Abstract
To effectively reduce building energy consumption and enhance indoor thermal comfort, this study developed a sensitivity analysis and multi-objective optimization method for an office building in Hangzhou considering the effects of parameter interactions. We utilized Latin hypercube sampling (LHS) to sample the parameters and subsequently simulated the energy consumption and discomfort hours for the building’s four orientations. Following this, Gaussian process regression models were established, and the feature importance ranking method (FIRM) alongside an interaction effects method were employed to quantify the sensitivity of 10 parameters. Lastly, a multi-objective optimization was performed for total energy consumption and discomfort hours, yielding a set of Pareto-optimal solutions. Through the VIKOR method, the optimal solution within the Pareto set was identified, resulting in three sets of optimal solutions.
1. Introduction
According to the report on Chinese Building Energy Consumption and Carbon Emissions (2022), the total energy consumption of buildings in China reached 2.27 billion tce in 2020, representing 45.5% of the country’s total energy consumption. Specifically, energy consumption during the operational phase of buildings accounted for 1.06 billion tce, or 21.3% of the total energy consumption [1]. It is evident that buildings in China consume a significant amount of energy. In the face of global energy shortages, the high energy consumption of buildings has emerged as a pressing global concern [2], underscoring the urgency to explore viable energy-saving strategies for buildings. Building energy-saving design stands out as a pivotal measure to enhance energy efficiency in buildings and foster environmental stewardship [3]. By carefully considering the impact of various measures on energy consumption throughout the building planning, design, construction, and usage phases, effective building energy-saving technologies can be adopted to fulfill the objectives of energy conservation and environmental protection [4].
In the selection of energy-saving measures, it is widely acknowledged that the early stages of architectural design wield significant influence, determining 80% of the cost and energy-efficiency performance of buildings [5]. The design of the building envelope structure exerts a notable impact on the energy efficiency and indoor thermal environment of buildings, and once constructed, it is challenging to alter. Therefore, the selection of appropriate building envelope structures in the initial design phase is crucial for curbing building energy consumption. Presently, numerous building designs integrate various energy-saving measures for the envelope structure, including wall insulation [6,7], roof insulation [8], double-glazed windows [9], shading devices [10], and control over the window-to-wall ratio [11]. For instance, Abdou et al. [12] optimized parameters such as building orientation, window types, window-to-wall ratio, wall and roof insulation, and infiltration to achieve net-zero energy buildings in Moroccan housing, targeting life cycle cost, energy savings, and thermal comfort. Ascione et al. [13] employed a multi-objective optimization method to design the envelope structure of a typical Italian residential building, resulting in two optimal design schemes: a nearly zero energy consumption scheme and a cost-minimizing scheme. These solutions provide a broader array of options and references for building designers to meet energy-saving requirements and users’ economic preferences.
Despite the continuous progress made in optimizing building envelope structures, there remains a dearth of research on the comparative energy-saving efficacy of different measures. Moreover, regions with hot summers and cold winters exhibit complex climates, necessitating consideration of both winter insulation and summer heat insulation [14]. Hence, building on the aforementioned research and local climate characteristics, this study incorporates not only the thermal parameters of the building envelope structure but also factors such as cooling temperature setpoint in summer, heating temperature setpoint in winter, and equipment power. It comprehensively evaluates the impact of various energy-saving measures on heating energy consumption, cooling energy consumption, and total energy consumption, providing a quantitative ranking of the energy-saving effects of these measures.
Ongoing research focuses on the sensitivity of different building variables. Saurbayeva et al. [15] devised a multi-stage sensitivity analysis and multi-objective optimization method for PCM-integrated residential buildings across four different climate zones. By considering energy consumption and economic indicators, their multi-stage sensitivity analysis determined the relative importance of parameters in the early design stage. Subsequently, they employed genetic algorithms for multi-objective optimization to attain the most energy-efficient and cost-effective solutions.
However, Saurbayeva et al. did not account for indoor thermal comfort in their consideration of energy consumption and economics. Indoor thermal comfort is compromised when reducing energy consumption. Therefore, in selecting energy-saving measures, indoor thermal comfort must also be taken into account. Since most individuals spend the majority of their time indoors, the comfort of the indoor environment holds significant importance for occupants’ well-being and productivity [16]. Furthermore, the sensitivity analysis method employed by Saurbayeva et al. did not incorporate interaction effects between parameters and their impact on buildings. Additionally, the two sets of optimal solutions they obtained, one skewed towards energy savings and the other towards economics, fell short of ideal.
Hence, this study integrates the number of uncomfortable hours as a measure to assess indoor thermal comfort alongside building energy consumption during the sensitivity analysis of a building in Hangzhou. Diverging from the sensitivity analysis method used by Saurbayeva et al., this study employs a novel sensitivity analysis method (feature importance ranking measure). This sensitivity analysis method is simpler and more convenient while ensuring accuracy. Concurrently, this study accounts for interaction effects between parameters and their impact on buildings, rendering the final results more credible. Finally, to yield more optimal optimization solutions, the Pareto solutions obtained are compared using the VIKOR method for multi-criteria compromise solution ranking, resulting in superior solutions.
2. Research Methods
Firstly, this study identified parameters and their ranges by reviewing the literature and standards. Then, using DesignBuilder, the parameters were entered to establish the models. Upon completion of model establishment, Latin hypercube sampling (LHS) was employed to sample 200 instances for simulation, achieving better spatial distribution uniformity and avoiding duplicate sampling (see Section 2.1.4). Based on the simulation results, Gaussian process regression models were constructed (see Section 2.1.1) to analyze parameter sensitivity. The feature importance ranking measure (FIRM) method (see Section 2.1.2) was utilized to rank parameter sensitivity, quantifying the sensitivity of each parameter and providing more intuitive sensitivity analysis results. Compared to conventional feature weighting, the FIRM method can achieve more accurate parameter sensitivity ranking. Following the ranking, this study eliminated some parameters with minimal impact and conducted multi-objective optimization on the remaining parameters, resulting in the Pareto optimal frontier comprising 105 sets of parameter configurations.
