Abstract
This study investigates the impact of photovoltaic (PV) module configurations on the output performance of power-to-heat (P2H) systems under fixed-load conditions, considering regional solar irradiance characteristics in South Korea. Through both simulations and experimental analyses using a P2H testbed, two configurations, namely 6S (6Series) and 3S2P (3Series-2Parallel), were compared under varying irradiance levels. Based on an irradiance threshold of 533.2 W/m2, an adaptive PV configuration method is proposed to optimize energy output. The performance of the resistive-heating-based P2H system was evaluated using solar radiation data from major regions of Korea. Experimental results demonstrated that this approach can increase output power by up to 65% at low irradiance and improve annual energy yield by about 16% compared with a fixed configuration. This study offers practical guidance for designing P2H systems tailored to the climatic conditions in Korea.
1. Introduction
In response to the goals of carbon neutrality and the RE100 initiative, energy generation is increasingly transitioning towards renewable energy sources [1]. Although solar and wind power are clean and sustainable sources of energy, their output is inherently intermittent and difficult to forecast [2]. Because of the instantaneity of electricity usage, renewable energy must often be generated in excess of immediate demand, leading to curtailment and inefficiencies in energy utilization [3]. To mitigate this problem, there is a growing demand for energy storage systems (ESSs) that can store surplus electricity [4]. Although the batteries used in ESSs offer chemical energy storage solutions, their high cost, limited life cycle, and fire risk have prompted interest in alternative methods [5]. One such approach is sector coupling, which involves converting excess electrical energy into other energy forms such as thermal, mobility, or chemical energy, thereby linking the power sector to heating and transportation systems. Variable renewable energy, which cannot be actively controlled, requires either curtailment or conversion when supply exceeds demand [6,7,8,9].
Among the sector coupling technologies, power-to-heat (P2H) has attracted particular attention for its practicality and efficiency [10,11]. P2H systems convert surplus electricity into thermal energy using straightforward principles, enabling rapid deployment based on the existing district heating infrastructure [6,12]. For example, electrode boilers can produce heat immediately and respond to load conditions in real time. As a demand–response resource, P2H contributes to peak load reduction, improved energy efficiency, and greenhouse gas reduction, thus playing a key role in energy transition [13,14,15].
The voltage and current characteristics in photovoltaic (PV) systems are determined by the series and parallel connections of the PV modules. Series connections increase the voltage, whereas parallel connections increase the current. By designing these configurations appropriately, a PV system can be optimized under varying irradiance conditions. Previous studies have explored how altering module configurations can improve the output under shading or partial irradiance [16,17,18,19]. Researchers have also proposed using different module combinations or bypass mechanisms to mitigate mismatch losses [18,20,21]. Moreover, research on P2H systems has primarily focused on the profitability of such systems [12,22,23,24], but there is a need to analyze how fixed-load operations interact with PV module configurations under varying irradiance levels. This study provides such an analysis based on simulation and experimental results.
Accurate irradiance and system configuration analysis is essential for realistic evaluation of PV performance and system efficiency under different climatic conditions, as demonstrated by previous studies that examined the effects of converter topologies under varying weather conditions [25] and analyzed regional and temporal insolation fluctuations [26,27]. Korea, which is located in the mid-latitudes of the Northern Hemisphere, experiences distinct seasonal changes that lead to significant variability in solar irradiance. This variation affects PV system performance, particularly in P2H applications in which resistive heating loads are used. Evaluating PV module configurations under the regional and seasonal irradiance patterns of Korea is essential for maximizing energy utilization in P2H systems.
This study proposes an adaptive configuration strategy for a fixed-load P2H system that considers regional and seasonal irradiance characteristics. The proposed approach dynamically switches between tested configurations according to a calculated threshold irradiance to optimize energy utilization. The effectiveness of this strategy is evaluated using regional and seasonal solar radiation data from Korea.
