Numerical Simulation on Pore Size Multiphase Flow Law Based on Phase Field Method
Abstract
1. Introduction
2. Numerical Modeling
2.1. Phase Field Method
2.2. Geometry and Mesh
2.3. Boundary Conditions and Simulation Parameters
3. Results and Discussions
3.1. The Effect of Different Capillary Number
3.2. The Effect of Different Wettability
3.3. Effect of Different Viscosity Ratios
3.4. Effect of Different Interfacial Tension
3.5. The Impact of Cracks
4. Conclusions
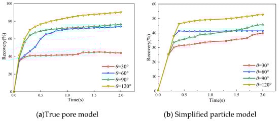
- In the simulation results of the real pore model and simplified particle model, the diffusion details of CO2 displacement process have changed significantly. There are differences in the shape of pointing, the number of dominant flow channels, the sensitivity to influencing factors, and the ultimate recovery efficiency. In the simulation results of the simplified particle model, the number of dominant CO2 flow channels decreased, and the overall recovery efficiency decreased. It is less sensitive to capillary number, rock wettability, and other factors.
- With the decrease in oil-wet strength of rock, the displacement mode changes from finger-like displacement to piston displacement, and the CO2 sweep range becomes wider. At the same time, the breaking frequency of CO2 clusters is reduced, and their continuity is improved. It will promote the gradual convergence of isolated flow channels into sheets, leading to more efficient and complete displacement.
- The displacement pattern changes from capillary finger-pointing to stable displacement by increasing the number of capillaries. When the viscosity of the injected CO2 is closer to that of the oil, the flow resistance between the two phases decreases, enhancing the flow capacity of the CO2 phase and resulting in a higher final recovery efficiency.
- When CO2 is displaced in the dual media with pores and fractures, CO2 will preferentially diffuse along the fractures. There is a pointing phenomenon with an obvious front, and the pointing phenomenon becomes more and more obvious with the passage of time. The morphology of CO2 diffusion is different in the dual media with different fractures. The shape of the fracture basically determines the diffusion form of CO2 in the dual medium.
Author Contributions
Funding
Data Availability Statement
Conflicts of Interest
References
- Brown, K.; Whittaker, S.; Wilson, M.; Srisang, W.; Smithson, H.; Tontiwachwuthikul, P. The history and development of the IEA GHG Weyburn-Midale CO2 Monitoring and Storage Project in Saskatchewan, Canada (the world largest CO2 for EOR and CCS program). Petroleum 2017, 3, 3–9. [Google Scholar] [CrossRef]
- An, S.; Sahimi, M.; Niasar, V. Upscaling hydrodynamic dispersion in non-Newtonian fluid flow through porous media. Water Resour. Res. 2022, 58, e2022WR032238. [Google Scholar] [CrossRef]
- Hu, R.; Wan, J.-Y.; Kim, y.; Tokunaga, T.K. Wettability effects on supercritical CO2–brine immiscible displacement during drainage: Pore-scale observation and 3D simulation. Int. J. Greenh. Gas Control 2017, 60, 129–139. [Google Scholar] [CrossRef]
- Soleymanzadeh, A.; Gahrooei, H.R.E.; Joekar-Niasar, V. A new empirical model for bulk foam rheology. J. Energy Resour. Technol. 2018, 140, 032911. [Google Scholar] [CrossRef]
- Celia, M.A.; Bachu, S.; Nordbotten, J.M.; Bandilla, K.W. Status of CO2 storage in deep saline aquifers with emphasis on modeling approaches and practical simulations. Water Resour. Res. 2015, 51, 6846–6892. [Google Scholar] [CrossRef]
- Zhao, X.-L.; Wang, Z.-L.; Zhao, Y.-Z.; Zuo, J.-Q.; Li, P.; Liang, W.; Wang, B.; Chen, X.; Lei, H.-W.; Jin, G.-G. Coupled thermal-hydrodynamic-mechanical numerical simulation of natural gas hydrate horizontal well depressurization production: Method and application in South China Sea. Nat. Gas Ind. 2022, 42, 138–149. [Google Scholar] [CrossRef]