To ensure the final configurations were scientifically reasonable, the VIKOR method was employed (see Section 2.1.3), applying different weights to rank the 105 sets of configurations and derive a set of preferable parameter configurations. Unlike the solutions with minimal energy consumption and optimal comfort in the multi-objective optimization results, the VIKOR method utilized custom weights to more accurately meet the requirements of designers and researchers.
The innovation of this study lies in the use of the feature importance ranking measure as a novel sensitivity analysis method in building energy analysis. Additionally, this study, while focusing on energy consumption, also considered improving indoor thermal comfort based on discomfort hours. Unlike most previous studies, this research accounts for interaction effects (Figure 1).
Figure 1.
Flowchart of the research.
2.1. Simulation Setup
2.1.1. Simulation Software
DesignBuilderV7 is a comprehensive and user-friendly simulation software specifically developed for EnergyPlusV23-1-0. It facilitates the application of calculation results in graph or table format within other programs. Notably, DesignBuilder encompasses a complete EnergyPlus annual dynamic energy simulation system, alongside HVAC (heating, ventilation, and air-conditioning) systems, and CFD (computational fluid dynamics) for indoor and outdoor airflow simulations. This software enables building simulation through the definition of various parameters, such as the building envelope, occupants’ activities, lighting, and usage of heating and cooling equipment [17].
The objective of this study was to analyze the sensitivity of different energy-saving measures on building energy consumption and discomfort hours, comparing their efficacy across various measures and deriving a prioritized ranking for buildings with different orientations. DesignBuilder perfectly aligns with the study’s requirements for simulating building energy consumption and discomfort hours under specific conditions. Hence, DesignBuilder was selected for establishing energy models and conducting the necessary calculations.
2.1.2. Energy Model
In this study, a typical office building model was created using DesignBuilder to investigate the interdependencies among input parameters, final energy consumption, and discomfort hours through simulation calculations. The building model represents a centrally symmetrical square, three-story office with dimensions of 20 m in width and depth, standing 9 m tall, and encompassing a total area of 1200 square meters (400 square meters per floor), as depicted in Figure 2.
Figure 2.
Office building model.
In the energy consumption calculations, meteorological parameters from the EPW meteorological file of Hangzhou City, Zhejiang Province, China, are utilized. These data, released by the China Meteorological Administration in 2005, offer crucial insights into Hangzhou’s climatic conditions. Hangzhou is positioned in the northern part of the southeastern coastal region of China, within the subtropical monsoon zone. Its climate is typified by distinct seasons and ample rainfall, constituting a subtropical monsoon climate. The city experiences an annual average temperature of 17.8 °C, with an average relative humidity of 70.3%. Moreover, Hangzhou receives annual precipitation of 1454 mm and enjoys approximately 1765 h of sunshine each year. Geographically, Hangzhou lies in the southern portion of the Yangtze River Delta and the Qiantang River Basin. The western region is characterized by hilly terrain, including prominent mountain ranges like Tianmu Mountain, while the eastern part consists of the Zhejiang northern plain, marked by low-lying landforms and an intricate network of rivers and lakes.
In this study, we have chosen to focus on a specific building as a case study to demonstrate the application and effectiveness of the proposed optimization technique. While the methodologies and techniques presented in this paper are tailored to the characteristics of this particular building, they are designed to be adaptable and applicable to a wide range of building types and contexts. The selection of a specific building allows us to illustrate the practical implementation of the methods in a real-world scenario and evaluate their performance under specific conditions. It is important to note that the methodologies described herein can be adjusted and customized by other researchers or practitioners to suit the unique requirements and attributes of their own buildings. By providing a detailed example of their application in a specific context, we aim to offer insights and guidance for the broader application of these optimization techniques in various building projects.
2.1.3. Selection and Range of Simulation Parameters
Before simulating building energy consumption and discomfort hours, it is essential to determine the parameters to be studied. The selection of input parameters, along with their range of values and probability distributions, plays a crucial role in simulation calculations. Defining and selecting these parameters necessitates a substantial amount of effort and expertise, as it requires a deep understanding of relevant building codes, professional knowledge, and simulation techniques. This article establishes the value range of parameters based on national standards in China [18,19], as shown in Table 1.
Table 1.
10 potential energy-saving measures and corresponding input distributions.
In building energy analysis, the values of design parameters significantly impact the sensitivity analysis results of energy consumption. For building design parameters, when specific requirements are absent, a uniform distribution is commonly employed. This implies that different values of parameters have an equal likelihood during the building design stage. Such a uniform distribution is also known as a non-informative distribution, contrasting with informative distributions that reflect special variations in parameters. While all sensitivity analysis methods can handle non-informative distributions, only a few can accommodate informative distributions. Hence, considering the nature of building design and the applicability of sensitivity analysis methods, this study assumes that the values of design parameters follow a uniform distribution.
In this study, the feature importance ranking method (FIRM) is utilized to calculate parameter importance based on variance. The sensitivity analysis assesses the impact of 10 common energy-saving design measures on building energy consumption and discomfort hours. It compares the differences between various energy-saving technologies and derives a prioritized ranking of technical measures for buildings with different orientations. Given the diverse possibilities and equal opportunities for parameters, they are assumed to have continuous data with a uniform distribution. Energy-saving measures and corresponding input is shown in Table 1.
2.1.4. Sampling
In this study, the Latin hypercube sampling (LHS) method is employed to sample and amalgamate parameters. This method offers superior uniformity in spatial distribution while avoiding duplicate sampling. A form of stratified sampling, LHS achieves uniform sampling across multiple parameter dimensions within a database. It is commonly utilized for continuous multi-parameter sampling with known probability distribution curves.