2. Characteristics of P2H Systems
2.1. P2H System Configuration
Figure 1 shows a schematic of the proposed P2H system, which consists of PV modules for electricity generation, a DC-DC converter for voltage regulation, and a resistive load for hot water production. The maximum power point tracking (MPPT) control is implemented in the buck converter using the perturb and observe (P&O) algorithm. In this system, the electricity generated by the PV modules powers an electrode boiler, and the hot water produced is stored in a thermal storage tank. As opposed to conventional PV systems, which supply power to the grid or operate as standalone sources, P2H systems generate electricity and heat simultaneously. The system essentially functions as a form of thermal energy storage. MPPT control is critical in such systems, particularly when fixed loads are applied. In this study, four configurations were evaluated based on a 3kW residential PV system consisting of six 450 W PV modules: 6S (6Series), 3S2P (3Series-2Parallel), 2S3P (2Series-3Parallel), and 6P (6Parallel). This approach enables an assessment of how alternative configurations could enhance energy utilization in low-irradiance scenarios, providing insights for potential adaptive configuration strategies.
Figure 1.
P2H system configuration.
2.2. Characteristics of PV Output Under Fixed-Load Conditions
PV modules exhibit nonlinear I-V characteristics, and the maximum power point (MPP) varies with irradiance. In conventional systems, MPPT is achieved using DC-DC converters that adjust the duty ratio. Buck or boost converters track the MPP based on the open-circuit voltage (VOC) or the short-circuit current (ISC) [25]. In a fixed-load P2H system, the load cannot be adjusted, and the operating point is constrained by the configuration of the PV module. Buck converters are preferred because of their high current output, which is beneficial for resistive heating. In this case, the output voltage of the converter is determined by the load current and cannot exceed the input voltage. The critical resistance (RMPP) corresponding to the MPP is derived using Equation (1). The duty ratio and control boundaries for MPPT operation are expressed by Equations (2) and (3), respectively:
When the load resistance is lower than the RMPP, MPPT operation is possible. Otherwise, even with a duty ratio of 1, the converter cannot achieve the MPP. Figure 2 illustrates the MPPT boundaries of a buck converter under fixed-load conditions. These boundaries depend on the duty ratio and the ratio between the PV module resistance and load resistance. In practice, configurations such as 6S support MPPT under most irradiance levels, but suffer from reduced performance at low irradiance owing to increasing module resistance. Configurations such as 3S2P and 2S3P offer better low-irradiance performance but have different MPPT boundaries.
Figure 2.
MPPT region at fixed load of buck converter.
Figure 3 illustrates the MPPT tracking region of a buck converter under fixed-load conditions. PV modules operate along I-V curves that vary with irradiance, and under these conditions, the required resistance at the MPP (RMPP) changes depending on the series–parallel configuration of the modules. The voltage and current characteristics are also affected by the configuration, and the location of the MPP shifts according to the irradiance. However, in the case of a fixed load, the system follows a constant load line, regardless of the irradiance changes or RMPP variations. In a P2H system, the intersection of the I-V curve of the PV module with the fixed-load line determines the possible MPPT region. Because a buck converter performs MPPT near the VOC, the feasible MPPT region lies on the right-hand side of the fixed-load line. In P2H systems with a fixed resistive load, the configuration of the PV modules affects the effective module resistance, which limits the MPPT region owing to the load line constraint. Table 1 lists the calculated resistances and duty ratios for different irradiance levels and PV module configurations. The 6S configuration allows MPPT control under all irradiance conditions. However, as the irradiance decreases and the resistance increases, the duty ratio decreases, resulting in reduced power output. For the 3S2P configuration, MPPT control is also possible under an irradiance below 400 W/m2; in this range, 3S2P achieves a higher duty ratio and produces more power than 6S. The 2S3P configuration is effective under an irradiance below 150 W/m2, where it achieves the highest duty ratio, and thus, the greatest output. In contrast, the 6P configuration cannot achieve MPPT under any irradiance level because the module resistance is always lower than the load resistance. These characteristics demonstrate that the feasible MPPT region in a P2H system varies depending on both the irradiance level and PV module configuration under fixed-load conditions.
Figure 3.
I-V characteristics and MPPT area according to solar irradiance: (a) 6S, (b) 3S2P, (c) 2S3P, and (d) 6P.
Table 1.
Resistance and duty ratio according to solar irradiance and PV module configuration.
