Model for Joint Operation of Multi-Energy Systems in Energy and Frequency Regulation Ancillary Service Markets Considering Uncertainty
Abstract
1. Introduction
1.1. Motivation
1.2. Literature Review
1.3. Contributions
- (1)
- The scenario reduction method is used to handle the uncertainty of WT and PV output. The interval optimization method is used to study the impact of RES handling uncertainty on market clearing.
- (2)
- A model of joint market clearing involving WT, PV, thermal power, and ES is proposed. Previous research mostly only considered the coupling of two to three energy outputs participating in the market.
- (3)
- The paper studies the bidding and revenue situation of multi-energy coupling bodies in the joint clearing of energy and frequency regulation auxiliary service markets.
2. Problem Description
2.1. The Structure of Proposed Market
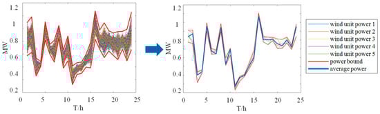
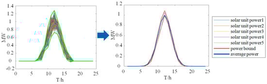
2.2. Uncertainty Modeling for RES Generation
- (1)
- Initialize, set the final target number of scenarios . For the initial scenarios , each with equal probability,Set the initial reduction scenario as and the initial retained scenario as ; both sets record the scenario numbers for reduction and retention.
- (2)
- Calculate the distance between any two scenarios and in , where ; the calculation formula is as follows:
- (3)
- For any scenario , there will be a scenario with the minimum distance to it; calculate the probability product using the following formula:
- (4)
- Among the scenarios , find the smallest and record its scenario number as follows:
- (5)
- Update the reduction scenario set and the retained scenario set .
- (6)
- Determine whether the number in set has reached the preset number . If so, stop the reduction and record the optimal representative scenarios; otherwise, continue with step (2).
2.3. Model Assumptions and Methodological Limitations
- (1)
- Model assumptions
- Probability distribution of scenery output: it is assumed that scenery output follows a normal probability distribution to simplify the computational process and to enable the generation of a representative set of scenarios by random sampling or parsing methods.
- Harmonization of parameter distributions: for each wind and PV generation site, it is assumed that their output characteristics are described by a fixed set of statistical parameters (e.g., mean, variance). These parameters are estimated based on historical data, but are not dynamically adjusted for seasons, weather, or other external factors.
- Perfect information assumption: in the market clearing process, all participants are assumed to have perfect forecast information, i.e., they know all scenarios of wind and light output. However, in reality, forecasts are always subject to errors, so this assumption is not entirely realistic.
- (2)
- Methodological limitations
- Limited representativeness: although the main patterns of scenario output can be captured through scenario generation, it is not possible to exhaust all possibilities due to the limitations of computational resources and technical means. As a result, the final set of selected scenarios can only provide an approximate description and may miss some extreme but important cases.
- Neglecting correlation: to simplify the modeling, we usually assume that the wind and solar outputs between individual generation nodes are independent of each other. In reality, geographic proximity or similar meteorological conditions are often correlated, and this simplification may lead to an underestimation of system risk.
3. The Joint Market Clearing Model of Multi-Energy
3.1. Objective Function for the Joint Market
3.2. Constraints for Multi-Energy Participation in the Energy Market
- (1)
- Thermal power unit constraints: constraint (16) states thermal unit declared capacity constraints. The upper and lower limits of unit output constraints are shown in (17). The ramp rate constraints for thermal units are shown in (18). The constraints of startup and shutdown for units are shown in (19)–(22).
- (2)
- RES constraints: the upper and lower limits on charging and discharging power for ES are shown in (23) and (24).
- (3)
- ES constraints: constraint (25) states the charging and discharging state constraint. Constraints (26) and (27) state the ES capacity constraint. Constraints (28) and (29) state the WT and PV power output constraints. The system balance constraint is shown in (30).
