Abstract
The presence of alternating current (AC) resistance in overhead conductors contributes to additional energy losses during electrical energy transmission and affects the current-carrying capacity of the lines. However, a standardized measurement method for AC resistance remains unavailable. This paper presents the design of an experimental platform for measuring the AC resistance of conductors using an electrical measurement approach in conjunction with the least squares method. In the experiments, data were collected for four conductors, including current, AC resistance, and temperature. The study analyzes the relationships among the AC resistance of the conductors, their temperature, and the AC/DC resistance ratio as the current varies. The results from measuring the AC/DC resistance ratio indicate that the platform is effective for AC resistance measurement and can serve as a valuable reference for evaluating the AC losses of existing line conductors.
1. Introduction
The safety and reliability of overhead transmission lines have a significant impact on power supply stability for users, making the selection of appropriate conductors crucial for ensuring stable operation of the power grid. Conductor selection must consider factors such as thermal performance, energy loss, and current-carrying capacity [1,2,3]. Among these factors, both thermal performance and energy loss are positively correlated with the conductor’s AC resistance [4,5]. Additionally, calculating a conductor’s current-carrying capacity at a given temperature requires determining its AC resistance through the thermal balance equation [6,7]. Thus, obtaining accurate AC resistance measurements of conductors under actual operating conditions is essential for ensuring the stable operation of overhead lines, assessing transmission efficiency, and optimizing line design.
However, due to the complex, multi-layered, and twisted structure of the conductors, AC resistance is affected not only by the intrinsic properties of the conductor, but also by external environmental factors such as ambient temperature fluctuations and solar radiation [8,9,10]. Therefore, it is impossible to fully express AC resistance through a single formula, and commonly used algorithms for AC resistance—such as Morgan’s algorithm, the Japanese JCS 0374:2003 standard, and the IEC/TR 61597-2021 standard—include various approximations and omissions [11,12]. For example, Morgan’s algorithm does not account for the impact of steel core loss on current distribution in aluminum conductors and requires repeated table iterations for calculation, with some input parameters being difficult to obtain [13,14]. JCS 0374:2003 standard only considers the impact of current density, but it overlooks important factors such as the number of aluminum wire layers and strands, resulting in an overestimation of the calculated skin effect resistance [15]. The IEC/TR 61597-2021 standard equates the skin effect to coefficient k1 and the combined effects of the proximity effect and hysteresis losses to coefficient k2. By substituting the recommended values of k1 and k2 based on the cross-sectional areas of the conductor and the steel core, AC resistance can be estimated. However, this method overly simplifies the selection process for these coefficients, allowing only for a rough estimation of the conductor’s AC resistance [16,17].
Simultaneously, no simulation model can fully account for or accurately simulate the comprehensive effects of all influencing factors [18,19,20]. Therefore, direct measurement of AC resistance through experimental methods has become the most reliable and effective approach [21]. Currently, mainstream experimental measurement techniques can be categorized into two types: thermal methods and electrical methods [22,23].
The thermal measurement method is grounded in thermodynamic principles and the law of energy conservation. This method involves placing the conductor under test in a closed system with a known heat transfer coefficient, such as a well-insulated tubular container. An alternating current is applied to the conductor, causing it to generate heat and subsequently raise the temperature of the surrounding environment. Once the temperature stabilizes, the heat loss power generated by the alternating current can be calculated by measuring the temperature on the conductor’s surface, as well as the inner and outer surfaces of the closed tube, and the initial ambient temperature. According to Joule’s law, the resistance value of the conductor can then be deduced. However, this method heavily relies on the accuracy of temperature measurements and may be affected by the complexities of heat conduction and radiation, which can impact measurement precision [24].