2.3. PV Module Configuration Procedure
Figure 4 illustrates the general algorithm for PV module configuration in a P2H system with a fixed load condition, adaptable to various system scales and irradiance conditions. The algorithm calculates the threshold irradiance based on the PV system specifications and the fixed load characteristics. The real-time irradiance data are obtained, and the algorithm determines whether the current irradiance exceeds this threshold. If the irradiance is above the threshold, a series configuration is selected to maximize voltage and maintain efficient operation. If the irradiance is below the threshold, a series–parallel configuration is adopted to increase current and sustain the output power under low-irradiance conditions. This procedure can be flexibly adapted to different PV system sizes and regional irradiance distributions, providing practical guidance for designing adaptive P2H systems.
Figure 4.
PV module configuration flowchart for a fixed-load P2H system.
3. Simulation and Experimental Results
3.1. Simulation Results of the P2H System
Figure 5a shows the simulation model of the fixed-load P2H system implemented in PSIM. The simulation applied different module configurations of 6S, 3S2P, 2S3P, and 6P using six PV modules, and the irradiance was gradually increased from 100 to 1000 W/m2 in 100 W/m2 increments. Figure 5b shows the simulation results. The output of the 6S configuration steadily increased with the irradiance, maintaining effective MPPT control. However, the configurations with parallel connections exhibited lower gains at higher irradiance levels. Under low irradiance (<500 W/m2), the internal resistance of the PV modules increased, causing a decrease in the output power. In this range, the 3S2P configuration produced a higher output power than the 6S configuration.
Figure 5.
P2H simulation according to PV module configuration: (a) simulation configuration and (b) simulation results.
3.2. PV Simulator Experimental Results
Figure 6a shows the experimental setup using a PV simulator, which replicates the I-V characteristics of PV modules under varying irradiances. Table 2 lists the specifications of the experimental equipment. The system included a PV simulator, DC-DC converter, fixed resistive load, and power analyzer. As shown in Figure 6b, the results align with the simulation results, confirming that under irradiances below approximately 500 W/m2, the 3S2P configuration provided a higher output, whereas the 6S configuration performed better at higher irradiance levels.
Figure 6.
P2H experiment using PV simulator: (a) experimental setup and (b) experimental results.
Table 2.
PV simulator experiment equipment details.
3.3. Testbed Experimental Results
Figure 7 shows the P2H system testbed, and Table 3 provides details of the experimental equipment used. The testbed consisted of PV modules, a DC-DC converter, a thermal storage tank with an electric heater, and a solar irradiance sensor. Six 450 W-class PV modules were employed, and two configurations, namely 6S and 3S2P, were tested to evaluate the performance of the P2H system under identical irradiance conditions. The electrical energy generated by the PV modules was used to heat water through the heater, and the input/output characteristics and corresponding irradiance conditions were measured and compared. Experiments were conducted from 5 February to 8 February 2024, under natural weather conditions to measure the system performance with varying irradiance levels.
Figure 7.
P2H system testbed: (a) P2H testbed configuration, (b) internal wiring.
Table 3.
P2H testbed experiment equipment details.
Figure 8 shows the experimental results for the P2H system testbed. Figure 8a compares the output power used for hot water production across an irradiance range of 0 to 1000 W/m2. As expected, the output of the P2H system increased with increasing irradiance. In the low-irradiance region, specifically below approximately 500 W/m2, the 3S2P configuration exhibited a steeper increase in the output per unit of irradiance than the 6S configuration. This indicates that, under fixed-load conditions in P2H systems, a series–parallel configuration (3S2P) is more effective at lower irradiance levels, whereas a full series configuration (6S) is more advantageous at higher irradiances. Above 500 W/m2, the 6S configuration consistently delivered a higher output power. These results confirm that the PV module configuration significantly influences the output characteristics and that changing the configuration based on the irradiance conditions can improve the performance of a fixed-load P2H system. Figure 8b shows the application of a moving average technique to the experimental data, allowing for a clearer analysis of the output trend and better quantification of the performance relative to the irradiance. The moving average was calculated in increments of 5 W/m2, and the output power was analyzed for each configuration across the full irradiance spectrum. At lower irradiance levels, the 3S2P configuration consistently outperformed the 6S configuration, whereas the opposite trend was observed at higher irradiance levels. It is also noted that for the 3S2P configuration, the output power remains nearly constant above approximately 500 W/m2. This is because the limited number of series-connected modules restricts the maximum open-circuit voltage, and although the current reaches its maximum under higher irradiance, the operating voltage does not increase proportionally. Consequently, the output power saturates and remains nearly constant at high irradiance levels. From this analysis, the optimal switching point at which 6S started to outperform 3S2P was identified a 533.2 W/m2. This finding demonstrates that, in fixed-load P2H systems, adapting the PV module configuration based on real-time irradiance levels can enhance the system performance. Accordingly, this study proposes an adaptive PV configuration method in which the system operates in the 3S2P configuration when the irradiance is below 533.2 W/m2 and switches to the 6S configuration above that threshold.