Specifically, when extracting N sampling points from a database comprising L parameters, LHS divides each parameter interval into N equal parts based on their respective probability distributions. This division divides the entire database into NL partitions. Subsequently, one sampling point is selected within each partition interval as the coordinate component of the corresponding parameter’s sampling point. Finally, the coordinate components from each dimension are randomly combined to derive the final set of sampling point coordinates. This process ensures that each parameter’s partition interval is sampled precisely once [20].
The determination of the number of samples is based on the analysis method employed and generally adheres to the principle of having at least 10 variations for each parameter. In this paper, considering the presence of 10 parameters, a minimum of 100 samples is necessitated. To enhance model convergence, 200 samples were taken, resulting in a total of 200 combinations.
2.2. Machine Learning Algorithm Selection
To ensure the models used for analysis accurately represent reality, this study employed multiple algorithms for modeling and compared them to identify the most realistic one. The algorithms utilized for modeling included linear regression, bagged MARS regression, decision tree regression, and Gaussian process regression.
After obtaining the regression models, it is crucial to evaluate their predictive capability. The coefficient of determination (R2) is employed to quantitatively assess the model’s error. Generally, a value of R2 greater than 0.8 indicates that the predictive capability of the regression model meets the required standards [21]. In this study, the R2 values of the established models exceed 0.95.
As depicted in Figure 3 below, the comparison of model results yields four output scenarios, wherein the R2 values of the models are compared.
Figure 3.
Model performance comparison (R2).
It can be observed that in almost all scenarios, the Gaussian process regression algorithm outperforms other algorithms. Therefore, this study selects Gaussian process regression as the algorithm for machine learning models. The R2 of the Gaussian process regression model in each scenario is shown in Table 2.
Table 2.
R2 of the Gaussian process regression model.
2.3. Sensitivity Analysis Methods
2.3.1. Gaussian Process Regression Model
In this study, three Gaussian process models are initially established for each orientation of the building, utilizing cooling energy consumption, heating energy consumption, and discomfort hours as response parameters. The other 10 parameters mentioned in Section 2.1.3 serve as explanatory parameters. Gaussian process regression (GPR) is a machine learning method rooted in statistical learning and Bayesian theory. It is well suited for addressing complex regression problems characterized by small samples, high dimensions, and nonlinearity. GPR exhibits robust learning and generalization capabilities [22]. The Gaussian process regression model is implemented using the R language in this study.
Gaussian process regression inherently provides uncertainty (confidence interval) regarding predictions, directly deriving probability distributions of predicted values. Moreover, by maximizing the marginal likelihood, Gaussian process regression can offer effective regularization effects without necessitating cross-validation. Gaussian process regression encapsulates the mean function (base function ) and covariance function (kernel function ) of the true process within the objective function, where and represent different inputs and signifies the output:
The Gaussian process regression is represented as:
where is the expectation function and is the Gaussian process.
Subsequently, an interpretive analysis is conducted on the three models, and partial dependence plots for the 10 parameters are generated to scrutinize the relationship between individual explanatory parameters and response parameters. The analysis of partial dependence plots facilitates a preliminary comprehension of the extent and nature of influence exerted by different parameters on cooling energy consumption, heating energy consumption, total energy consumption, and discomfort hours.
2.3.2. Feature Importance Ranking Measure (FIRM) and Interaction Effects Analysis
To quantify the importance of parameters on output results during global sensitivity analysis, this study employs the feature importance ranking measure (FIRM), which ranks parameter importance based on variance. Specifically, the “vip” package in R language is utilized to implement the FIRM.
Feature importance is a metric that measures the influence of each feature on the output of a model. In this study, the variance thresholding method is used to calculate importance. In variance thresholding, the variance of each feature is first calculated, and then features with variances greater than a predefined threshold are selected, considering them to have sufficient importance for modeling. Typically, features with smaller variances are considered to have less impact on the target variable, so they can be discarded to reduce the complexity and computational cost of the model.
The FIRM achieves exceptional interpretability by retrospectively analyzing any machine learning model, yielding more accurate rankings of parameter importance compared to standard raw feature weighting methods. Unlike conventional feature weighting methods, the FIRM takes into account potential correlations between features. Thus, even if the noise in the training data obscures the significance of certain features, the FIRM can still identify the most relevant ones [23].
where represents the conditional expectation of feature , , represents the expectation of , and E′ represents the overall expectation.
Moreover, the interaction effects among parameters on building energy consumption and thermal comfort should not be overlooked. Reference [24] suggests that variable importance measures based on partial dependence can also be utilized to quantify the influence of potential interaction effects on energy consumption and discomfort hours. In this study, the “vip” package in R language is employed to analyze the interaction effects among the 45 combinations formed by pairwise combinations of the 10 parameters.
2.3.3. Multi-Objective Optimization and VIKOR Method
After conducting sensitivity analysis on the 10 parameters, a subset of parameters exhibiting significant impacts on building energy consumption and discomfort hours are chosen for multi-objective optimization. In this study, the NSGA-II algorithm is employed to independently perform multi-objective optimization for each orientation of the building. The objectives include reducing energy consumption and minimizing discomfort hours. The NSGA-II algorithm is implemented using MATLAB. Building energy consumption data, discomfort hours, and their corresponding parameter values obtained from simulations are imported into MATLAB. Subsequently, fitting, crossover, and mutation operations are executed to derive multiple Pareto solutions.
Given that the Pareto solutions obtained represent a spectrum of choices, simultaneously reducing energy consumption and discomfort hours poses a challenge. Therefore, in this study, the Pareto solutions are ranked using the VIKOR method to select a more optimal parameter setting scheme, which encompasses more suitable energy-saving measures. The VIKOR method is a multi-attribute decision-making approach based on compromise solutions proposed by Opricovic et al. [25]. Its core concept involves determining the ideal positive solution and ideal negative solution [26,27]. Under conditions of acceptable dominance and a stable decision-making process [28], the ranking of alternatives is established based on their relative proximity to the ideal solutions [29,30]. The solutions derived using the VIKOR method are assigned priority rankings and do not prioritize any specific aspect, thereby resulting in more ideal energy-saving schemes. The specific calculation steps are outlined as follows.
