Thermodynamic and Techno-Economic Performance Comparison of Methanol Aqueous Phase Reforming and Steam Reforming for Hydrogen Production
Abstract
1. Introduction
2. Methods
2.1. Thermodynamic Modeling
2.2. Techno-Economic Modeling
3. Results and Discussion
3.1. Thermodynamic Analysis
3.1.1. Impact of Temperature and Pressure on Enthalpy and Gibbs Free Energy of Reaction
3.1.2. Impact of Temperature and Pressure on the Thermodynamic Equilibrium
3.1.3. Impact of CH3OH/H2O on the Thermodynamic Equilibrium
3.1.4. Comparison of Thermodynamic Performance of Methanol APR and SR
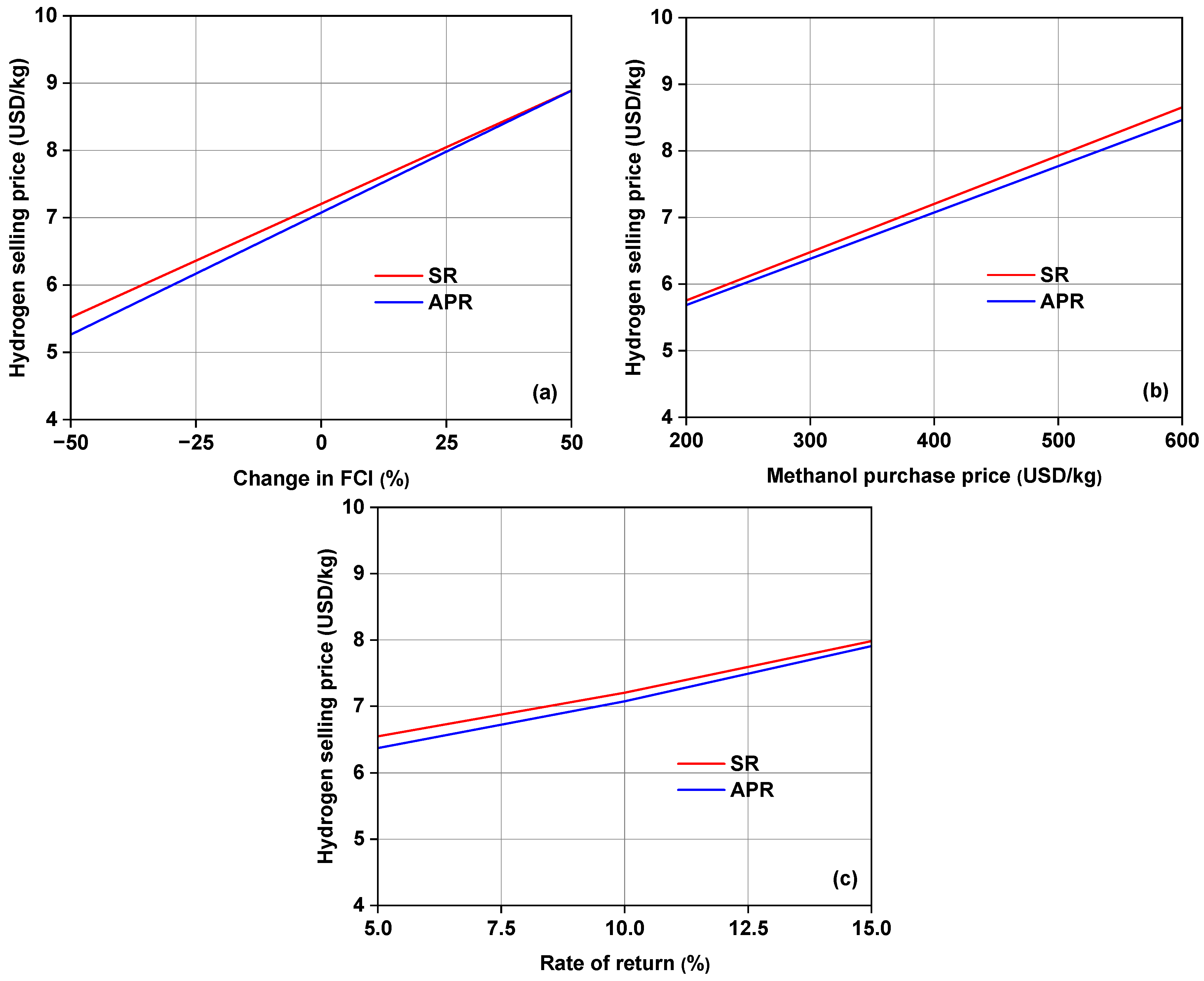
3.2. Techno-Economic Analysis
3.2.1. Material and Energy Balance Results
3.2.2. Economic Analysis Results
4. Conclusions
Supplementary Materials
Author Contributions
Funding
Data Availability Statement
Conflicts of Interest
References
- Faye, O.; Szpunar, J.; Eduok, U. A critical review on the current technologies for the generation, storage, and transportation of hydrogen. Int. J. Hydrogen Energy 2022, 47, 13771–13802. [Google Scholar] [CrossRef]
- Rasul, M.G.; Hazrat, M.A.; Sattar, M.A.; Jahirul, M.I.; Shearer, M.J. The future of hydrogen: Challenges on production, storage and applications. Energy Convers. Manag. 2022, 272, 116326. [Google Scholar] [CrossRef]
- Zhao, J.; Shi, R.; Li, Z.; Zhou, C.; Zhang, T. How to make use of methanol in green catalytic hydrogen production? Nano Sel. 2020, 1, 12–29. [Google Scholar] [CrossRef]
- Garcia, G.; Arriola, E.; Chen, W.H.; De Luna, M.D. A comprehensive review of hydrogen production from methanol thermochemical conversion for sustainability. Energy 2021, 217, 119384. [Google Scholar] [CrossRef]
- Deka, T.J.; Osman, A.I.; Baruah, D.C.; Rooney, D.W. Methanol fuel production, utilization, and techno-economy: A review. Environ. Chem. Lett. 2022, 20, 3525–3554. [Google Scholar] [CrossRef]
- Joshi, A.N.; Vaidya, P.D. Recent studies on aqueous-phase reforming: Catalysts, reactors, hybrid processes and techno-economic analysis. Int. J. Hydrogen Energy 2024, 49, 117–137. [Google Scholar] [CrossRef]
- Cortright, R.D.; Davda, R.R.; Dumesic, J.A. Hydrogen from catalytic reforming of biomass-derived hydrocarbons in liquid water. Nature 2002, 418, 964–967. [Google Scholar] [CrossRef] [PubMed]
- Roy, B.; Sullivan, H.; Leclerc, C.A. Effect of variable conditions on steam reforming and aqueous phase reforming of n-butanol over Ni/CeO2 and Ni/Al2O3 catalysts. J. Power Sources 2014, 267, 280–287. [Google Scholar] [CrossRef]
