State-of-Health Estimation for Industrial H2 Electrolyzers with Transfer Linear Regression
Abstract
1. Introduction
- for gas turbines: normalized power output [10];
- voltage under the reference condition () as a state-of-health indicator for electrolyzers operated under arbitrary conditions,
- an empirical model for electrolyzer voltage validated with the operation data of industrial electrolyzers,
- a transfer learning algorithm for linear regression models,
- iterative application of the algorithm to time-series data for continuous state-of-health estimation for industrial electrolyzers.
2. Problem Description
2.1. Operation Data of an Industrial Electrolyzer
- Voltage: the average of the single-cell voltages of all electrolyzer cells in a stack, measured with sensors attached to the bipolar plate of each cell.
- Current: the direct current (DC) output of the rectifier supplying power to the electrolyzer stack.
- Temperature: the average stack temperature derived from the mean of the inlet and outlet temperature measurements.
2.2. An Empirical Model for Electrolyzer Voltage
2.3. Limited Operation Range
3. Method
3.1. Data-Enriched Linear Regression
3.2. Transfer Linear Regression
3.2.1. Mathematical Formulation
- it can capture the model drift caused by degradation,
- it tackles the problem of limited data coverage due to constant operation,
- it is suitable for a linear model,
- it is computationally efficient by not including a second dataset,
- and its model transfer mechanism is easy to interpret.
3.2.2. Application on Time-Series Data
| Algorithm 1 Apply TLR on time-series data |
| Input: Initial coefficients , hyperparameters and , time series data X and Y segmented into n intervals (, ), … (, ) |
| Output: Coefficients for all n intervals , … |
| for to n do |
| end for |
3.2.3. Setting Initial Coefficients
3.2.4. Impacts of Hyperparameters and
- Setting forces . This leads to ; that is, the linear coefficients do not change over time; therefore, we expect high fitting errors along the time series.
- In contrast, setting implies no constraint on the size of . Equation (9) becomesthat is, is estimated freely by minimizing the fitting error. The freedom of leads to the freedom of (11), meaning that is not influenced by the previous coefficient . This is equivalent to independent fitting for each interval. In this case, we expect fluctuating and low fitting errors along the time series.
3.2.5. Setting
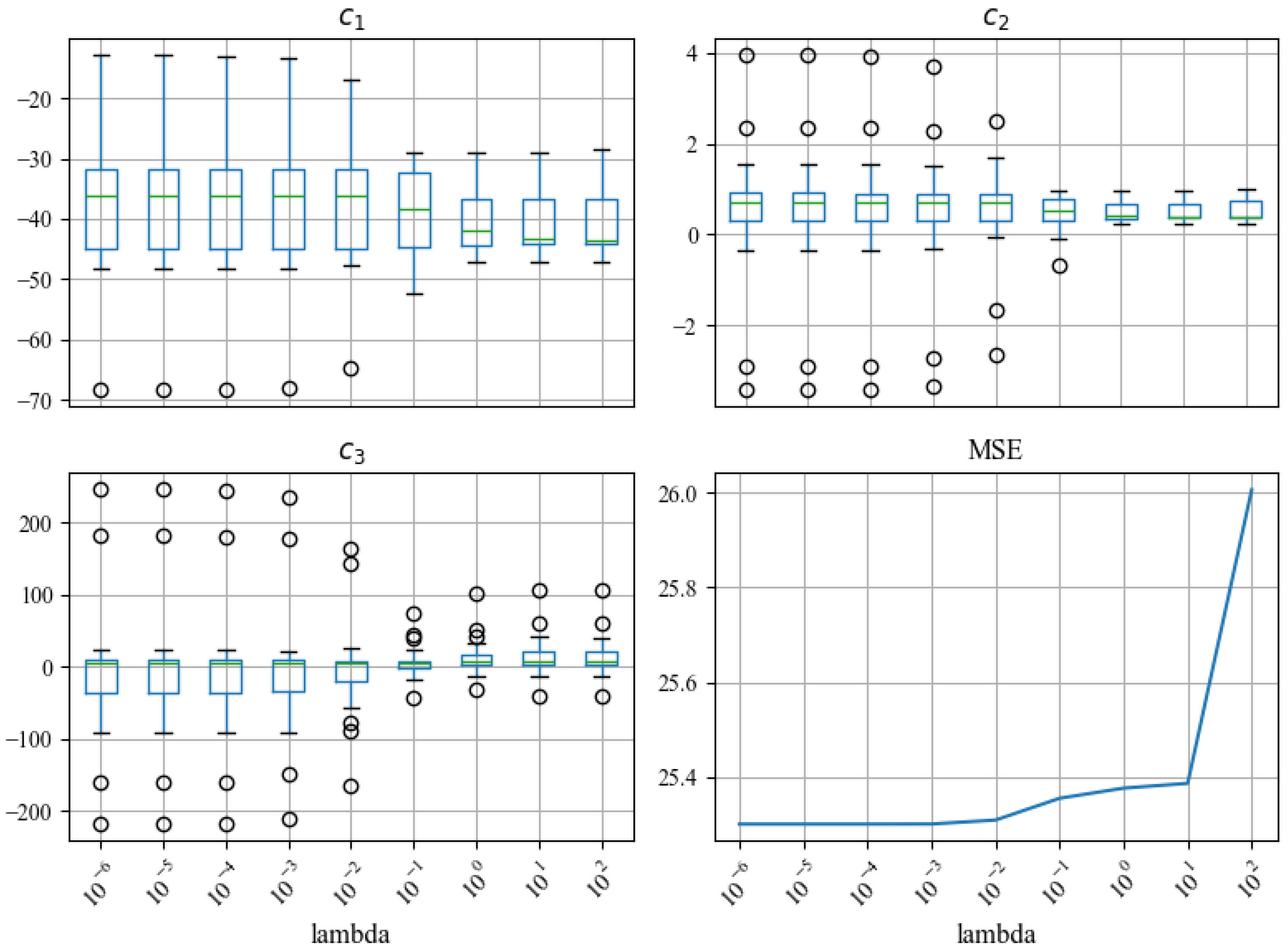
3.2.6. Setting Diagonal Elements in
- (a) the coefficient varies largely by nature over time.