- (1)
- Determine the ideal positive and ideal negative solutions:
- (2)
- Determine group utility values and individual regret values:
- (3)
- Determine the evaluation value:
3. Result Analysis
When analyzing buildings, the orientation of rooms can have a significant impact on the results. Therefore, this study categorizes the rooms inside the building into four types based on their facing directions—east, south, west, and north—and analyzes them separately.
3.1. Heating Energy Consumption
Partial dependence plots are visual tools utilized to illustrate how parameters influence the output results in machine learning models. These plots depict the effect of a single parameter on the output while keeping other parameters constant. The partial dependence diagrams are divided into 10 subplots, each corresponding to 10 parameters. In each subplot, the x-axis represents the feature values of the parameter, while the y-axis represents the average prediction. In the context of heating energy consumption, the unit is kW/h. Within each subplot, there are four lines representing the analysis results for the four directions.
Upon examining Figure 4 for the four orientations, it becomes evident that the influence of the 10 parameters on heating energy consumption is relatively similar. Parameters Tc and Uwin exhibit minimal effects on heating energy consumption, while Infiltration, Th, Uroof, and Uwall demonstrate positive correlations with heating energy consumption. Conversely, HGE, HGL, and SC display negative correlations. Among these parameters, Th exerts the most significant impact on heating energy consumption. Notably, parameter WWR is noteworthy, as it has a negligible influence on heating energy consumption in the north orientation, but exhibits more pronounced effects on the other three orientations, particularly the south orientation.
Figure 4.
Partial dependence diagrams of heating energy consumption (kW/h).
Figure 5 presents the individual importance plots for heating energy consumption in the four orientations. These plots quantitatively assess the impact of the 10 parameters on heating energy consumption using the actual energy consumption variance metric.
Figure 5.
Individual importance plots for heating energy.
From the figure, it is evident that parameters Tc and Uwin have minimal impact on heating energy consumption in all four orientations, while Th and SC have significant effects. However, parameter WWR exhibits minor influence on heating energy consumption in the north orientation, but demonstrates more pronounced impacts in the other three orientations, particularly the south orientation.
Furthermore, parameter SC has the most substantial impact on heating energy consumption in the east, west, and south orientations among the 10 parameters, ranking second for the north orientation (with Th having the highest impact).
In summary, to reduce heating energy consumption, priority should be given to decreasing Th for the north-facing orientation, while for other orientations, priority should be given to increasing SC.
To comprehend the influence of interactions between two parameters on heating energy consumption, we conducted an analysis utilizing the interaction effects method from the “vip” package. This analysis encompassed all pairwise combinations among the 10 parameters, resulting in 45 combinations.
The results, as depicted in Figure 6, reveal that the interaction effects between WWR and SC exert the most significant impact on heating energy consumption in all four orientations. Overall, the interaction effects among the 45 combinations had a relatively smaller impact on the north orientation compared to the other three orientations.

Figure 6.
Interaction effects plots for heating energy.
3.2. Cooling Energy Consumption
Figure 7 illustrates the partial dependence plots for cooling energy consumption in the four orientations. Upon observing these plots, it becomes apparent that the impact of the 10 parameters on cooling energy consumption is relatively similar across the four orientations. Parameters HGE, HGL, SC, and WWR exhibit positive correlations with cooling energy consumption, while parameter Tc shows a negative correlation. The other parameters (Infiltration, Th, Uroof, Uwall, and Uwin) do not significantly influence cooling energy consumption.
Figure 7.
Partial dependence diagrams of cooling energy consumption (kW/h).
Figure 8 displays the individual importance plots for cooling energy consumption in the four orientations. These plots quantitatively rank the impact of the 10 parameters on cooling energy consumption using the actual energy consumption variance metric. From the figure, it can be observed that among the 10 parameters, parameter SC has the most prominent effect on cooling energy consumption in all four orientations. Parameter WWR exerts a much greater influence on cooling energy consumption in the west, south, and east orientations compared to parameter Tc, ranking second among the 10 parameters. However, both parameters WWR and Tc have nearly equal impacts on cooling energy consumption in the north orientation. Meanwhile, the effects of parameters Uroof, Th, Infiltration, Uwall, and Uwin on cooling energy consumption are relatively small across all four orientations. Overall, the impact of the 10 parameters on cooling energy consumption is slightly smaller in the north orientation compared to the other three orientations.
Figure 8.
Individual importance plots for cooling energy.
In summary, to reduce cooling energy consumption, priority should be given to decreasing SC for all orientations. Subsequently, consideration can be given to increasing Tc or decreasing WWR.
To understand the influence of interactions between two parameters on cooling energy consumption, we conducted an analysis using the interaction effects method from the “vip” package. This analysis considered all pairwise combinations among the 10 parameters, resulting in 45 combinations.
The results are presented in Figure 9, which indicates that the interaction effects between WWR and SC have the most substantial impact on cooling energy consumption in all four orientations. Overall, the interaction effects among the 45 combinations had a relatively smaller influence on the north orientation compared to the other three orientations.

Figure 9.
Interaction effects plots for cooling energy.
3.3. Total Energy Consumption
Figure 10 illustrates the partial dependence plots for total energy consumption in the four orientations. Upon observing these plots, it is evident that the impact of the 10 parameters on total energy consumption is relatively similar across the four orientations. Parameters HGE, HGL, Infiltration, SC, Th, and WWR exhibit positive correlations with total energy consumption, while parameter Tc shows a negative correlation. The other parameters (Uroof, Uwall, and Uwin) do not significantly influence total energy consumption.
Figure 10.
Partial dependence diagrams of total energy consumption (kW/h).