The electrical measurement method encompasses both comparative and direct measurement techniques [8]. Comparative methods include AC bridge measurement, lock-in amplifier measurement, and the galvanometer method [25,26,27]. The AC bridge method, while relatively simple in setup, demands skilled operators and a lengthy measurement process. In contrast, the lock-in amplifier requires complex adjustments, and its accuracy is highly dependent on the stability of the reference signal. Any instability or noise in the reference signal directly impacts the precision of the results. Lastly, the galvanometer method is unsuitable for factory measurements due to its operational complexity and extended testing time. Therefore, comparative measurement methods are used less frequently. The direct measurement method determines the AC resistance of the conductor by directly measuring the phase difference between the voltage and current across the conductor. The measurement principle is relatively simple, and the equipment setup is not complex. By connecting both ends of a certain length of cable conductor to form a measurement loop, current is applied to the conductor, and voltage and current signals at both ends are recorded. The AC resistance per unit length of the conductor is then calculated using Formula (1):
where U represents the RMS voltage of the conductor, I is the RMS current, L is the length of the conductor, and θ is the phase difference between the voltage and current. Junfeng Xia et al. applied this method to measure the AC/DC resistance ratio of conductors and a 3.5-m-long overhead line at various temperatures, and the results were consistent with the theoretical analysis values [28]. Guoli Wang et al. tested the AC/DC resistance and the temperature-resistance relationship of six different types of conductors, each approximately 12 m in length, at various temperatures. They proposed that reducing the external inductance of the conductors could enhance the accuracy of AC resistance measurements [29]. Xianbo Deng et al. used this method to measure the AC resistance of large cross-section high-voltage cables and concluded that increasing the compression ratio and the number of strands can effectively reduce the AC resistance [30]. Wang Xin measured the AC resistance of a 2.5-m-long XLPE power cable conductor and suggested that for large cross-section cable conductors of 800 mm2, using segmented conductors is the most effective approach to reduce AC resistance, achieving a maximum reduction of approximately 7.5% [22].
Previous studies on AC resistance measurement have primarily focused on the measurement process itself, often overlooking the temperature variation of conductors during actual operation [27,28]. Additionally, the conductor lengths used of previous experiments were typically much shorter than those in real operating conditions, limiting the applicability of these measurements to practical scenarios [22]. Furthermore, many studies relied on newly manufactured conductors directly from the factory, which do not accurately reflect the internal state changes that occur in conductors after prolonged field operation [29]. To address these limitations, this paper develops an experimental platform designed to measure the AC resistance of a 60-m conductor using a direct measurement method, closely replicating the actual operating conditions of overhead conductors.
The experiment combines the conductor loop equation with the least squares method to ensure precise AC resistance determination. Temperature sensors are integrated within the platform to monitor transient and steady-state temperature rise as well as the AC/DC resistance ratio. These recorded parameters collectively demonstrate that the experimental platform not only effectively simulates real-world conditions but also provides high measurement accuracy and reliability, offering a more comprehensive understanding of conductor behavior under actual operational conditions. Through this experimental setup, the study analyzes the relationships among the conductor’s AC resistance, transient temperature changes during the experiment, steady-state temperature, and AC/DC resistance ratio as current varies, and compares the results with theoretical values derived from Morgan’s algorithm. These findings provide practical data for evaluating energy losses and current-carrying capacity in transmission lines, serving as a valuable reference for optimizing future power transmission system designs.