Figure 8.
P2H testbed experiment results: (a) output power according to solar irradiance and (b) moving average of results and optimal change point.
4. Performance Comparison Considering Regional Solar Irradiance in Korea
4.1. Regional Solar Irradiance Characteristics in Korea
Korea is located in the mid-latitudes of the Northern Hemisphere and has four distinct seasons. There are regional differences in solar irradiance owing to the presence of mountain ranges. Figure 9 shows the geographical locations of six major cities in Korea. Because of its location between latitudes 33° and 38°, Korea exhibits substantial seasonal fluctuations in irradiance. Moreover, the mountainous terrain running east to west contributes to geographical differences in the solar radiation.
Figure 9.
Locations of major cities in Korea.
The seasonal classification in Korea is as follows:
- Spring: March to May;
- Summer: June to August;
- Autumn: September to November;
- Winter: December to February.
These geographical and seasonal characteristics make it possible to determine the regions and seasons that are most suitable for applications of P2H systems based on solar irradiance. To evaluate the irradiance distribution, this study used daily solar radiation data provided by the Korea Meteorological Administration through its public API [28], covering a one-year period from March 2022 to February 2023. Figure 10 shows the monthly average irradiance in each region and the proportion of days with irradiance levels below 533 W/m2. Regional differences are evident from the monthly averages, and the ratio of low-irradiance days varies seasonally. Owing to the mid-latitude location of Korea, solar irradiance distributions vary across regions and are closely influenced by seasonal factors. Irradiance is generally high in spring (March–May) and autumn (September–November), while it tends to be lower in summer (June–August) owing to the monsoon season, and in winter (December–February) because of snow and shorter daylight hours. Figure 10f shows that Jeju experiences a high frequency of cloudy days during winter, which is typical for island regions, leading to a high proportion of low-irradiance days. The proportion of days with an irradiance below 533 W/m2 varies across seasons in all regions, averaging approximately 60%, suggesting that the proposed method can be applied effectively.
Figure 10.
Monthly solar irradiance and low-irradiance ratios: (a) Gangneung, (b) Seoul, (c) Daejeon, (d) Gwangju, (e) Busan, and (f) Jeju.
4.2. Analysis of Output Based on Adaptive PV Configuration
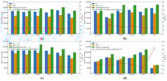
The simulation and experimental results show that the 3S2P configuration provided the highest power output under low-irradiance conditions, whereas the 6S configuration yielded better performance under high-irradiance conditions. Therefore, the output can be improved by adopting adaptive configurations depending on the irradiance level, using 3S2P for low irradiance and 6S for high irradiance. In this study, an adaptive PV configuration is proposed that operates in the 3S2P mode when the irradiance is below 533 W/m2 and in the 6S mode when the irradiance exceeds that threshold. Figure 11 compares the regional power outputs for each configuration: 6S, 3S2P, and the proposed adaptive configuration. In regions in which the proportion of low irradiance was high, changing the configuration according to the irradiance significantly improved the P2H system output. The adaptive PV configuration consistently demonstrated superior performance compared with both 6S and 3S2P. When the proportion of irradiance below 533 W/m2 was high, the 3S2P configuration outperformed the 6S configuration. In winter (December–February), when low irradiance was common, the 3S2P configuration often yielded better results than the 6S configuration, especially in Jeju, where consecutive cloudy days had a strong impact. The application of the adaptive PV configuration enhanced the output in all regions, with particularly high effectiveness in areas that frequently experienced low irradiance. These results indicate that optimizing the module combinations for low-irradiance conditions can improve the economic feasibility of P2H systems.
Figure 11.
Monthly output power by module configuration: (a) Gangneung, (b) Seoul, (c) Daejeon, (d) Gwangju, (e) Busan, and (f) Jeju.