3.3. Constraints for Multi-Energy Participation in the Frequency Regulation Ancillary Service Market
4. Results and Discussion
4.1. Parameter Setting
4.2. Analysis of Market Clearing Results
4.2.1. Analysis of Joint Market Clearing Results
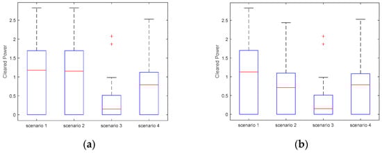
4.2.2. Clearing Price Comparisons at Different Scenarios
4.2.3. Comparison of Bidding Results at Different Scenarios
4.2.4. Comparison of Profit Results at Different Scenarios
5. Conclusions
Author Contributions
Funding
Data Availability Statement
Conflicts of Interest
References
- Jałowiec, T.; Wojtaszek, H. Analysis of the RES Potential in Accordance with the Energy Policy of the European Union. Energies 2021, 14, 6030. [Google Scholar] [CrossRef]
- Marneris, I.G.; Ntomaris, A.V.; Biskas, P.N.; Baslis, C.G.; Chatzigiannis, D.I.; Demoulias, C.S.; Oureilidis, K.O.; Bakirtzis, A.G. Optimal participation of RES aggregators in energy and ancillary services markets. IEEE Trans. Ind. Appl. 2022, 59, 232–243. [Google Scholar] [CrossRef]
- Alexopoulos, D.K.; Anastasiadis, A.G.; Vokas, G.A.; Kaminaris, S.D.; Psomopoulos, C.S. A review of flexibility options for high RES penetration in power systems—Focusing the Greek case. Energy Rep. 2021, 7, 33–50. [Google Scholar] [CrossRef]
- Wang, R.; Wen, X.; Wang, X.; Fu, Y.; Zhang, Y. Low carbon optimal operation of integrated energy system based on carbon capture technology, LCA carbon emissions and ladder-type carbon trading. Appl. Energy 2022, 311, 118664. [Google Scholar] [CrossRef]
- Soares, T.; Carvalho, L.; Morais, H.; Bessa, R.J.; Abreu, T.; Lambert, E. Reactive power provision by the DSO to the TSO considering renewable energy sources uncertainty. Sustain. Energy Grids Netw. 2020, 22, 100333. [Google Scholar] [CrossRef]
- Wang, W.; Yuan, B.; Sun, Q.; Wennersten, R. Application of energy storage in integrated energy systems—A solution to fluctuation and uncertainty of renewable energy. J. Energy Storage 2022, 52, 104812. [Google Scholar] [CrossRef]
- Li, Y.; Yang, Z.; Li, G.; Zhao, D.; Tian, W. Optimal scheduling of an isolated microgrid with battery storage considering load and renewable generation uncertainties. IEEE Trans. Ind. Electron. 2018, 66, 1565–1575. [Google Scholar] [CrossRef]
- Chen, X.; Dong, W.; Yang, Q. Robust optimal capacity planning of grid-connected microgrid considering energy management under multi-dimensional uncertainties. Appl. Energy 2022, 323, 119642. [Google Scholar] [CrossRef]
- Ali, M.; Abdulgalil, M.A.; Habiballah, I.; Khalid, M. Optimal scheduling of isolated microgrids with hybrid renewables and energy storage systems considering demand response. IEEE Access 2023, 11, 80266–80273. [Google Scholar] [CrossRef]
- Yang, X.; Yang, Y.; Liu, Y.; Deng, Z. A reliability assessment approach for electric power systems considering wind power uncertainty. IEEE Access 2020, 8, 12467–12478. [Google Scholar] [CrossRef]
- Chhipa, A.A.; Vyas, S.; Kumar, V.; Joshi, R.R. MPPT optimisation techniques and power electronics for renewable energy systems: Wind and solar energy systems. Int. J. Swarm Intell. 2022, 7, 141–167. [Google Scholar] [CrossRef]
- Djebbri, S.; Ladaci, S.; Metatla, A.; Balaska, H. Fractional-order model reference adaptive control of a multi-source renewable energy system with coupled DC/DC converters power compensation. Energy Syst. 2020, 11, 315–355. [Google Scholar] [CrossRef]
- Gomes, J.G.; Jiang, J.; Chong, C.T.; Telhada, J.; Zhang, X.; Sammarchi, S.; Wang, S.; Li, J. Hybrid solar PV-wind-battery system bidding optimisation: A case study for the Iberian and Italian liberalised electricity markets. Energy 2023, 263, 126043. [Google Scholar] [CrossRef]