- Cheng, X.; Shi, Z.; Glass, N.; Zhang, L.; Zhang, J.; Song, D.; Liu, Z.; Wang, H.; Shen, J. A review of PEM hydrogen fuel cell contamination: Impacts, mechanisms, and mitigation. J. Power Sources 2007, 165, 739–756. [Google Scholar] [CrossRef]
- Valdés-López, V.F.; Mason, T.; Shearing, P.R.; Brett, D.J.L. Carbon monoxide poisoning and mitigation strategies for polymer electrolyte membrane fuel cells: A review. Prog. Energy Combust. Sci. 2020, 79, 100842. [Google Scholar] [CrossRef]
- Alamiery, A. Advancements in materials for hydrogen production: A review of cutting-edge technologies. ChemPhysMater 2024, 3, 64–73. [Google Scholar] [CrossRef]
- Shchegolkov, A.V.; Shchegolkov, A.V.; Zemtsova, N.V.; Stanishevskiy, Y.M.; Vetcher, A.A. Recent advantages on waste management in hydrogen industry. Polymers 2022, 14, 4992. [Google Scholar] [CrossRef] [PubMed]
- Hossain, M.A.; Islam, M.R.; Hossain, M.A.; Hossain, M. Control strategy review for hydrogen-renewable energy power system. J. Energy Storage 2023, 72, 108170. [Google Scholar] [CrossRef]
- Jeje, S.O.; Marazani, T.; Obiko, J.O.; Shongwe, M.B. Advancing the hydrogen production economy: A comprehensive review of technologies, sustainability, and future prospects. Int. J. Hydrogen Energy 2024, 78, 642–661. [Google Scholar] [CrossRef]
- Pipitone, G.; Zoppi, G.; Pirone, R.; Bensaid, S. A critical review on catalyst design for aqueous phase reforming. Int. J. Hydrogen Energy 2022, 47, 151–180. [Google Scholar] [CrossRef]
- Lin, L.; Zhou, W.; Gao, R.; Yao, S.; Zhang, X.; Xu, W.; Zheng, S.; Jiang, Z.; Yu, Q.; Li, Y.W.; et al. Low-temperature hydrogen production from water and methanol using Pt/alpha-MoC catalysts. Nature 2017, 544, 80–83. [Google Scholar] [CrossRef]
- Lin, L.; Yu, Q.; Peng, M.; Li, A.; Yao, S.; Tian, S.; Liu, X.; Li, A.; Jiang, Z.; Gao, R.; et al. Atomically dispersed Ni/α-MoC catalyst for hydrogen production from methanol/water. J. Am. Chem. Soc. 2021, 143, 309–317. [Google Scholar] [CrossRef]
- Li, D.; Li, Y.; Liu, X.; Guo, Y.; Pao, C.W.; Chen, J.L.; Hu, Y.; Wang, Y. NiAl2O4 spinel supported Pt catalyst: High performance and origin in aqueous-phase reforming of methanol. ACS Catal. 2019, 9, 9671–9682. [Google Scholar] [CrossRef]
- Zhang, S.; Liu, Y.; Zhang, M.; Ma, Y.; Hu, J.; Qu, Y. Sustainable production of hydrogen with high purity from methanol and water at low temperatures. Nat. Commun. 2022, 13, 5527. [Google Scholar] [CrossRef]
- Lu, M.; Liu, S.; Zhu, H.; Huang, H.; Lin, C.; Li, J.; Zhang, B.; Zheng, Z.; Hu, C.; Wu, X.; et al. Highly efficient releasing of hydrogen from aqueous-phase reforming of methanol over Cu-SP/Al2O3-ZnO catalyst by carbon layer encapsulated hierarchical porous microsphere strategy. Int. J. Hydrogen Energy 2024, 52, 125–139. [Google Scholar] [CrossRef]