Figure 11 displays the individual importance plots for total energy consumption in the four orientations. These plots quantitatively rank the impact of the 10 parameters on total energy consumption using the actual energy consumption variance metric. From the figure, it can be observed that among the 10 parameters, parameter SC has the most prominent effect on total energy consumption in all four orientations. Parameter WWR has a greater influence on total energy consumption in the west, south, and east orientations compared to parameter Tc, ranking second among the 10 parameters. However, both parameters WWR and Tc have nearly equal impacts on total energy consumption in the north orientation. Meanwhile, parameters Infiltration, Uroof, Uwall, and Uwin have relatively small effects on total energy consumption across all four orientations. Overall, the impact of the 10 parameters on total energy consumption is slightly smaller in the north orientation compared to the other three orientations.
Figure 11.
Individual importance plots for total energy.
In summary, to reduce total energy consumption, priority should be given to decreasing SC for all orientations. Subsequently, consideration can be given to decreasing WWR.
To understand the influence of interactions between two parameters on total energy consumption, we conducted an analysis using the interaction effects method from the “vip” package. This analysis considered all pairwise combinations among the 10 parameters, resulting in 45 combinations.
The results are presented in Figure 12, which indicates that the interaction effects between WWR and SC have the most substantial impact on total energy consumption in all four orientations. Overall, the interaction effects among the 45 combinations had a relatively smaller influence on the north orientation compared to the other three orientations.

Figure 12.
Interaction effects plots for total energy.
3.4. Discomfort Hours
Figure 13 presents the partial dependence plots for discomfort hours in the four orientations. Upon observing these plots, it is apparent that the impact of the 10 parameters on discomfort hours is relatively similar across the four orientations. Parameters Tc and WWR exhibit positive correlations with discomfort hours, while parameter Th shows a negative correlation. The other parameters do not significantly influence discomfort hours.
Figure 13.
Partial dependence diagrams of discomfort hours (hour).
Figure 14 displays the individual importance plots for discomfort hours in the four orientations. These plots quantitatively rank the impact of the 10 parameters on discomfort hours using the actual discomfort hours variance metric. From the figure, it can be observed that among the 10 parameters, Tc has the most significant impact on discomfort hours in all four orientations, with the highest impact observed in the south orientation. Parameters Th and WWR have greater effects on discomfort hours in the east and west orientations compared to the other two orientations, with the least impact observed in the south orientation. The remaining parameters have relatively small influences on discomfort hours across all four orientations.
Figure 14.
Individual importance plots for discomfort hours.
In conclusion, when designing for building energy efficiency, it is important to avoid setting Tc too high to prevent excessive degradation of indoor thermal comfort.
To understand the influence of interactions between two parameters on discomfort hours, we conducted an analysis using the interaction effects method from the “vip” package. This analysis considered all pairwise combinations among the 10 parameters, resulting in 45 combinations.
The results are presented in Figure 15, which reveals varying sensitivities to the interaction effects among different orientations. For the north orientation, combinations involving Tc and SC, Tc and WWR, Tc and Uwin, and Uroof and SC demonstrate the most significant interaction effects, while the combination of Uwall and HGE has the smallest interaction effect. For the west orientation, combinations of Tc and WWR, Tc and SC exhibit the most significant interaction effects, while the combination of Uwall and Uroof has the smallest interaction effect. For the south orientation, the combination of Tc and WWR displays the most significant interaction effect, while the combination of HGL and SC has the smallest interaction effect. Finally, for the east orientation, the combination of Tc and WWR demonstrates the most significant interaction effect, while the combination of Uwin and Infiltration has the smallest interaction effect.

Figure 15.
Interaction effects plots for discomfort hours.
3.5. Convergence Analysis of the Model
When building machine learning models, it is typically important to ensure that the model exhibits stable responses to fluctuations in data and that its performance stabilizes as the sample size increases. This process of ensuring the convergence of the model is called convergence analysis. Convergence plots are tools used to visualize convergence, allowing researchers to observe the stability of the model and how its performance varies with changes in sample size.
The general approach to creating convergence plots involves gradually increasing the sample size and observing how model outcomes (such as sensitivity indices, errors, etc.) change with the sample size. Typically, we plot the mean and standard deviation ranges to demonstrate the stability of model outcomes. By plotting convergence plots, we can intuitively understand the performance of the model at different sample sizes and assess whether the model has converged.
In Figure 16, each curve represents the variation in the average sensitivity index for a particular direction (or dataset) with different sample sizes. If the curves stabilize with increasing sample size and the fluctuation range of the average sensitivity index is small, it can be demonstrated that the model has converged. Additionally, the standard deviation range in the convergence plot can provide information about the uncertainty of model outcomes, aiding in the evaluation of the model’s reliability.
Figure 16.
Convergence analysis plot.
3.6. Multi-Objective Optimization Analysis
In this study, MATLAB was utilized to conduct multi-objective optimization for four orientations, aiming to minimize total energy consumption and discomfort hours. Seven (Tc, Th, WWR, HGE, HGL, Infiltration, and SC) of 10 parameters that significantly influenced total energy consumption were selected as decision parameters. After 105 iterations, the optimization process converged, yielding the Pareto optimal solutions for the four orientations, as depicted in Figure 17. Notably, the trends of the Pareto optimal solutions across the orientations were similar, indicating a negative correlation between discomfort hours and total energy consumption. It is evident that optimizing one objective compromises the other, underscoring the need to strike a balance between the two objectives in decision-making processes.
Figure 17.
Pareto optimal solutions for discomfort hours and energy consumption in different orientations.
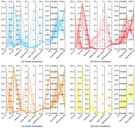
To comprehend the relationship between objectives and parameters in all optimized results, a parallel coordinate plot was employed for analysis, as depicted in Figure 18. This figure illustrates the distribution ranges of Pareto solutions after conducting multi-objective optimization, highlighting the relationships between seven parameters and both total energy consumption and discomfort hours. Notably, in these Pareto optimal solutions, some optimization parameters exhibited similar concentrated intervals across the four orientations. For instance, the distribution pattern of parameter Tc appeared relatively dispersed across all orientations. Parameter Th showed optimal solutions clustered around 18 °C (18–18.4 °C) and approximately 22 °C across all orientations. Regarding parameter HGE, optimal solutions were concentrated around 10 (10.0–10.5) for all orientations. Additionally, the optimal solutions for parameter Infiltration predominantly fell within the range of 0.25–0.28 ac/h across all orientations.