2. Theoretical Calculation of AC Resistance
Although the Morgan’s algorithm involves certain approximations, it remains the primary method for the theoretical calculation of AC resistance per unit length. Therefore, this paper also employs Morgan’s algorithm. Under temperature T2, the AC resistance per unit length of the conductor can be derived using the following Equation (2):
where RT2AC is the AC resistance per unit length of the conductor, ΔR1 is the resistance increment due to eddy currents and hysteresis, and ΔR2 accounts for the resistance increment due to skin effect and proximity effect. The DC resistance of the conductor increases linearly with temperature:
where T1 and T2 represent two different temperatures, RT2DC is the DC resistance at temperature T2, RT1DC is the DC resistance at temperature T1, and α is the temperature coefficient of resistance at temperature T1. According to IEC 62641:2022 [31], the DC resistance of conductors is specified for RT1DC at 20 °C. When current flows through a conductor, assuming the axial current is negligible and considering that the current flows in the helical path of the aluminum strands within the conductor, the alternating current induces a magnetic field that increases the resistance [13,14]. This increase can be calculated using Equation (4):
where f is the frequency, AG represents the total cross-sectional area of the steel core (cm2), m denotes the layer of the aluminum conductor, Nm is the total number of turns of the aluminum conductor in layer m, and nm refers to the number of strands in layer m. lm represents the pitch length of the aluminum conductor in layer m, Nm = nm/lm. while μ is the integrated magnetic permeability of the steel core, and tanδ is the tangent of the magnetic loss angle. N stands for the total number of aluminum strands in the conductor. In this formula, (−1)m−1 accounts for the alternating stranding direction of adjacent layers of aluminum conductors, which results in opposing magnetic flux directions. Both μ and tanδ are determined by the corresponding magnetic field strength H, which can be calculated using Equation (5) [13,14].
First, set the current I to an approximate value, then calculate H. Next, use the steel wire diameter and H from Table 1 to obtain the value of μ·tanδ [13,14]. If the calculated value of H differs from the values listed in the table, apply a quadratic interpolation method to determine the result.
Table 1.
Value of μ·tanδ corresponding to different magnetic field strengths. (Morgan’s algorithm).
Due to the skin effect and the neighborhood effect contributing to the resistance increment ΔR2, the conductivity of the steel core can be neglected. Thus, the steel core aluminum stranded conductor can be treated as a conductive tube. The skin effect and the relative resistance increment caused by the neighborhood effect can be calculated using Equation (6). When the spacing between conductors exceeds five times the outer diameter, the effect of the neighborhood effect becomes negligible and can be ignored.
where X is the resistance increment factor due to the skin effect, and ϕ is the resistance increment factor due to the proximity effect. In this experiment, the influence of the proximity effect is neglected because the distance between conductors is much greater than 5 times the outer diameter of the conductor. The calculation methods for X are shown in Equations (7)–(13).
where: DG is the outer diameter of the steel core, in centimeters (cm). D are the stranded conductor, diameters (cm). In the equations, A; β; z; a; b and γ are all intermediate variables used in the calculations and do not have practical significance.
3. Experimental Platform and Data Processing
3.1. Experimental Platform
The experiment was conducted in the architecture laboratory of Southwest University in Chongqing, China, which measures 61 m in length, 13 m in height, and 15 m in width. Iron frames were positioned at both ends of the laboratory to simulate the structure of transmission line towers. The conductors on both sides were tensioned manually using tighteners, and the iron frames were connected to the overhead line via insulators to ensure insulation. A force transducer recorded the force required to elevate the conductors. A laser distance sensor (Keyence LR-TB2000, Keyence Corporation, Osaka, Japan) was installed at the lowest point of the overhead line’s sag to accurately measure the minimum sag of the conductors. Additionally, an S10 mini-integrator (Shanghai PinYan Measurement and Control Technology, Shanghai, China) was integrated into the system and connected to an oscilloscope for current measurement. The S10 mini-integrator is a specialized device used for measuring current signals, primarily functioning to integrate and analyze current signals to obtain precise waveform data. The temperature rise of the two overhead lines was monitored using an 8-channel temperature sensor (Victory Instruments VC8801-8, Beijing, China). This temperature sensor is equipped with corresponding upper-level software for real-time temperature display. The VC8801-8 is capable of simultaneously measuring temperatures at multiple points while providing real-time data recording and analysis. To ensure efficient conduction of current and voltage, conductivity-enhanced copper conductors were crimped at both ends of the lines, and SPL fast connectors were employed to link the copper conductors to the voltage oscilloscope probes for voltage signal acquisition. The SPL fast connectors are designed to minimize the impact on current and voltage measurements, featuring low contact resistance that renders the effects on measurement errors negligible.