- Li, J.; Lu, M.; Ge, Y.; Lu, W.; Liu, Z.; Xu, H.; Zhang, Y.; Li, Z.; Zheng, Z.; Gao, P.; et al. Efficient and sustainable H2 production from aqueous-phase reforming of methanol over Cu@CA-Val catalyst at low temperatures. Int. J. Hydrogen Energy 2024, 71, 775–784. [Google Scholar] [CrossRef]
- Chen, B.; Zheng, Z.; Hu, C.; Zengcai, Z.; Liu, Z.; Lu, M.; Meng, Q.; Wang, T. High-content graphitized N-doped carbon encapsulated Cu catalyst in aqueous phase reforming of methanol for efficient hydrogen production. Fuel 2024, 371, 131888. [Google Scholar] [CrossRef]
- Zheng, Z.; Fang, Y.; Ma, L.; Wu, X.; Meng, Q.; Wang, T. High-loaded sub-6 nm Cu catalyst with superior hydrothermal-stability and efficiency for aqueous phase reforming of methanol to hydrogen. Int. J. Hydrogen Energy 2022, 47, 22752–22762. [Google Scholar] [CrossRef]
- Pi, Y.; Wu, X.; Zheng, Z.; Ma, L.; Wang, T. Chitosan-lignin carbon framework-encapsulated Cu catalyst facilitates base-free hydrogen evolution from methanol/water. Catal. Sci. Technol. 2022, 12, 1941–1949. [Google Scholar] [CrossRef]
- Xie, J.; Su, D.; Yin, X.; Wu, C.; Zhu, J. Thermodynamic analysis of aqueous phase reforming of three model compounds in bio-oil for hydrogen production. Int. J. Hydrogen Energy 2011, 36, 15561–15572. [Google Scholar] [CrossRef]
- Seretis, A.; Tsiakaras, P. A thermodynamic analysis of hydrogen production via aqueous phase reforming of glycerol. Fuel Process. Technol. 2015, 134, 107–115. [Google Scholar] [CrossRef]
- Özcan, O.; Akın, A.N. Thermodynamic analysis of methanol steam reforming to produce hydrogen for HT-PEMFC: An optimization study. Int. J. Hydrogen Energy 2019, 44, 14117–14126. [Google Scholar] [CrossRef]
- Kuo, J.K.; Wei, H.C. Numerical investigation into hydrogen content of reformate gas produced by methanol-water fuel mixtures in reforming. Int. J. Energy Res. 2019, 43, 4417–4426. [Google Scholar] [CrossRef]
- Palo, D.R.; Dagle, R.A.; Holladay, J.D. Methanol steam reforming for hydrogen production. Chem. Rev. 2007, 107, 3992–4021. [Google Scholar] [CrossRef] [PubMed]
- Fajín, J.L.C.; Cordeiro, M.N.D.S. Insights into the mechanism of methanol steam reforming for hydrogen production over Ni-Cu-based catalysts. ACS Catal. 2022, 12, 512–526. [Google Scholar] [CrossRef]
- Kappis, K.; Papavasiliou, J.; Avgouropoulos, G. Methanol reforming processes for fuel cell applications. Energies 2021, 14, 8442. [Google Scholar] [CrossRef]