Figure 18.
Relationship between objective functions and parameters in Pareto optimal solutions for different orientations.
However, significant differences exist in the concentrated intervals of optimization parameters among the four orientations for the remaining parameters. For parameter HGL, the optimal solutions for the north orientation exhibit a larger distribution range (4.0–4.5 W/m2), whereas those for the other three orientations are mainly clustered between 4.0 and 4.2 W/m2. Concerning parameter SC, the optimal solutions for the north orientation display a broader distribution range, predominantly falling between 0.32 and 0.33, while the other three orientations are distributed within the range of 0.30–0.32. In terms of parameter WWR, the smallest distribution range of optimal solutions is observed in the west orientation, with some values less than 20.10%, whereas the other three orientations mainly fall within the range of 20.10–20.40%.
3.7. VIKOR-Based Solutions
Based on the Pareto solutions derived from multi-objective optimization, this study employed the VIKOR method to identify three sets of preference solutions. These preference solutions were determined using three sets of custom weights: 0.75 and 0.25 (favoring energy consumption), 0.25 and 0.75 (favoring indoor thermal comfort), and 0.5 and 0.5 (balancing energy consumption and indoor thermal comfort considerations). The final solutions were ranked based on the benefit evaluation value, where a smaller value indicates a more favorable solution. Table 3 displays the results for energy consumption preference solutions, Table 4 presents the results for indoor thermal comfort preference solutions, and Table 5 shows the compromise solutions that incorporate both factors. These three solutions are sorted from the Pareto solutions based on varying weights, determined by the benefit evaluation value. Tailored to different preferences, these solutions offer optimal parameter configurations suited for rooms with diverse orientations.
Table 3.
Energy consumption preference solutions.
Table 4.
Indoor thermal comfort preference solutions.
Table 5.
Compromise solutions.
To ensure the comprehensiveness of the study, solutions with the minimum energy consumption and the highest thermal comfort from the Pareto solutions were also included for comparison with the energy consumption preference and indoor thermal comfort preference solutions derived using the VIKOR method. The comparison shows that the minimum energy consumption solution in the Pareto solutions is the same as the energy consumption preference solutions obtained using the VIKOR method. However, disparities were observed between the best thermal comfort solutions from the Pareto solutions and the thermal comfort preference solutions obtained by VIKOR. Table 6 illustrates the best thermal comfort solution from the Pareto solutions. In comparison to the best thermal comfort solution from the Pareto solutions, the thermal comfort preference solutions identified by VIKOR led to a reduction in energy consumption by 2% (north), 3% (west), 4% (south), and 2% (east) for the four orientations, while also increasing the number of discomfort hours by 1% (north), 1% (west), 3% (south), and 0.3% (east).
Table 6.
Optimal thermal comfort solutions in Pareto solutions.
Overall, by controlling the weights reasonably, the solutions acquired through the VIKOR method avoid excessive bias towards a single variable, rendering the final results more scientifically grounded. This approach streamlines the process of result selection post-optimization for designers, enabling them to directly access outcomes that account for both energy consumption and indoor thermal comfort. Consequently, the methodology employed in this study enhances design efficiency.
4. Discussion
Based on the results of sensitivity analysis, distinct energy-saving measures can be implemented for various orientations in regions experiencing hot summers and cold winters. For instance, concerning heating energy consumption, the parameter Th exhibits the most significant impact on north-facing orientations, while its influence is comparatively less on the other three orientations. Conversely, for the remaining orientations, SC emerges as the primary influential factor. Consequently, to reduce heating energy consumption, emphasis should be placed on decreasing Th for north-facing orientations, whereas for other orientations, priority should be given to increasing SC.
Furthermore, this study reveals that apart from the factor Th during the operational phase of the building, SC exerts the most substantial influence on heating energy consumption. This finding contrasts with those in [31], where Cheng et al. considered Uwin to have the greatest influence on heating energy consumption. This disparity may be attributed to differences in sensitivity analysis methodologies employed and variations in the building model’s geometry. Concerning total energy consumption, SC and WWR demonstrate notable sensitivity, while building orientation and Uwin were deemed more significant in their research [31]. The findings regarding cooling energy consumption mirror those of total energy consumption. It is noteworthy that this study did not integrate the variable of building orientation. Instead, it solely analyzed the building’s four orientations. The authors’ study [32] suggests that WWR has the most substantial impact on building energy consumption. In contrast to their findings, this research indicates that SC exerts a greater influence on building energy consumption compared to WWR, particularly concerning heating energy consumption, where the impact of WWR is minimal. Consequently, considering building orientation as a parameter will be factored into future studies.
Diverging from previous studies [13,15], this research not only aims to reduce energy consumption but also enhance indoor thermal comfort. Among the factors influencing the number of discomfort hours, Tc has the most significant impact on all four orientations, while Th and WWR exhibit some influence, but not significantly. The remaining parameters have a relatively minor impact on the number of discomfort hours. Therefore, when pursuing energy-efficient building design, it is crucial to avoid setting Tc excessively high, which could compromise indoor thermal comfort levels.
The interaction effects between parameters also warrant attention when evaluating their impact on energy consumption and indoor thermal comfort in buildings, a consideration that has received relatively less attention in prior studies. For heating energy consumption, the interaction effect between WWR and SC proves to be the most impactful. Consequently, while enhancing SC, increasing WWR can also lead to improved energy efficiency. Likewise, for cooling energy consumption and total energy consumption, the interaction effect between WWR and SC remains paramount. However, in these instances, it is advisable to decrease both factors to achieve favorable energy-saving outcomes.