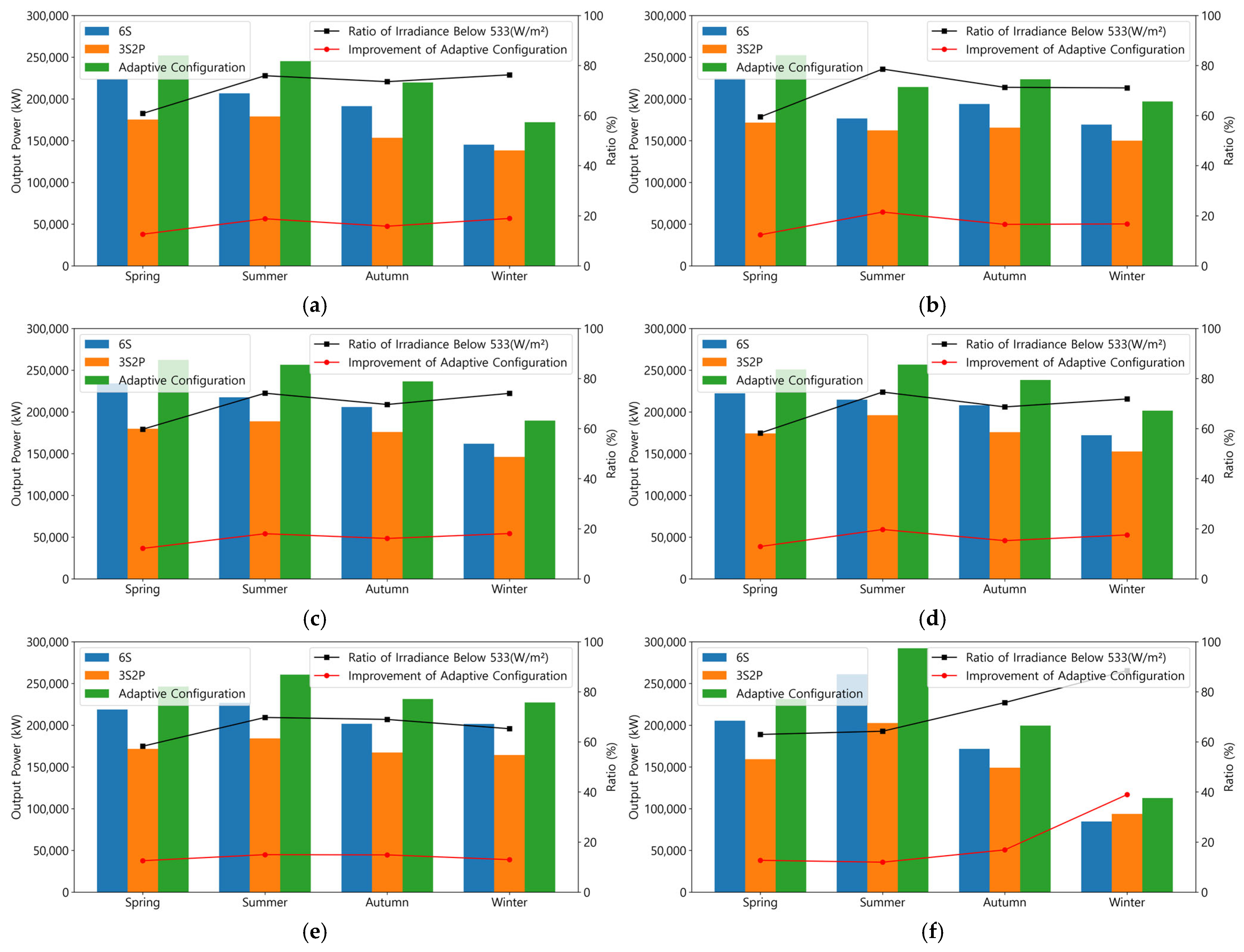
4.3. Seasonal Output and Regional Insights
Figure 12 shows the seasonal power output of each PV module configuration across the major regions of Korea. Owing to the rainy summer season and winter snowfall, the proportion of low-irradiance conditions was higher, resulting in a more pronounced benefit from the adaptive configuration. Figure 13 summarizes the seasonal performance by region. As illustrated in Figure 13a,c, the performance across the different configurations remained relatively consistent during spring and autumn owing to the stable solar irradiance observed in these seasons. In contrast, Figure 13b shows that Seoul experienced a high frequency of cloudy days during summer, which resulted in the greatest performance gain when using the adaptive configuration. During winter, Jeju demonstrated the most significant improvement, primarily owing to prolonged cloudy conditions, highlighting the advantage of the adaptive configuration under persistently low irradiance.