- Ali, M.; Arif, M.; Sahito, M.F.; Al-Anssari, S.; Keshavarz, A.; Barifcani, A.; Stalker, L.; Sarmadivaleh, M.; Iglauer, S. CO2-wettability of sandstones exposed to traces of organic acids: Implications for CO2 geo-storage. Int. J. Greenh. Gas Control. 2019, 83, 61–68. [Google Scholar] [CrossRef]
- Tahmasebi, P.; Sahimi, M.; Andrade, J.E. Image-based modeling of granular porous media. Geophys. Res. Lett. 2017, 44, 4738–4746. [Google Scholar] [CrossRef]
- Li, Y.-W.; Yang, Y.-F.; Dong, M.-Z.; Liu, C.-F.; Iglauer, S.; Kang, L.-X.; Yao, J.; Zhang, K.; Sun, H.; Zhang, L. Effect of pore structure and capillary number on gas-water flow patterns in carbonate rocks. SPE J. 2022, 27, 1895–1904. [Google Scholar] [CrossRef]
- Yang, L.; Ge, H.-K.; Shi, X.; Cheng, Y.-F.; Zhang, K.-H.; Chen, H.; Shen, Y.-H.; Zhang, J.-J.; Qu, X.-M. The effect of microstructure and rock mineralogy on water imbibition characteristics in tight reservoirs. J. Nat. Gas Sci. Eng. 2016, 34, 1461–1471. [Google Scholar] [CrossRef]
- Rokhforouz, M.; Akhlaghi Amiri, H.A. Phase-field simulation of counter-current spontaneous imbibition in a fractured heterogeneous porous medium. Phys. Fluids 2017, 29, 062104. [Google Scholar] [CrossRef]
- Tsuji, T.; Jiang, F.; Christensen, K.T. Characterization of immiscible fluid displacement processes with various capillary numbers and viscosity ratios in 3D natural sandstone. Adv. Water Resour. 2016, 95, 3–15. [Google Scholar] [CrossRef]
- Hassanpouryouzband, A.; Yang, J.-H.; Tohidi, B.; Chuvilin, E.; Istomin, V.; Bukhanov, B.; Cheremisin, A. Insights into CO2 Capture by Flue Gas Hydrate Formation: Gas Composition Evolution in Systems Containing Gas Hydrates and Gas Mixtures at Stable Pressures. ACS Sustain. Chem. Eng. 2018, 6, 5732–5736. [Google Scholar] [CrossRef]
- Ahfir, N.D.; Hammadi, A.; Alem, A.; Wang, H.-Q.; Le Bras, G.; Ouahbi, T. Porous media grain size distribution and hydrodynamic forces effects on transport and deposition of suspended particles. J. Environ. Sci. 2017, 53, 161–172. [Google Scholar] [CrossRef] [PubMed]
- Rad, M.N.; Shokri, N.; Keshmiri, A.; Withers, P.J. Effects of grain and pore size on salt precipitation during evaporation from porous media. Transp. Porous Media 2015, 110, 281–294. [Google Scholar] [CrossRef]
- Xu, R.; Prodanović, M. Effect of pore geometry on nitrogen sorption isotherms interpretation: A pore network modeling study. Fuel 2018, 225, 243–255. [Google Scholar] [CrossRef]
- Lacey, M.R.; Hollis, C.; Oostrom, M.; Shokri, N. Effects of pore and grain size on water and polymer flooding in micromodels. Energy Fuels 2017, 31, 9026–9034. [Google Scholar] [CrossRef]
- Guo, C.-H.; Wang, X.; Wang, H.; He, S.; Liu, H.; Zhu, P. Effect of pore structure on displacement efficiency and oil-cluster morphology by using micro computed tomography (μCT) technique. Fuel 2018, 230, 430–439. [Google Scholar] [CrossRef]
- Man, H.N.; Jing, X.-D. Network modelling of wettability and pore geometry effects on electrical resistivity and capillary pressure. J. Pet. Sci. Eng. 1999, 24, 255–267. [Google Scholar] [CrossRef]
- Huang, R.-T.; Herring, A.L.; Sheppard, A. Investigation of supercritical CO2 mass transfer in porous media using X-ray micro-computed tomography. Adv. Water Resour. 2023, 171, 104338. [Google Scholar] [CrossRef]
- Prasittisopin, L.; Termkhajornkit, P.; Kim, Y.H. Review of concrete with expanded polystyrene (EPS): Performance and environmental aspects. J. Clean. Prod. 2022, 366, 132919. [Google Scholar] [CrossRef]
- Zhang, Y. Physicalsimulation of staged-fracturing horizontal wells using CO2 huff and puff in tight oil reservoirs. Aeta Pelrolei Sinica. 2015, 36, 724–729. Available online: https://iopscience.iop.org/article/10.1088/1755-1315/371/5/052022/pdf (accessed on 3 November 2024).