- (b) the variable p covers a wide range during an interval. (In this case, can be easily identified because of the wide data coverage, so we allow it to be fitted flexibly with the data. On the contrary, if the variable p covers only a small range in interval i, such as in example day 2 in Figure 4, we fix toward ).
| Algorithm 2 Setting diagonal elements in for electrolyzers |
|
4. Evaluation
4.1. Method Validation with Synthetic Data
4.2. Method Validation with Industrial Operation Data
5. Discussion
5.1. Validity of the Empirical Voltage Model
5.2. Use Prior Degradation Knowledge to Assist Model Fitting
6. Conclusions
Supplementary Materials
Author Contributions
Funding
Data Availability Statement
Conflicts of Interest
Abbreviations
| DC | Direct current |
| MSE | Mean squared error |
| PEM | Proton exchange membrane |
| PLR | Plain linear regression |
| TLR | Transfer linear regression |
Appendix A. Derivation of Equation (8)
References
- Smolinka, T.; Ojong, E.T.; Lickert, T. Fundamentals of PEM water electrolysis. In PEM Electrolysis for Hydrogen Production; CRC Press: Boca Raton, FL, USA, 2015; pp. 11–33. [Google Scholar]
- Rizwan, M.; Alstad, V.; Jäschke, J. Design considerations for industrial water electrolyzer plants. Int. J. Hydrogen Energy 2021, 46, 37120–37136. [Google Scholar] [CrossRef]
- Xue, B.; Xu, H.; Huang, X.; Zhu, K.; Xu, Z.; Pei, H. Similarity-based prediction method for machinery remaining useful life: A review. Int. J. Adv. Manuf. Technol. 2022, 121, 1501–1531. [Google Scholar] [CrossRef]
- Zhang, Y.; Wik, T.; Bergström, J.; Pecht, M.; Zou, C. A machine learning-based framework for online prediction of battery ageing trajectory and lifetime using histogram data. J. Power Sources 2022, 526, 231110. [Google Scholar] [CrossRef]
- Severson, K.A.; Attia, P.M.; Jin, N.; Perkins, N.; Jiang, B.; Yang, Z.; Chen, M.H.; Aykol, M.; Herring, P.K.; Fraggedakis, D.; et al. Data-driven prediction of battery cycle life before capacity degradation. Nat. Energy 2019, 4, 383–391. [Google Scholar] [CrossRef]
- Shu, X.; Shen, J.; Li, G.; Zhang, Y.; Chen, Z.; Liu, Y. A flexible state-of-health prediction scheme for lithium-ion battery packs with long short-term memory network and transfer learning. IEEE Trans. Transp. Electrif. 2021, 7, 2238–2248. [Google Scholar] [CrossRef]
- Che, Y.; Deng, Z.; Lin, X.; Hu, L.; Hu, X. Predictive battery health management with transfer learning and online model correction. IEEE Trans. Veh. Technol. 2021, 70, 1269–1277. [Google Scholar] [CrossRef]
- Sønderskov, S.H.; Ilsøe, J.W.; Rasmussen, D.; Blom-Hansen, D.; Munk-Nielsen, S. State of Health Estimation and Prediction of Fuel Cell Stacks in Backup Power Systems. engrXiv 2019. [Google Scholar] [CrossRef]
- Zhang, D.; Baraldi, P.; Cadet, C.; Yousfi-Steiner, N.; Bérenguer, C.; Zio, E. An ensemble of models for integrating dependent sources of information for the prognosis of the remaining useful life of Proton Exchange Membrane Fuel Cells. Mech. Syst. Signal Process. 2019, 124, 479–501. [Google Scholar] [CrossRef]
- Olsson, T.; Ramentol, E.; Rahman, M.; Oostveen, M.; Kyprianidis, K. A data-driven approach for predicting long-term degradation of a fleet of micro gas turbines. Energy AI 2021, 4, 100064. [Google Scholar] [CrossRef]
- Mao, W.; He, J.; Sun, B.; Wang, L. Prediction of bearings remaining useful life across working conditions based on transfer learning and time series clustering. IEEE Access 2021, 9, 135285–135303. [Google Scholar] [CrossRef]
- Zhao, H.; Liu, H.; Jin, Y.; Dang, X.; Deng, W. Feature extraction for data-driven remaining useful life prediction of rolling bearings. IEEE Trans. Instrum. Meas. 2021, 70, 1–10. [Google Scholar] [CrossRef]