- Yang, X.; Fan, L.; Li, X.; Meng, L. Day-ahead and real-time market bidding and scheduling strategy for wind power participation based on shared energy storage. Electr. Power Syst. Res. 2023, 214, 108903. [Google Scholar] [CrossRef]
- Bashir, N.; Irwin, D.; Shenoy, P. A probabilistic approach to committing solar energy in day-ahead electricity markets. Sustain. Comput. Inform. Syst. 2021, 29, 100477. [Google Scholar] [CrossRef]
- Couto, A.; Estanqueiro, A. Exploring wind and solar PV generation complementarity to meet electricity demand. Energies 2020, 13, 4132. [Google Scholar] [CrossRef]
- Li, K.; Wei, L.; Fang, J.; Ai, X.; Cui, S.; Zhu, M.; Wen, J. Incentive-compatible primary frequency response ancillary service market mechanism for incorporating diverse frequency support resources. Energy 2024, 306, 132339. [Google Scholar] [CrossRef]
- Matamala, C.; Badesa, L.; Moreno, R.; Strbac, G. Cost allocation for inertia and frequency response ancillary services. IEEE Trans. Energy Mark. Policy Regul. 2024, 2, 328–338. [Google Scholar] [CrossRef]
- Li, J.; Zhang, J.; Mu, G.; Li, C.; Yan, G.; Zhu, X.; Jia, C. Dynamic partitioning method for independent energy storage zones participating in peak modulation and frequency modulation under the auxiliary service market. Appl. Energy 2024, 361, 122922. [Google Scholar] [CrossRef]
- Wang, X.; Ying, L.; Wen, K.; Lu, S. Bi-level non-convex joint optimization model of energy storage in energy and primary frequency regulation markets. Int. J. Electr. Power Energy Syst. 2022, 134, 107408. [Google Scholar] [CrossRef]
- Khojasteh, M.; Faria, P.; Vale, Z. Energy-constrained model for scheduling of battery storage systems in joint energy and ancillary service markets based on the energy throughput concept. Int. J. Electr. Power Energy Syst. 2021, 133, 107213. [Google Scholar] [CrossRef]
- Khojasteh, M.; Faria, P.; Vale, Z. Scheduling of battery energy storages in the joint energy and reserve markets based on the static frequency of power system. J. Energy Storage 2022, 49, 104115. [Google Scholar] [CrossRef]
- Zhang, G.; Wang, D.; Bo, W.; Liu, Z.; Zhao, Y.; Guo, R.; Shi, J. Trading Strategy of Energy Storage Power Station Participating in the Joint Electric Energy and Frequency Modulation Ancillary Service Market. In International Conference on Power and Electrical Engineering; Springer Nature: Singapore, 2023; pp. 317–327. [Google Scholar]
- Gea-Bermúdez, J.; Das, K.; Koduvere, H.; Koivisto, M.J. Day-ahead market modelling of large-scale highly-renewable multi-energy systems: Analysis of the north sea region towards 2050. Energies 2020, 14, 88. [Google Scholar] [CrossRef]
- Cheng, X.; Lin, J.; Liu, F.; Qiu, Y.; Song, Y.; Li, J.; Wu, S. A coordinated frequency regulation and bidding method for wind-electrolysis joint systems participating within ancillary services markets. IEEE Trans. Sustain. Energy 2022, 14, 1370–1384. [Google Scholar] [CrossRef]
- Xia, S.; Luo, X.; Chan, K.W.; Zhou, M.; Li, G. Probabilistic transient stability constrained optimal power flow for power systems with multiple correlated uncertain wind generations. IEEE Trans. Sustain. Energy 2016, 7, 1133–1144. [Google Scholar] [CrossRef]
- Wang, M.Q.; Gooi, H.B. Spinning reserve estimation in microgrids. IEEE Trans. Power Syst. 2011, 26, 1164–1174. [Google Scholar] [CrossRef]
- Bourcet, J.; Kubilay, A.; Derome, D.; Carmeliet, J. Representative meteorological data for long-term wind-driven rain obtained from Latin Hypercube Sampling–Application to impact analysis of climate change. Build. Environ. 2023, 228, 109875. [Google Scholar] [CrossRef]
- IIT Index of Data [EB/OL]. [2020-06-10]. Available online: http://motor.ece.iit.edu/Data (accessed on 10 April 2024).