- Xing, S.; Zhao, C.; Ban, S.; Liu, Y.; Wang, H. Thermodynamic performance analysis of the influence of multi-factor coupling on the methanol steam reforming reaction. Int. J. Hydrogen Energy 2020, 45, 7015–7024. [Google Scholar] [CrossRef]
- Wu, Z.; Xu, G.; Zhang, W.; Xue, X.; Chen, H. Thermodynamic and economic analysis of a new methanol steam reforming system integrated with CO2 heat pump and cryogenic separation system. Energy 2023, 283, 128501. [Google Scholar] [CrossRef]
- Peppley, B.A.; Amphlett, J.C.; Kearns, L.M.; Mann, R.F. Methanol-steam reforming on Cu/ZnO/Al2O3. Part 1: The reaction network. Appl. Catal. A Gen. 1999, 179, 21–29. [Google Scholar] [CrossRef]
- Li, D.; Xu, F.; Tang, X.; Dai, S.; Pu, T.; Liu, X.; Tian, P.; Xuan, F.; Xu, Z.; Wachs, I.E.; et al. Induced activation of the commercial Cu/ZnO/Al2O3 catalyst for the steam reforming of methanol. Nat. Catal. 2022, 5, 99–108. [Google Scholar] [CrossRef]
- Faungnawakij, K.; Kikuchi, R.; Eguchi, K. Thermodynamic evaluation of methanol steam reforming for hydrogen production. J. Power Sources 2006, 161, 87–94. [Google Scholar] [CrossRef]
- Yang, W.; Ma, X.; Tang, X.; Dou, P.; Yang, Y.; He, Y. Review on developments of catalytic system for methanol steam reforming from the perspective of energy-mass conversion. Fuel 2023, 345, 128234. [Google Scholar] [CrossRef]
- Latsky, C.; Cordeiro, B.; Schwarz, C.E. High pressure bubble- and dew-point data for systems containing CO2 with 1-decanol and n-hexadecane. Fluid Phase Equilibria 2020, 521, 112702. [Google Scholar] [CrossRef]
- Latsky, C.; Schwarz, C.E. Measurement and modelling of high pressure bubble- and dew-point data for the CO2 + 1-decanol + 3,7-dimethyl-1-octanol system. Fluid Phase Equilibria 2019, 488, 87–98. [Google Scholar] [CrossRef]
- Mosayebi, A.; Eghbal Ahmadi, M.H. Combined steam and dry reforming of methanol process to syngas formation: Kinetic modeling and thermodynamic equilibrium analysis. Energy 2022, 261, 125254. [Google Scholar] [CrossRef]
- Byun, M.; Lee, B.; Lee, H.; Jung, S.; Ji, H.; Lim, H. Techno-economic and environmental assessment of methanol steam reforming for H2 production at various scales. Int. J. Hydrogen Energy 2020, 45, 24146–24158. [Google Scholar] [CrossRef]
- Khodabandehloo, M.; Larimi, A.; Khorasheh, F. Comparative process modeling and techno-economic evaluation of renewable hydrogen production by glycerol reforming in aqueous and gaseous phases. Energy Convers. Manag. 2020, 225, 113483. [Google Scholar] [CrossRef]
- Sladkovskiy, D.A.; Godina, L.I.; Semikin, K.V.; Sladkovskaya, E.V.; Smirnova, D.A.; Murzin, D.Y. Process design and techno-economical analysis of hydrogen production by aqueous phase reforming of sorbitol. Chem. Eng. Res. Des. 2018, 134, 104–116. [Google Scholar] [CrossRef]