Figure 12.
Seasonal output power comparison in cities: (a) Gangneung, (b) Seoul, (c) Daejeon, (d) Gwangju, (e) Busan, and (f) Jeju.
Figure 13.
Seasonal output power comparison by region: (a) spring, (b) summer, (c) autumn, and (d) winter.
Figure 14 shows the total annual energy output by region. Although the 6S configuration provided a higher output than the 3S2P configuration in most cases, the adaptive PV configuration improved the annual output by approximately 16%. This improvement is particularly significant for island or coastal areas that frequently experience extended periods of cloudy weather, demonstrating the practical effectiveness of the proposed method.
Figure 14.
Annual output power comparison by region and configuration.
5. Conclusions
This study has investigated the variation in the output characteristics of a P2H system, which is a sector coupling technology that converts and stores electric energy as thermal energy, based on different PV module configurations under varying solar irradiance conditions in Korea. Through simulation and experimental results, it was confirmed that under irradiance conditions below 533 W/m2, the 3S2P configuration, which is a series–parallel combination, outperformed the conventional 6S (series-only) configuration. The proposed method, which dynamically adjusts the PV module configuration based on the solar irradiance levels, was shown to effectively enhance the output performance of the P2H system. The proposed adaptive configuration achieved up to a 65% increase in output at low irradiance during winter in the Jeju region, and the threshold irradiance of 533.2 W/m2 was experimentally validated. The adaptive configuration also improved the annual energy output by an average of approximately 16% compared with the fixed 6S configuration. This suggests that in regions with cloudy weather, a series–parallel configuration can be more effective than a series configuration. This improvement was more significant in regions with a higher proportion of low irradiance, such as Jeju in winter, when extended periods of cloudy weather are common. These results demonstrate that in P2H systems utilizing resistive loads, the output performance can be improved by changing the PV module configuration according to the irradiance levels. These findings offer practical insights into the design of P2H systems that are optimized for the climatic and irradiance characteristics of a given region. Future research will focus on developing a real-time irradiance prediction system and a control method using AI to determine and apply optimal module configuration switching that can adapt to different climate zones and varying operating conditions, such as temperature changes and load fluctuations. In addition, a comprehensive economic analysis will be conducted to evaluate the cost-effectiveness and practical applicability of the proposed adaptive configuration method in practical field applications.
Author Contributions
Conceptualization, C.-W.C., J.-S.K. and D.-K.K.; methodology, C.-W.C., S.-Y.J. and Y.-S.K.; software, C.-W.C., K.-T.C., G.-T.P. and S.-H.L.; validation, C.-W.C., K.-T.C., J.-S.K. and D.-K.K.; formal analysis, C.-W.C., S.-H.L. and J.-S.K.; investigation, C.-W.C. and K.-T.C.; resources, C.-W.C., G.-T.P., S.-H.L. and J.-S.K.; data curation, C.-W.C. and K.-T.C.; writing—original draft preparation, C.-W.C.; writing—review and editing, C.-W.C., K.-T.C., J.-S.K. and D.-K.K.; visualization, C.-W.C. and K.-T.C.; supervision, D.-K.K. All authors have read and agreed to the published version of the manuscript.
Funding
This paper was supported by Sunchon National University Research Fund in 2024 (Grant number: 2024-0438).
Data Availability Statement
The original contributions presented in the study are included in the article; further inquiries can be directed to the corresponding author.
Conflicts of Interest
Authors Gi-Tae Park and Seung-Hoon Lee were employed by the Research Institute, SEL SYSTEM Co., Ltd. The remaining authors declare that the research was conducted in the absence of any commercial or financial relationships that could be construed as a potential conflict of interest.