Each wire used in the experiment was 59.17 m in length. To establish the circuit and ensure optimal conductivity, a highly conductive copper plate was securely fixed between the two lines using appropriate fittings. To achieve a tight connection and minimize any potential impact on the experimental results, the copper plate was adhered to the surface of the wires using graphite conductive adhesive. An experimental study was conducted under laboratory conditions to investigate the connections between copper plates and wires. The results showed that the temperature rise in both cases was essentially the same. The analysis of temperature variations indirectly confirmed that the contact resistance generated by the copper plate connection has a negligible effect on the AC resistance of the wire and can be disregarded.
The experiment utilized an alternating current of 220 V at a frequency of 50 Hz, with the current passing through air switches and a transformer before being connected to a high-current generator to supply power to the overhead lines. The high-current generator, produced by Liaoning Lingyuan Precision Instrumentation Factory, controls the input voltage by adjusting the transformer’s output voltage, thereby regulating the output current. The maximum current output utilized in this experiment is 800 A, and the ambient temperature of the laboratory is 33 °C. The overall layout of the experimental platform is illustrated in Figure 1 and Figure 2, the circuit diagram used in the experiment is shown in Figure 3.
Figure 1.
Experimental platform.
Figure 2.
The actual installation of the experimental platform.
Figure 3.
Circuit diagram used in the experiment.
To investigate the variation in AC resistance with current for conductors of different cross-sectional areas, this study selected three groups of steel-reinforced aluminum conductors with varying cross-sectional areas: JL/G1A-185/25, JL/G1A-300/25, and JL/G1A-400/35, along with the energy-efficient conductor JL3/G1A-300/25, which has the same cross-sectional area as JL/G1A-300/25. The performance parameters of the four conductors are shown in Table 2.
Table 2.
Comparison of performance parameters of conductors used in the experiment.
3.2. Experimental Process
Before each experiment, two conductors were suspended using tensioners to a minimum height of 1 m above the ground to ensure consistency in experimental conditions. To minimize the impact of surface particulates on the experimental results, the conductor surfaces were polished with sandpaper prior to the experiment. To ensure stability of the thermocouples during the experiment, they were attached to the lowest point of conductor sag using high-temperature insulating adhesive. Four thermocouples were installed on each conductor, positioned on the top, bottom, left, and right sides to reduce data fluctuation. The thermocouple installation is shown in Figure 4, with the Rogowski coil on the right.
Figure 4.
The actual installation of the thermocouple.
The experiment was conducted in a temperature-stable indoor environment, with the room temperature controlled at +32 °C and fluctuations kept within ±1 °C, while air movement was minimized to approximately zero to avoid environmental temperature impacts on the conductor’s temperature. JL/G1A-185/25 and JL/G1A-400/35 conductors were tested as one group, while JL/G1A-300/25 and JL3/G1A-300/25 conductors were tested as another, with each group positioned on opposite sides of the circuit. The current applied during the experiment was based on the conductors’ stable operating temperatures, set at 40 °C, 50 °C, 60 °C, 70 °C, and 80 °C. When temperature fluctuations remained within ±1 °C for more than half an hour, it was considered that the conductor had reached a stable operating temperature.
After stabilization, the average readings from the four thermocouples on the same conductor were recorded as the conductor’s stable temperature (the computer was equipped with software for real-time temperature display). The voltage signal was obtained through an SPL fast connector voltage probe, while a Rogowski coil wrapped around the conductor, along with an integrator, captured the current integral signal. Both voltage and current signals were input into two channels of an oscilloscope. Once the temperature stabilized, the experiment recorded the conductor’s terminal voltage U, current I, conductor temperature, ambient temperature, and minimum ground clearance. This procedure was followed for each experiment.