- Murzin, D.Y.; Garcia, S.; Russo, V.; Kilpio, T.; Godina, L.I.; Tokarev, A.V.; Kirilin, A.V.; Simakova, I.L.; Poulston, S.; Sladkovskiy, D.A. Kinetics, modeling, and process design of hydrogen production by aqueous phase reforming of xylitol. Ind. Eng. Chem. Res. 2017, 56, 13240–13253. [Google Scholar] [CrossRef]
- Lee, J.K.; Lee, I.B.; Han, J. Techno-economic analysis of methanol production from joint feedstock of coke oven gas and basic oxygen furnace gas from steel-making. J. Ind. Eng. Chem. 2019, 75, 77–85. [Google Scholar] [CrossRef]
- Turton, R.; Bailie, R.C.; Whiting, W.B.; Shaeiwitz, J.A. Analysis, Synthesis and Design of Chemical Processes; Pearson Education: London, UK, 2008. [Google Scholar]
- Galera, S.; Ortiz, F.G. Techno-economic assessment of hydrogen and power production from supercritical water reforming of glycerol. Fuel 2015, 144, 307–316. [Google Scholar] [CrossRef]
- Ripken, R.M.; Meuldijk, J.; Gardeniers, J.G.E.; Le Gac, S. Influence of the water phase state on the thermodynamics of aqueous-phase reforming for hydrogen production. ChemSusChem 2017, 10, 4909–4913. [Google Scholar]
- Thattarathody, R.; Artoul, M.; Digilov, R.M.; Sheintuch, M. Pressure, diffusion, and S/M ratio effects in methanol steam reforming kinetics. Ind. Eng. Chem. Res. 2018, 57, 3175–3186. [Google Scholar] [CrossRef]
- Nilsson, T.; Niedderer, H. Undergraduate students’ conceptions of enthalpy, enthalpy change and related concepts. Chem. Educ. Res. Pract. 2014, 15, 336–353. [Google Scholar] [CrossRef]
- Dilmac, O.F.; Ozkan, S.K. Energy and exergy analyses of a steam reforming process for hydrogen production. Int. J. Exergy 2008, 5, 241. [Google Scholar] [CrossRef]
- Luberti, M.; Ahn, H. Review of Polybed pressure swing adsorption for hydrogen purification. Int. J. Hydrogen Energy 2022, 47, 10911–10933. [Google Scholar] [CrossRef]
- Slavin, B.; Wang, R.; Roy, D.; Ling-Chin, J.; Roskilly, A.P. Techno-economic analysis of direct air carbon capture and hydrogen production integrated with a small modular reactor. Appl. Energy 2024, 356, 122407. [Google Scholar] [CrossRef]
- Dickson, R.; Fasahati, P.; Liu, J. Optimal design for integrated macroalgae-based biorefinery via mixed alcohol synthesis. Comput. Aided Chem. Eng. 2019, 46, 253–258. [Google Scholar]









| Equipment | SR | APR |
|---|---|---|
| Pump | – | Discharge pressure: 4 MPa |
| Heat exchanger | Temperature differential between hot outlet and cold inlet: 30 °C | Temperature differential between hot outlet and cold inlet: 30 °C |