This study conducted multi-objective optimization to derive more precise parameter settings. Subsequently, the VIKOR method was employed to identify three sets of preferred solutions from the Pareto set, corresponding to different preferences. This approach streamlines the process of determining preferred solutions from numerous Pareto solutions, thereby enhancing the efficiency of designers’ decision-making.
The sensitivity analysis method proposed in this study can be applied across diverse environments without geographical or climatic constraints. Moreover, considering various building orientations and integrating indoor thermal comfort as an output factor renders the entire sensitivity analysis process more rational, scientific, and comprehensive. However, the final solutions provided in this study primarily focus on energy savings and indoor thermal comfort, overlooking aspects such as daylighting and ventilation. Consequently, there remains room for improvement in the final solutions.
5. Conclusions
In order to effectively mitigate energy consumption while ensuring indoor thermal comfort across rooms with diverse orientations, this study conducted a comprehensive analysis of parameter sensitivity to both energy consumption and discomfort hours. Through multi-objective optimization of parameters exhibiting significant impacts, this research endeavored to identify optimal solutions. Utilizing the VIKOR method, the study delineates several key findings: energy consumption preference solutions, indoor thermal comfort preference solutions, and compromise solutions that strike a balance between the two aspects.
During the sensitivity analysis, notable disparities emerge in parameter impacts across rooms with distinct orientations. In particular, concerning heating energy consumption, parameter Th exerts the most pronounced influence on rooms facing north, whereas its impact is relatively minor for rooms oriented in other directions. Conversely, for rooms with orientations other than north, parameter SC emerges as the most influential. However, across all orientations, no significant disparities are observed in other respects. Notably, the heat transfer coefficients of the building envelope structure exhibit insignificant effects on building energy consumption, as indicated by the sensitivity analysis results. To achieve reduced energy consumption, it is advisable to moderately increase Tc and decrease SC in summer, while decreasing Th and increasing SC in winter. Regarding the influential parameter WWR, efforts should be made during the building design phase to minimize its value. Controlling Tc is crucial to ensure indoor thermal comfort while meeting energy-saving objectives. In conclusion, it is advisable to avoid excessively low or high temperatures during cooling and heating. In building design, reducing the proportion of transparent curtain walls and incorporating adjustable external shading techniques can contribute to energy efficiency in buildings.
Author Contributions
Data curation, P.X.; Writing—original draft, Y.Z.; Writing—review & editing, J.Y. and R.Z. All authors have read and agreed to the published version of the manuscript.
Funding
This research received no external funding.
Data Availability Statement
The raw data supporting the conclusions of this article will be made available by the authors on request.
Conflicts of Interest
The authors declare no conflict of interest.
References
- Cai, W.G.; Wu, Y.; Ni, J.B.; Yu, Y.H.; Wu, J.S.; Fu, Y.; Wang, B.; Shao, Q.; Fu, Y.B.; Hu, S.W.; et al. 2022 Research Report of China Building Energy Consumption and Carbon Emissions. In Proceedings of the Annual Meeting of China Building Energy Conservation Association, Chongqing, China, 28 December 2022. [Google Scholar]
- Pierangioli, L.; Cellai, G.; Ferrise, R.; Trombi, G.; Bindi, M. Effectiveness of Passive Measures against Climate Change: Case Studies in Central Italy. Build. Simul. 2017, 10, 459–479. [Google Scholar] [CrossRef]
- Fang, Z.; Li, N.; Li, B.; Luo, G.; Huang, Y. The Effect of Building Envelope Insulation on Cooling Energy Consumption in Summer. Energy Build. 2014, 77, 197–205. [Google Scholar] [CrossRef]
- Boyano, A.; Hernandez, P.; Wolf, O. Energy Demands and Potential Savings in European Office Buildings: Case Studies Based on EnergyPlus Simulations. Energy Build. 2013, 65, 19–28. [Google Scholar] [CrossRef]
- Zhang, Z.; Wang, W.; Song, J.; Wang, Z.; Wang, W. Multi-objective optimization of ultra-low energy consumption buildings in severely cold regions considering life cycle performance. Sustainability 2014, 24, 16440. [Google Scholar] [CrossRef]
- Chan, A.L.S.; Chow, T.T. Thermal Performance of Air-Conditioned Office Buildings Constructed with Inclined Walls in Different Climates in China. Appl. Energy 2014, 114, 45–57. [Google Scholar] [CrossRef]
- Li, Y.; Yao, J.; Li, R.; Zhang, Z.; Zhang, J. Thermal and Energy Performance of a Steel-Bamboo Composite Wall Structure. Energy Build. 2017, 156, 225–237. [Google Scholar] [CrossRef]
- Li, Z.; Chow, D.H.C.; Yao, J.; Zheng, X.; Zhao, W. The Effectiveness of Adding Horizontal Greening and Vertical Greening to Courtyard Areas of Existing Buildings in the Hot Summer Cold Winter Region of China: A Case Study for Ningbo. Energy Build. 2019, 196, 227–239. [Google Scholar] [CrossRef]
- Yu, J.; Yang, C.; Tian, L.; Liao, D. Evaluation on Energy and Thermal Performance for Residential Envelopes in Hot Summer and Cold Winter Zone of China. Appl. Energy 2009, 86, 1970–1985. [Google Scholar] [CrossRef]