| Reference | Generation Units | Uncertainties | Market Structure |
|---|---|---|---|
| [13] | WT, PV, and ES | WT and PV | Energy market |
| [14] | WT | WT | Energy market |
| [15] | WT, PV, and ES | WT, PV, and load | Energy market |
| [19] | ES | None | Energy and frequency regulation ancillary service market |
| [20] | ES and thermal power unit | None | Energy and frequency regulation ancillary service market |
| [22] | ES and thermal power unit | None | Energy and frequency regulation ancillary service market |
| This paper | WT, PV, ES, and thermal power unit | WT and PV | Energy and frequency regulation ancillary service market |
| Unit Number | Node | Pmax (MW) | Pmin (MW) | Generation Bid | Ramp Rate (MW/h) | Startup Cost (RMB/Time) | Shutdown Cost (RMB/Time) |
|---|---|---|---|---|---|---|---|
| 1 | 30 | 150 | 15 | 200 | 0.35 | 1750 | 1250 |
| 2 | 31 | 135 | 20 | 250 | 0.25 | 2000 | 1000 |
| 3 | 32 | 95 | 20 | 250 | 0.3 | 1500 | 750 |
| 4 | 33 | 110 | 20 | 250 | 0.35 | 1500 | 750 |
| 5 | 34 | 115 | 15 | 250 | 0.25 | 1750 | 1000 |
| 6 | 35 | 115 | 20 | 300 | 0.25 | 2000 | 1000 |
| 7 | 36 | 120 | 25 | 300 | 0.35 | 2500 | 1200 |
| 8 | 37 | 135 | 15 | 500 | 0.15 | 2200 | 1100 |
| 9 | 38 | 145 | 15 | 500 | 0.2 | 1760 | 950 |
| 10 | 39 | 120 | 20 | 500 | 0.35 | 1780 | 950 |
| ES Number | Node | Maximum Capacity | Minimum Capacity | Efficiency |
|---|---|---|---|---|
| 1 | 10 | 90% | 10% | 90% |
| 2 | 13 | 92% | 5% | 90% |
| 3 | 19 | 85% | 10% | 90% |
| 4 | 22 | 95% | 5% | 90% |
| Unit Number | Node | Mileage Declared Price | Capacity Declared Price | Frequency Regulation Proportion | Historical Mileage-to-Capacity Ratio |
|---|---|---|---|---|---|
| 1 | 30 | 18 | 12 | 0.1 | 7 |
| 2 | 31 | 18 | 12 | 0.1 | 7 |
| 3 | 32 | 18 | 12 | 0.1 | 7 |
| 4 | 33 | 18 | 12 | 0.1 | 7 |
| 5 | 34 | 18 | 12 | 0.1 | 7 |
| 6 | 35 | 18 | 12 | 0.1 | 7 |
| 7 | 36 | 18 | 12 | 0.1 | 7 |
| 8 | 37 | 18 | 12 | 0.1 | 7 |
| 9 | 38 | 18 | 12 | 0.1 | 7 |
| 10 | 39 | 18 | 12 | 0.1 | 7 |
| Node | Mileage Declared Price | Capacity Declared Price | Frequency Regulation Proportion | Historical Mileage-to-Capacity Ratio |
|---|---|---|---|---|
| 10 | 12 | 15 | 0.5 | 12 |
| 13 | 16 | 13 | 0.5 | 8 |
| 19 | 18 | 20 | 0.5 | 8 |
| 22 | 16 | 24 | 0.5 | 12 |
| Profit (RMB) | Average Profit | Maximum Profit | Minimum Profit |
|---|---|---|---|
| ES (joint market) | 92,653 | 127,620 | 44,890 |
| ES (single energy market) | 52,321 | 88,598 | 18,533 |
| Thermal unit (joint market) | 34,559 | 44,399 | 7873 |
| Thermal unit (single energy market) | 24,098 | 44,068 | 7873 |
Disclaimer/Publisher’s Note: The statements, opinions and data contained in all publications are solely those of the individual author(s) and contributor(s) and not of MDPI and/or the editor(s). MDPI and/or the editor(s) disclaim responsibility for any injury to people or property resulting from any ideas, methods, instructions or products referred to in the content. |
© 2024 by the authors. Licensee MDPI, Basel, Switzerland. This article is an open access article distributed under the terms and conditions of the Creative Commons Attribution (CC BY) license (https://creativecommons.org/licenses/by/4.0/).
Share and Cite
Hao, W.; Liu, Y.; Wang, T.; Zhang, M. Model for Joint Operation of Multi-Energy Systems in Energy and Frequency Regulation Ancillary Service Markets Considering Uncertainty. Energies 2025, 18, 36. https://doi.org/10.3390/en18010036
Hao W, Liu Y, Wang T, Zhang M. Model for Joint Operation of Multi-Energy Systems in Energy and Frequency Regulation Ancillary Service Markets Considering Uncertainty. Energies. 2025; 18(1):36. https://doi.org/10.3390/en18010036
Chicago/Turabian StyleHao, Wenqi, Yuxing Liu, Tao Wang, and Mingmin Zhang. 2025. "Model for Joint Operation of Multi-Energy Systems in Energy and Frequency Regulation Ancillary Service Markets Considering Uncertainty" Energies 18, no. 1: 36. https://doi.org/10.3390/en18010036
APA StyleHao, W., Liu, Y., Wang, T., & Zhang, M. (2025). Model for Joint Operation of Multi-Energy Systems in Energy and Frequency Regulation Ancillary Service Markets Considering Uncertainty. Energies, 18(1), 36. https://doi.org/10.3390/en18010036