| Compressor | Multi-stage (4 stage with 2.51 per stage) isentropic compressor | – |
| Cooler | Cooling water inlet temperature: 30 °C Cooling water outlet temperature: 40 °C | Cooling water inlet temperature: 30 °C Cooling water outlet temperature: 40 °C |
| Reactor | Isothermal Reaction in gaseous phase Operating temperature: 300 °C Operating pressure: 0.1 MPa Catalyst: Cu/ZnO/Al2O3 | Isothermal Reaction in liquid phase Operating temperature: 200 °C Operating pressure: 4 MPa Catalyst: Cu@C |
| Flash drum | – | Operating pressure (flash drum 1): 4 Mpa Operating pressure (flash drum 2): 0.1 MPa |
| PSA | Operating temperature: 40 °C Operating pressure: 4 Mpa Purity of H2-rich product: 99.999% Recovery: 80% | Operating temperature: 40 °C Operating pressure: 4 Mpa Purity of H2-rich product: 99.999% Recovery: 80% |
| Stream Number | Temperature (°C) | Pressure (MPa) | Mass Flow (kg/h) | ||||
|---|---|---|---|---|---|---|---|
| CH3OH | H2O | H2 | CO | CO2 | |||
| 1 | 25 | 0.1 | 358.36 | 201.48 | 0 | 0 | 0 |
| 2 | 75.83 | 0.1 | 358.36 | 201.48 | 0 | 0 | 0 |
| 3 | 300 | 0.1 | 0.01 | 45.89 | 62.5 | 71.35 | 380.09 |
| 4 | 55 | 0.1 | 0.01 | 45.89 | 62.5 | 71.35 | 380.09 |
| 5 | 40 | – | 0 | 44.13 | 0 | 0 | 0 |
| 6 | 40 | 4 | 0.01 | 1.76 | 62.5 | 71.35 | 380.09 |
| 7 | 40 | 4 | 0 | 0 | 50 | 0 | 0 |
| 8 | 40 | 4 | 0.01 | 1.76 | 12.5 | 71.35 | 380.09 |
| Stream Number | Temperature (°C) | Pressure (MPa) | Mass Flow (kg/h) | ||||
|---|---|---|---|---|---|---|---|
| CH3OH | H2O | H2 | CO | CO2 | |||
| 1 | 25 | 0.1 | 343.18 | 183.89 | 0 | 0 | 0 |
| 2 | 170 | 4 | 483.12 | 271.63 | 0 | 0 | 0.32 |
| 3 | 200 | 4 | 148.83 | 88.87 | 62.51 | 8.07 | 446.76 |
| 4 | 97.19 | 4 | 148.83 | 88.87 | 62.51 | 8.07 | 446.76 |
| 5 | 40 | 4 | 148.83 | 88.87 | 62.51 | 8.07 | 446.76 |
| 6 | 40 | 4 | 8.29 | 1.05 | 62.5 | 8.07 | 443.05 |
| 7 | 40 | 4 | 140.54 | 87.82 | 0.01 | 0 | 3.71 |
| 8 | 40 | 4 | 0 | 0 | 50 | 0 | 0 |
| 9 | 40 | 4 | 8.29 | 1.05 | 12.5 | 8.07 | 443.05 |
| 10 | 39.78 | 0.1 | 0.6 | 0.08 | 0.01 | 0 | 3.39 |
| 11 | 39.78 | 0.1 | 139.94 | 87.74 | 0 | 0 | 0.32 |
| Power (kW) | SR | APR |
|---|---|---|
| Reactor | 459.79 | 455.57 |
| Pump | – | 3.8 |
| Compressor | 183.46 | – |
| Cooler | −220.8 | −61.82 |
| SR | APR | |
|---|---|---|
| Capital Cost (kUSD) | ||
| (bare module cost for base case conditions) | 1086.18 | 1037.88 |
| CBM (bare module cost) | 3127.92 | 3420.39 |
| Auxiliary facilities | 543.09 | 518.94 |
| Contingency and fee | 563.03 | 615.67 |
| FCI(fixed capital investment) | 4234.04 | 4555 |
| Fixed operating costs (kUSD/year) | ||
| Operating labor | 150 | 150 |
