Withdrawn (Case 3) | PTC removed after year 10 | GBI removed after year 10 |
| Metrics | Case 1 | Case 2 | Case 3 | Change % (Case 1) | |
|---|---|---|---|---|---|
| With Case 2 | With Case 3 | ||||
| USA | |||||
| NPV ($ million) | 369.85 | 185.85 | 123.11 | −49% | −66.71% |
| IRR (%) | 9.43 | 7.88 | 7.40 | −16.4% | −21.5% |
| India | |||||
| NPV ($ million) | 29.81 | −26.67 | −44.66 | −189.48% | −249.78% |
| IRR (%) | 7 | 6.03 | 5.65 | −13.85% | −19.28% |
| Metrics | Das et al. [4] | Stanley & King [8] | Leon et al. [15] | Current Study |
|---|---|---|---|---|
| WPP (MW) | 171 | 301 | 264 | 283 |
| SPP (MW) | 378 | 42.9 | 300 | 20 |
| BESS (MWh) | 271 | 0 | 228 | 500 |
| NPV ($ million) | 93.52 * | 37.08 | 347.63 * | 165.2 |
| LPSP (%) | - | - | - | 8.26 |
| Curtailment (%) | 2 | - | 0 | 3.79 |
| LCOE ($/kWh) | 0.045 * | 0.037 | 0.022 * | 0.065 |
| ASC ($ million) | - | - | - | 104.44 |
| IRR (%) | 9 | - | 0.151 | 10.24 |
| Payback (Years) | - | - | - | 9.24 |
| Capacity factor (%) | 46 | - | - | 48.28 |
Disclaimer/Publisher’s Note: The statements, opinions and data contained in all publications are solely those of the individual author(s) and contributor(s) and not of MDPI and/or the editor(s). MDPI and/or the editor(s) disclaim responsibility for any injury to people or property resulting from any ideas, methods, instructions or products referred to in the content. |
© 2025 by the authors. Licensee MDPI, Basel, Switzerland. This article is an open access article distributed under the terms and conditions of the Creative Commons Attribution (CC BY) license (https://creativecommons.org/licenses/by/4.0/).
Share and Cite
Bade, S.O.; Tomomewo, O.S.; Mann, M.; Van der Watt, J.; Salehfar, H. Optimal Sizing and Techno-Economic Evaluation of a Utility-Scale Wind–Solar–Battery Hybrid Plant Considering Weather Uncertainties, as Well as Policy and Economic Incentives, Using Multi-Objective Optimization. Energies 2025, 18, 3528. https://doi.org/10.3390/en18133528
Bade SO, Tomomewo OS, Mann M, Van der Watt J, Salehfar H. Optimal Sizing and Techno-Economic Evaluation of a Utility-Scale Wind–Solar–Battery Hybrid Plant Considering Weather Uncertainties, as Well as Policy and Economic Incentives, Using Multi-Objective Optimization. Energies. 2025; 18(13):3528. https://doi.org/10.3390/en18133528
Chicago/Turabian StyleBade, Shree Om, Olusegun Stanley Tomomewo, Michael Mann, Johannes Van der Watt, and Hossein Salehfar. 2025. "Optimal Sizing and Techno-Economic Evaluation of a Utility-Scale Wind–Solar–Battery Hybrid Plant Considering Weather Uncertainties, as Well as Policy and Economic Incentives, Using Multi-Objective Optimization" Energies 18, no. 13: 3528. https://doi.org/10.3390/en18133528
APA StyleBade, S. O., Tomomewo, O. S., Mann, M., Van der Watt, J., & Salehfar, H. (2025). Optimal Sizing and Techno-Economic Evaluation of a Utility-Scale Wind–Solar–Battery Hybrid Plant Considering Weather Uncertainties, as Well as Policy and Economic Incentives, Using Multi-Objective Optimization. Energies, 18(13), 3528. https://doi.org/10.3390/en18133528