- Liu, H.; Tao, J.-P.; Meng, S.-W.; Li, D.-X.; Gao, g.; Gao, Y. Application and prospects of CO2 enhanced oil recovery technology in shale oil reservoir. China Pet. Explor. 2022, 27, 127–134. [Google Scholar] [CrossRef]
- Liu, J.; Zhang, T.; Sun, S.-Y. Mechanism analysis of shale gas adsorption under carbon dioxide–moisture conditions: A molecular dynamic study. Energy Fuels 2022, 36, 14865–14873. [Google Scholar] [CrossRef]
- Zhang, T.; Tang, M.; Ma, Y.-K.; Zhu, G.-P.; Zhang, Q.-H.; Wu, J.; Xie, Z.-Z. Experimental study on CO2/Water flooding mechanism and oil recovery in ultralow-Permeability sandstone with online LF-NMR. Energy 2022, 252, 123948. [Google Scholar] [CrossRef]
- Haeri, F.; Tapriyal, D.; Matranga, C.; Crandall, D.; Goodman, A. Variation of CO2-brine contact angles on natural rocks of different compositions. J. Energy Power Technol. 2021, 3, 1–14. [Google Scholar] [CrossRef]
- Raeini, A.Q.; Yang, J.-H.; Bondino, I.; Bultreys, T.; Blunt, M.J.; Bijeljic, B. Validating the generalized pore network model using micro-CT images of two-phase flow. Transp. Porous Media 2019, 130, 405–424. [Google Scholar] [CrossRef]
- Liu, Q.; Li, J.-L.; Liang, B.; Liu, J.-J.; Sun, W.-J. Complex wettability behavior triggering mechanism on imbibition: A model construction and comparative study based on analysis at multiple scales. Energy 2023, 275, 127434. [Google Scholar] [CrossRef]
- Yang, Y.-F.; Cai, S.-B.; Yao, J.; Zhong, J.-J.; Zhang, K.; Song, W.-H. Pore-scale simulation of remaining oil distribution in 3D porous media affected by wettability and capillarity based on volume of fluid method. Int. J. Multiph. Flow 2021, 143, 103746. [Google Scholar] [CrossRef]
- Zhu, Z.-W.; Liu, J.-J.; Liu, H.-J.; Wu, M.-Y.; Song, Z.-L. Numerical investigation of single- and two-phase flow in porous media with a bifurcated fracture. Phys. Fluids 2021, 33, 052117. [Google Scholar] [CrossRef]
- Rokhforouz, M.R.; Akhlaghi Amiri, H.A. Effects of grain size and shape distribution on pore-scale numerical simulation of two-phase flow in a heterogeneous porous medium. Adv. Water Resour. 2019, 124, 84–95. [Google Scholar] [CrossRef]
- Liu, Q.; Liu, J.-J.; Liang, B.; Sun, W.-J.; He, J.; Lei, Y. The influence of pore structure of the core-scale fracture-controlled matrix unit on imbibition: Model construction and definition of the fractal coefficient. Lithosphere 2022, 2022, 6245345. [Google Scholar] [CrossRef]













Disclaimer/Publisher’s Note: The statements, opinions and data contained in all publications are solely those of the individual author(s) and contributor(s) and not of MDPI and/or the editor(s). MDPI and/or the editor(s) disclaim responsibility for any injury to people or property resulting from any ideas, methods, instructions or products referred to in the content. |
© 2024 by the authors. Licensee MDPI, Basel, Switzerland. This article is an open access article distributed under the terms and conditions of the Creative Commons Attribution (CC BY) license (https://creativecommons.org/licenses/by/4.0/).
Share and Cite
Wu, T.; Yan, C.; Gong, R.; Zhao, Y.; Jiang, X.; Yang, L. Numerical Simulation on Pore Size Multiphase Flow Law Based on Phase Field Method. Energies 2025, 18, 82. https://doi.org/10.3390/en18010082
Wu T, Yan C, Gong R, Zhao Y, Jiang X, Yang L. Numerical Simulation on Pore Size Multiphase Flow Law Based on Phase Field Method. Energies. 2025; 18(1):82. https://doi.org/10.3390/en18010082
Chicago/Turabian StyleWu, Tianjiang, Changhao Yan, Ruiqi Gong, Yanhong Zhao, Xiaoyu Jiang, and Liu Yang. 2025. "Numerical Simulation on Pore Size Multiphase Flow Law Based on Phase Field Method" Energies 18, no. 1: 82. https://doi.org/10.3390/en18010082
APA StyleWu, T., Yan, C., Gong, R., Zhao, Y., Jiang, X., & Yang, L. (2025). Numerical Simulation on Pore Size Multiphase Flow Law Based on Phase Field Method. Energies, 18(1), 82. https://doi.org/10.3390/en18010082