| Supervisory | 27 | 27 |
| Maintenance and repairs | 254.04 | 273.3 |
| Local taxes and insurance | 135.49 | 145.76 |
| Plant overhead costs | 258.63 | 270.18 |
| Total | 825.16 | 866.24 |
| Variable operating costs (kUSD/year) | ||
| Methanol | 1146.75 | 1098.18 |
| Deionized water | 1.61 | 1.47 |
| Electricity | 113.75 | 2.36 |
| Cooling water | 2.18 | 0.61 |
| Fuel | 79.45 | 78.72 |
| Catalyst | 20 | 40 |
| Total | 1363.75 | 1221.34 |
| Total operating cost | 2188.9 | 2087.58 |
| SR | APR | |||
|---|---|---|---|---|
| Annual Cost (kUSD) | Percentage | Annual Cost (kUSD) | Percentage | |
| Variable operating cost | 1363.75 | 52.68% | 1221.34 | 48.51% |
| Fixed operating cost | 825.16 | 31.88% | 866.24 | 34.41% |
| Annual capital charge | 399.66 | 15.44% | 429.96 | 17.08% |
| Rest of investment cost | 104.41 | 4.03% | 107.10 | 4.25% |
| Bare module cost | 295.25 | 11.41% | 322.86 | 12.82% |
| Total annual cost | 2588.57 | 100% | 2517.54 | 100% |
Disclaimer/Publisher’s Note: The statements, opinions and data contained in all publications are solely those of the individual author(s) and contributor(s) and not of MDPI and/or the editor(s). MDPI and/or the editor(s) disclaim responsibility for any injury to people or property resulting from any ideas, methods, instructions or products referred to in the content. |
© 2024 by the authors. Licensee MDPI, Basel, Switzerland. This article is an open access article distributed under the terms and conditions of the Creative Commons Attribution (CC BY) license (https://creativecommons.org/licenses/by/4.0/).
Share and Cite
Hu, C.; Xu, C.; Xi, X.; He, Y.; Wang, T. Thermodynamic and Techno-Economic Performance Comparison of Methanol Aqueous Phase Reforming and Steam Reforming for Hydrogen Production. Energies 2025, 18, 81. https://doi.org/10.3390/en18010081
Hu C, Xu C, Xi X, He Y, Wang T. Thermodynamic and Techno-Economic Performance Comparison of Methanol Aqueous Phase Reforming and Steam Reforming for Hydrogen Production. Energies. 2025; 18(1):81. https://doi.org/10.3390/en18010081
Chicago/Turabian StyleHu, Changsong, Chao Xu, Xiaojun Xi, Yao He, and Tiejun Wang. 2025. "Thermodynamic and Techno-Economic Performance Comparison of Methanol Aqueous Phase Reforming and Steam Reforming for Hydrogen Production" Energies 18, no. 1: 81. https://doi.org/10.3390/en18010081
APA StyleHu, C., Xu, C., Xi, X., He, Y., & Wang, T. (2025). Thermodynamic and Techno-Economic Performance Comparison of Methanol Aqueous Phase Reforming and Steam Reforming for Hydrogen Production. Energies, 18(1), 81. https://doi.org/10.3390/en18010081