3.3. Data Processing
In data analysis, accurate estimation of resistance and inductance parameters is essential for system modeling and control. This paper employs the least squares method to analyze the obtained data. The circuit is approximated as an RL series circuit operating at industrial voltage. The voltage V and current I of the circuit are measured at discrete time intervals. The relationship between voltage and current can be expressed as:
where R represents resistance and L represents inductance. In practical measurements, current and voltage are obtained at discrete time points. The derivative terms in differential equations are approximated using discrete difference methods:
where Δt is the time interval between measurements. Substituting this approximation into Equation (7) yields:
Rewrite the equation in matrix form (10): V represent the vector of voltage measurements, β denotes the parameter vector, X signifies the design matrix, and ϵ signify the error vector.
The least squares method aims to minimize the sum of the squares of the differences between observed and predicted values. The solution to this problem is derived by solving normal the Equation (11), and Equation (12) represents the solution to the problem.
β is obtained from Equation (12), which includes the unknown variables: AC resistance R and inductance L. However, in engineering, the focus is typically on active losses; therefore, only the AC resistance R is analyzed in this context.
4. Experimental Results
Following the method described in Section 3.2, AC resistance tests are conducted on four groups of conductors to investigate the relationships between conductor AC resistance and both current and temperature, as well as the relationship between the AC to DC resistance ratio and these variables. The specific parameters of the four types of conductors are detailed in Table 3.
Table 3.
Variation of AC resistance of four wires with applied current.
4.1. Relationship Between AC Resistance and Current
The relationship between the experimentally measured AC resistance and the applied current is shown in Figure 5. As the current increases, the AC resistance of the conductor gradually rises, primarily due to the combined effects of temperature and the skin effect. Firstly, the temperature effect causes the conductor to generate heat as current flows through it, leading to an increase in the conductor’s temperature, which in turn raises its resistance. Table 4 presents the parameters of different grades of hard aluminum wire used in overhead conductors, and it shows that the temperature coefficient of resistance for JL/G1A-185/25, JL/G1A-300/25, and JL/G1A-400/35 is identical, all being 0.00403/°C [32]. This indicates that these conductors respond similarly to changes in temperature. However, due to differences in their cross-sectional areas, the rate of resistance increase differs. Conductors with smaller cross-sectional areas, such as JL/G1A-185/25, are more sensitive to the skin effect, resulting in a faster increase in resistance at the same current. In contrast, larger cross-sectional conductors, such as JL/G1A-400/35, experience slower resistance growth due to lower current density.
Figure 5.
Relationship between the value of experimentally measured AC resistance and the applied current.
Table 4.
The DC resistivity and temperature coefficient of resistance at 20 °C.
As seen in the Figure 5, the resistance of the JL/G1A-185/25 conductor increases most rapidly with rising current, which reflects the higher current density caused by its smaller cross-sectional area, making the skin effect more pronounced. Meanwhile, the JL/G1A-400/35 conductor, with its larger cross-sectional area and lower current density, exhibits a more gradual increase in resistance, demonstrating better conductivity. The performance of the JL/G1A-300/25 conductor lies between these two, showing a moderate increase in resistance as the current rises.
It is worth noting that although JL3/G1A-300/25 and JL/G1A-300/25 have the same cross-sectional area, their resistance increases trends differ significantly. The JL3/G1A-300/25 conductor uses an improved aluminum, which increases its conductivity to 62.5% IACS, whereas the conductivity of the traditional JL/G1A-300/25 conductor is 61.0% IACS. This material optimization significantly reduces the rate of resistance increase in the JL3/G1A-300/25 conductor under high current conditions. Despite its slightly higher temperature coefficient of 0.00413/°C, JL3/G1A-300/25 demonstrates better energy efficiency and stability overall. In contrast, JL/G1A-300/25, using conventional materials, exhibits a more pronounced increase in resistance and greater energy loss as the current increases.