- Yang, X.; Fang, Z.; Li, X.; Yang, Y.; Mba, D. Similarity-based information fusion grey model for remaining useful life prediction of aircraft engines. Grey Syst. Theory Appl. 2021, 11, 463–483. [Google Scholar] [CrossRef]
- Huang, C.G.; Huang, H.Z.; Peng, W.; Huang, T. Improved trajectory similarity-based approach for turbofan engine prognostics. J. Mech. Sci. Technol. 2019, 33, 4877–4890. [Google Scholar] [CrossRef]
- Liu, Y.; Hu, X.; Zhang, W. Remaining useful life prediction based on health index similarity. Reliab. Eng. Syst. Saf. 2019, 185, 502–510. [Google Scholar] [CrossRef]
- Wang, H.; Ni, G.; Chen, J.; Qu, J. Research on rolling bearing state health monitoring and life prediction based on PCA and Internet of things with multi-sensor. Measurement 2020, 157, 107657. [Google Scholar] [CrossRef]
- Yu, W.; Kim, I.Y.; Mechefske, C. Remaining useful life estimation using a bidirectional recurrent neural network based autoencoder scheme. Mech. Syst. Signal Process. 2019, 129, 764–780. [Google Scholar] [CrossRef]
- Yu, W.; Kim, I.Y.; Mechefske, C. Analysis of different RNN autoencoder variants for time series classification and machine prognostics. Mech. Syst. Signal Process. 2021, 149, 107322. [Google Scholar] [CrossRef]
- Tsotridis, G.; Pilenga, A. EU Harmonised Protocols for Testing of Low Temperature Water Electrolysers; European Comission: Brussels, Belgium, 2021. [Google Scholar]
- Li, N.; Araya, S.S.; Kær, S.K. Long-term contamination effect of iron ions on cell performance degradation of proton exchange membrane water electrolyser. J. Power Sources 2019, 434, 226755. [Google Scholar] [CrossRef]
- Weiß, A.; Siebel, A.; Bernt, M.; Shen, T.H.; Tileli, V.; Gasteiger, H. Impact of intermittent operation on lifetime and performance of a PEM water electrolyzer. J. Electrochem. Soc. 2019, 166, F487. [Google Scholar] [CrossRef]
- Suermann, M.; Bensmann, B.; Hanke-Rauschenbach, R. Degradation of proton exchange membrane (PEM) water electrolysis cells: Looking beyond the cell voltage increase. J. Electrochem. Soc. 2019, 166, F645. [Google Scholar] [CrossRef]
- Asudeh, A.; Jin, Z.; Jagadish, H. Assessing and remedying coverage for a given dataset. In Proceedings of the 2019 IEEE 35th International Conference on Data Engineering (ICDE), Macao, China, 8–11 April 2019; pp. 554–565. [Google Scholar]
- Shorten, C.; Khoshgoftaar, T.M. A survey on image data augmentation for deep learning. J. Big Data 2019, 6, 1–48. [Google Scholar] [CrossRef]
- Wen, Q.; Sun, L.; Yang, F.; Song, X.; Gao, J.; Wang, X.; Xu, H. Time series data augmentation for deep learning: A survey. arXiv 2020, arXiv:2002.12478. [Google Scholar]
- Demir, S.; Mincev, K.; Kok, K.; Paterakis, N.G. Data augmentation for time series regression: Applying transformations, autoencoders and adversarial networks to electricity price forecasting. Appl. Energy 2021, 304, 117695. [Google Scholar] [CrossRef]
- Wang, Y.; Yao, Q.; Kwok, J.T.; Ni, L.M. Generalizing from a few examples: A survey on few-shot learning. ACM Comput. Surv. 2020, 53, 1–34. [Google Scholar] [CrossRef]
- Weiss, K.; Khoshgoftaar, T.M.; Wang, D. A survey of transfer learning. J. Big Data 2016, 3, 1–40. [Google Scholar] [CrossRef]
- Guidotti, R.; Monreale, A.; Ruggieri, S.; Turini, F.; Giannotti, F.; Pedreschi, D. A survey of methods for explaining black box models. ACM Comput. Surv. 2018, 51, 1–42. [Google Scholar] [CrossRef]
- Chen, A.; Owen, A.B.; Shi, M. Data enriched linear regression. Electron. J. Stat. 2015, 9, 1078–1112. [Google Scholar] [CrossRef]