- Yao, J. An Investigation into the Impact of Movable Solar Shades on Energy, Indoor Thermal and Visual Comfort Improvements. Build. Environ. 2014, 71, 24–32. [Google Scholar] [CrossRef]
- Su, X.; Zhang, X. Environmental Performance Optimization of Window–Wall Ratio for Different Window Type in Hot Summer and Cold Winter Zone in China Based on Life Cycle Assessment. Energy Build. 2010, 42, 198–202. [Google Scholar] [CrossRef]
- Abdou, N.; EL Mghouchi, Y.; Hamdaoui, S.; Asri, N.E.L.; Mouqallid, M. Multi-Objective Optimization of Passive Energy Efficiency Measures for Net-Zero Energy Building in Morocco. Build. Environ. 2021, 204, 108141. [Google Scholar] [CrossRef]
- Ascione, F.; Bianco, N.; Mauro, G.M.; Napolitano, D.F. Building Envelope Design: Multi-Objective Optimization to Minimize Energy Consumption, Global Cost and Thermal Discomfort. Application to Different Italian Climatic Zones. Energy 2019, 174, 359–374. [Google Scholar] [CrossRef]
- Yu, J.; Yang, C.; Tian, L.; Liao, D. A Study on Optimum Insulation Thicknesses of External Walls in Hot Summer and Cold Winter Zone of China. Appl. Energy 2009, 86, 2520–2529. [Google Scholar] [CrossRef]
- Saurbayeva, A.; Memon, S.A.; Kim, J. Integrated Multi-Stage Sensitivity Analysis and Multi-Objective Optimization Approach for PCM Integrated Residential Buildings in Different Climate Zones. Energy 2023, 278, 127973. [Google Scholar] [CrossRef]
- Zhou, F.; Wang, Z.; Su, X.; Yang, Y.; Duanmu, L.; Zhou, X.; Lian, Z.; Zhai, Y.; Cao, B.; Zhang, Y.; et al. Study on the Thermal Adaptation Model During the Transition Season in Hot Summer and Cold Winter Regions. Heat. Vent. Air Cond. 2022, 52, 132–136. [Google Scholar] [CrossRef]
- Jun, L.; Xu, W. Optimization Study of Energy Efficiency and Comfort in University Teaching Buildings Based on DesignBuilder. Resid. Ind. 2023, 266, 27–31. [Google Scholar]
- Wei, X.; Yu, Z.; Hongqing, X. Design Standard for Energy Efficiency of Public Buildings; China Architecture & Building Press: Beijing, China, 2015. [Google Scholar]
- Ministry of Housing and Urban-Rural Development of the People’s Republic of China. Standard for Lighting Design of Buildings; China Architecture & Building Press: Beijing, China, 2013.
- Ji, J.; Chen, S.; Wang, Y.; Han, X. Study on the Influence of Improved Latin Hypercube Sampling Selected Wave Method on Seismic Vulnerability of RC Frame Structures. J. Civ. Eng. 2022, 55, 18–26. [Google Scholar] [CrossRef]
- Marrel, A.; Iooss, B.; Van Dorpe, F.; Volkova, E. An Efficient Methodology for Modeling Complex Computer Codes with Gaussian Processes. Comput. Stat. Data Anal. 2008, 52, 4731–4744. [Google Scholar] [CrossRef]
- Xiaojun, Y.; Wu, D. Prediction of Mechanical Properties of Recycled Concrete Based on Bayesian Optimization Gaussian Process Regression Method. Sci. Technol. Eng. 2023, 23, 2968–2975. [Google Scholar]
- Zien, A.; Krämer, N.; Sonnenburg, S.; Rätsch, G. The Feature Importance Ranking Measure. In Machine Learning and Knowledge Discovery in Databases. ECML PKDD; Buntine, W., Grobelnik, M., Mladenić, D., Shawe-Taylor, J., Eds.; Lecture Notes in Computer Science; Springer: Berlin/Heidelberg, Germany, 2009; Volume 5782. [Google Scholar] [CrossRef]
- Greenwell, B.M.; Boehmke, B.C.; McCarthy, A.J. A simple and effective model-based variable importance measure. arXiv 2018, arXiv:1805.04755. [Google Scholar]
- Opricovic, S. Multicriteria optimization of civil engineering systems. Fac. Civ. Eng. 1998, 2, 5–21. [Google Scholar]
- Wang, X. Construction and Evaluation of Regional Innovative Ecosystem Based on VIKOR Method: A Case Study of Wuxi City. Mod. Mark. 2021, 2, 166–169. [Google Scholar] [CrossRef]
- Yang, F.; Zhou, W.; Lu, X.; Tian, Y.; Kong, R.; Cai, Q. Research on Utilization Direction of Open-Pit Coal Mining Based on VIKOR Method. Coal Mine Saf. 2021, 52, 237–242. [Google Scholar] [CrossRef]
- Yang, H.; Tan, Y.; Sun, X.; Cheng, X.; Liu, G.; Zhou, G. Comprehensive Evaluation of Water Resource Carrying Capacity in Weifang City Based on VIKOR Method. Acta Sci. Circumstantiae 2020, 40, 716–723. [Google Scholar] [CrossRef]
- Opricovic, S.; Tzeng, G.-H. Compromise Solution by MCDM Methods: A Comparative Analysis of VIKOR and TOPSIS. Eur. J. Oper. Res. 2004, 156, 445–455. [Google Scholar] [CrossRef]
- Opricovic, S.; Tzeng, G.-H. Extended VIKOR Method in Comparison with Outranking Methods. Eur. J. Oper. Res. 2007, 178, 514–529. [Google Scholar] [CrossRef]
- He, C.; Tian, W.; Shao, Z. Impacts of Courtyard Envelope Design on Energy Performance in the Hot Summer–Cold Winter Region of China. Buildings 2022, 12, 173. [Google Scholar] [CrossRef]
- Yan, Q.; Dexuan, S. Sensitivity Analysis of Influencing Factors of Passive Energy-saving Design of Office Buildings in Shanghai. Huazhong Archit. 2023, 41, 73–78. [Google Scholar] [CrossRef]
Disclaimer/Publisher’s Note: The statements, opinions and data contained in all publications are solely those of the individual author(s) and contributor(s) and not of MDPI and/or the editor(s). MDPI and/or the editor(s) disclaim responsibility for any injury to people or property resulting from any ideas, methods, instructions or products referred to in the content. |
© 2024 by the authors. Licensee MDPI, Basel, Switzerland. This article is an open access article distributed under the terms and conditions of the Creative Commons Attribution (CC BY) license (https://creativecommons.org/licenses/by/4.0/).