References
- Breyer, C.; Khalili, S.; Bogdanov, D.; Ram, M.; Oyewo, A.S.; Aghahosseini, A.; Gulagi, A.; Solomon, A.A.; Keiner, D.; Lopez, G.; et al. On the History and Future of 100% Renewable Energy Systems Research. IEEE Access 2022, 10, 78176–78218. [Google Scholar] [CrossRef]
- Liang, X. Emerging Power Quality Challenges Due to Integration of Renewable Energy Sources. IEEE Trans. Ind. Appl. 2017, 53, 855–866. [Google Scholar] [CrossRef]
- Al-Ghussain, L.; Ahmad, A.D.; Abubaker, A.M.; Abujubbeh, M.; Almalaq, A.; Mohamed, M.A. A Demand-Supply Matching-Based Approach for Mapping Renewable Resources Towards 100% Renewable Grids in 2050. IEEE Access 2021, 9, 58634–58651. [Google Scholar] [CrossRef]
- Koh, L.H.; Wang, P.; Choo, F.H.; Tseng, K.-J.; Gao, Z.; Püttgen, H.B. Operational Adequacy Studies of a PV-Based and Energy Storage Stand-Alone Microgrid. IEEE Trans. Power Syst. 2015, 30, 892–900. [Google Scholar] [CrossRef]
- Park, K.-M.; Kim, J.-H.; Park, J.-Y.; Bang, S.-B. A Study on the Fire Risk of ESS through Fire Status and Field Investigation. Fire Sci. Eng. 2018, 32, 91–99. [Google Scholar] [CrossRef]
- Li, Z.; Wu, W.; Shahidehpour, M.; Wang, J.; Zhang, B. Combined Heat and Power Dispatch Considering Pipeline Energy Storage of District Heating Network. IEEE Trans. Sustain. Energy 2016, 7, 12–22. [Google Scholar] [CrossRef]
- Bloess, A.; Schill, W.P.; Zerrahn, A. Power-to-heat for renewable energy integration: A review of technologies, modeling approaches, and flexibility potentials. Appl. Energy 2018, 212, 1611–1626. [Google Scholar] [CrossRef]
- Ramsebner, J.; Haas, R.; Ajanovic, A.; Wietschel, M. The sector coupling concept: A critical review. WIREs Energy Environ. 2021, 10, e396. [Google Scholar] [CrossRef]
- Manni, M.; Nicolini, A.; Cotana, F. Performance assessment of an electrode boiler for power-to-heat conversion in sustainable energy districts. Energy Build. 2022, 277, 112569. [Google Scholar] [CrossRef]
- Ivanova, P.; Sauhats, A.; Linkevics, O. District Heating Technologies: Is it Chance for CHP Plants in Variable and Competitive Operation Conditions? IEEE Trans. Ind. Appl. 2018, 55, 35–42. [Google Scholar] [CrossRef]
- Badami, M.; Fambri, G.; Mancò, S.; Martino, M.; Damousis, I.G.; Agtzidis, D.; Tzovaras, D. A Decision Support System Tool to Manage the Flexibility in Renewable Energy-Based Power Systems. Energies 2020, 13, 153. [Google Scholar] [CrossRef]
- Khatibi, M.; Bendtsen, J.D.; Stoustrup, J.; Molbak, T. Exploiting Power-to-Heat Assets in District Heating Networks to Regulate Electric Power Network. IEEE Trans. Smart Grid 2020, 12, 2048–2059. [Google Scholar] [CrossRef]
- Gjorgievski, V.Z.; Markovska, N.; Abazi, A.; Duić, N. The potential of power-to-heat demand response to improve the flexibility of the energy system: An empirical review. Renew. Sustain. Energy Rev. 2021, 138, 110489. [Google Scholar] [CrossRef]
- Simone, C. Flexibility for the Power Grid Through District Heating Networks in a Decarbonization Scenario. 2021. Available online: https://www.politesi.polimi.it/handle/10589/203316 (accessed on 1 August 2024).