- Gross, S.M.; Tibshirani, R. Data Shared Lasso: A novel tool to discover uplift. Comput. Stat. Data Anal. 2016, 101, 226–235. [Google Scholar] [CrossRef]
- Bouveyron, C.; Jacques, J. Adaptive linear models for regression: Improving prediction when population has changed. Pattern Recognit. Lett. 2010, 31, 2237–2247. [Google Scholar] [CrossRef][Green Version]
- Dar, Y.; Baraniuk, R.G. Double double descent: On generalization errors in transfer learning between linear regression tasks. SIAM J. Math. Data Sci. 2022, 4, 1447–1472. [Google Scholar] [CrossRef]
- Obst, D.; Ghattas, B.; Cugliari, J.; Oppenheim, G.; Claudel, S.; Goude, Y. Transfer learning for linear regression: A statistical test of gain. arXiv 2021, arXiv:2102.09504. [Google Scholar]
- Atlam, O.; Kolhe, M. Equivalent electrical model for a proton exchange membrane (PEM) electrolyser. Energy Convers. Manag. 2011, 52, 2952–2957. [Google Scholar] [CrossRef]
- Sossan, F.; Bindner, H.; Madsen, H.; Torregrossa, D.; Chamorro, L.R.; Paolone, M. A model predictive control strategy for the space heating of a smart building including cogeneration of a fuel cell-electrolyzer system. Int. J. Electr. Power Energy Syst. 2014, 62, 879–889. [Google Scholar] [CrossRef]
- Abomazid, A.M.; El-Taweel, N.A.; Farag, H.E. Novel analytical approach for parameters identification of PEM electrolyzer. IEEE Trans. Ind. Inform. 2021, 18, 5870–5881. [Google Scholar] [CrossRef]
- Krenz, T.; Weiland, O.; Trinke, P.; Helmers, L.; Eckert, C.; Bensmann, B.; Hanke-Rauschenbach, R. Temperature and Performance Inhomogeneities in PEM Electrolysis Stacks with Industrial Scale Cells. J. Electrochem. Soc. 2023, 170, 044508. [Google Scholar] [CrossRef]
- Falcão, D.; Pinto, A. A review on PEM electrolyzer modelling: Guidelines for beginners. J. Clean. Prod. 2020, 261, 121184. [Google Scholar] [CrossRef]













| Values of λ or | 0 | ∞ | |
|---|---|---|---|
| Impact on | |||
| Coefficient shift | Not constrained | Shrink to 0 | |
| Coefficient | is flexibly fitted with data in interval i, not influenced by . | ||
| Trend of overtime | Fluctuating | Constant | |
| Fitting error | Low | High | |
Disclaimer/Publisher’s Note: The statements, opinions and data contained in all publications are solely those of the individual author(s) and contributor(s) and not of MDPI and/or the editor(s). MDPI and/or the editor(s) disclaim responsibility for any injury to people or property resulting from any ideas, methods, instructions or products referred to in the content. |
© 2024 by the authors. Licensee MDPI, Basel, Switzerland. This article is an open access article distributed under the terms and conditions of the Creative Commons Attribution (CC BY) license (https://creativecommons.org/licenses/by/4.0/).
Share and Cite
Yan, X.; Locci, C.; Hiss, F.; Nieße, A. State-of-Health Estimation for Industrial H2 Electrolyzers with Transfer Linear Regression. Energies 2024, 17, 1374. https://doi.org/10.3390/en17061374
Yan X, Locci C, Hiss F, Nieße A. State-of-Health Estimation for Industrial H2 Electrolyzers with Transfer Linear Regression. Energies. 2024; 17(6):1374. https://doi.org/10.3390/en17061374
Chicago/Turabian StyleYan, Xuqian, Carlo Locci, Florian Hiss, and Astrid Nieße. 2024. "State-of-Health Estimation for Industrial H2 Electrolyzers with Transfer Linear Regression" Energies 17, no. 6: 1374. https://doi.org/10.3390/en17061374
APA StyleYan, X., Locci, C., Hiss, F., & Nieße, A. (2024). State-of-Health Estimation for Industrial H2 Electrolyzers with Transfer Linear Regression. Energies, 17(6), 1374. https://doi.org/10.3390/en17061374