- Cámara-Díaz, L.; Ramírez-Faz, J.; López-Luque, R.; Casares, F.J. A Cost-Effective and Efficient Electronic Design for Photovoltaic Systems for Solar Hot Water Production. Sustainability 2021, 13, 10270. [Google Scholar] [CrossRef]
- Babu, T.S.; Ram, J.P.; Dragicevic, T.; Miyatake, M.; Blaabjerg, F.; Rajasekar, N. Particle Swarm Optimization Based Solar PV Array Reconfiguration of the Maximum Power Extraction Under Partial Shading Conditions. IEEE Trans. Sustain. Energy 2017, 9, 74–85. [Google Scholar] [CrossRef]
- Premkumar, M.; Subramaniam, U.; Babu, T.S.; Elavarasan, R.M.; Mihet-Popa, L. Evaluation of Mathematical Model to Characterize the Performance of Conventional and Hybrid PV Array Topologies under Static and Dynamic Shading Patterns. Energies 2020, 13, 3216. [Google Scholar] [CrossRef]
- Pachauri, R.K.; Kansal, I.; Babu, T.S.; Alhelou, H.H. Power Losses Reduction of Solar PV Systems Under Partial Shading Conditions Using Re-Allocation of PV Module-Fixed Electrical Connections. IEEE Access 2021, 9, 94789–94812. [Google Scholar] [CrossRef]
- Fang, X.; Yang, Q.; Yan, W. Switching Matrix Enabled Optimal Topology Reconfiguration for Maximizing Power Generation in Series–Parallel Organized Photovoltaic Systems. IEEE Syst. J. 2021, 16, 2765–2775. [Google Scholar] [CrossRef]
- Diaz-Dorado, E.; Suarez-Garcia, A.; Carrillo, C.; Cidras, J. Influence of the shadows in photovoltaic systems with different configurations of bypass diodes. In Proceedings of the SPEEDAM 2010, Pisa, Italy, 14–16 June 2010; pp. 134–139. [Google Scholar]
- Mahto, R.V.; Sharma, D.K.; Xavier, D.X.; Raghavan, R.N. Improving performance of photovoltaic panel by reconfigurability in partial shading condition. J. Photonics Energy 2020, 10, 042004. [Google Scholar] [CrossRef]
- Pensini, A.; Rasmussen, C.N.; Kempton, W. Economic analysis of using excess renewable electricity to displace heating fuels. Appl. Energy 2014, 131, 530–543. [Google Scholar] [CrossRef]
- Li, J.; Lin, J.; Song, Y.; Xing, X.; Fu, C. Operation Optimization of Power to Hydrogen and Heat (P2HH) in ADN Coordinated with the District Heating Network. IEEE Trans. Sustain. Energy 2018, 10, 1672–1683. [Google Scholar] [CrossRef]
- Ding, H.; Hu, Q.; Qian, T.; Wu, Z. Modeling and Optimization Operation of Improved Power-to-Hydrogen-and-Heat Method at Low Temperature for Reducing Carbon Emissions. IEEE Trans. Sustain. Energy 2024, 16, 189–200. [Google Scholar] [CrossRef]
- Farahat, M.A.; Metwally, H.M.; Mohamed, A.A. Optimal choice and design of different topologies of DC–DC converter used in PV systems, at different climatic conditions in Egypt. Renew. Energy 2012, 43, 393–402. [Google Scholar] [CrossRef]
- Kato, T.; Kumazawa, S.; Suzuoki, Y.; Honda, N.; Koaizawa, M.; Nishino, S. Evaluation of long-cycle fluctuation of spatial average insolation in electric utility service area. In Proceedings of the 2012 IEEE Power and Energy Society General Meeting, San Diego, CA, USA, 22–26 July 2012; pp. 1–6. [Google Scholar]
- KAnderson, K.; Perry, K. Estimating Subhourly Inverter Clipping Loss From Satellite-Derived Irradiance Data. In Proceedings of the 2020 47th IEEE Photovoltaic Specialists Conference (PVSC), Calgary, AB, Canada, 15 June–21 August 2020; pp. 1433–1438. [Google Scholar]
- Korea Meteorological Administration. API Hub. Available online: https://apihub.kma.go.kr/ (accessed on 1 February 2025).
Disclaimer/Publisher’s Note: The statements, opinions and data contained in all publications are solely those of the individual author(s) and contributor(s) and not of MDPI and/or the editor(s). MDPI and/or the editor(s) disclaim responsibility for any injury to people or property resulting from any ideas, methods, instructions or products referred to in the content. |
© 2025 by the authors. Licensee MDPI, Basel, Switzerland. This article is an open access article distributed under the terms and conditions of the Creative Commons Attribution (CC BY) license (https://creativecommons.org/licenses/by/4.0/).