4.2. Relationship Between Temperature and Current
The experiment recorded the temperature rise of the conductor using temperature sensors, and the transient temperature rise curves under applied currents of 250 A and 400A are shown in Figure 6. As the current increases, the temperature of the conductor gradually rises, with the most rapid increase occurring within the first few minutes. Under the same current loads (250 A and 400 A), the transient temperature of the JL/G1A-185/25 conductor rises the fastest, which is closely related to its smaller cross-sectional area, resulting in higher current density. The higher current density generates more heat within the conductor, leading to a faster temperature increase. In contrast, the transient temperature of the JL/G1A-400/35 conductor rises more slowly due to its larger cross-sectional area and lower current density. The larger surface area facilitates better heat dissipation, thus slowing the rate of temperature increase.

Figure 6.
Transient temperature rise curves: (a) current of 250 A (b) current of 400 A.
Additionally, the energy-efficient conductor JL3/G1A-300/25 exhibits superior performance in the transient temperature rise curve compared to the traditional conductor JL/G1A-300/25. Although they have the same cross-sectional area, JL3/G1A-300/25 uses a material with higher electrical conductivity (62.5% IACS), resulting in lower energy losses and, consequently, a slower rate of temperature rise. This indicates that energy-efficient conductors can more effectively control the rapid temperature increase under high load conditions, thereby reducing energy loss. In contrast, JL/G1A-300/25, due to its unoptimized material, experiences a faster temperature rise during the transient phase, indicating relatively higher energy losses under high current conditions. Overall, the rate of transient temperature increase directly reflects the conductor’s resistance and heat dissipation performance, with smaller cross-sectional areas and lower electrical conductivity leading to greater temperature increases during the transient phase.
The transient temperature curve fluctuations observed in the experiment can be attributed to the following error sources: (1) Temperature discrepancies caused by non-uniformity in temperature sensor placement. In particular, when thermocouples become loose or shift positions, varying temperatures recorded by different sensors can impact the smoothness of the temperature curve. (2) Random errors from fluctuations in ambient temperature and applied current. Instabilities in the surrounding temperature and variations in current load can introduce random errors, affecting the consistency of the measurements. (3) Systematic errors in signal acquisition. The experimental signal acquisition system may have inherent errors, including issues with signal precision and noise interference, which could contribute to the observed fluctuations in the transient temperature curve. (4) The temperature curve at 250 A shows greater fluctuations compared to that at 400A. This is because, at lower currents, there is less heat generation, so convective and radiative heat dissipation to the environment becomes relatively stronger, leading to more noticeable temperature variations in the actual curve.
After applying different currents to the conductors, the temperature eventually stabilizes over time, reaching a steady-state temperature. Figure 7 presents the steady-state temperature performance of different conductors. It is evident that JL/G1A-185/25 reaches the highest steady-state temperature, which is closely related to its high current density and poor heat dissipation performance. Under high-load conditions, the continuous heat generation caused by the conductor’s resistance keeps the temperature at a high level. In contrast, JL/G1A-400/35 exhibits the lowest steady-state temperature, demonstrating superior heat dissipation performance and lower resistance losses. With its larger cross-sectional area and lower current density, JL/G1A-400/35 effectively dissipates heat, resulting in a significantly lower steady-state temperature compared to other conductors.
Figure 7.
Steady-state temperature rise curve.
In the comparison between energy-efficient and non-energy-efficient conductors, the steady-state temperature of JL3/G1A-300/25 is notably lower than that of JL/G1A-300/25. Although they share the same cross-sectional area, JL3/G1A-300/25 uses a higher conductivity aluminum material, which generates less resistance at the same current, leading to a lower steady-state temperature. This indicates that energy-efficient conductors not only exhibit better temperature control during the transient phase but also significantly reduce energy losses in the steady-state phase, maintaining lower temperature levels. Therefore, energy-efficient conductors demonstrate more efficient performance in steady-state temperature, making them more suitable for high-load, long-duration transmission systems.
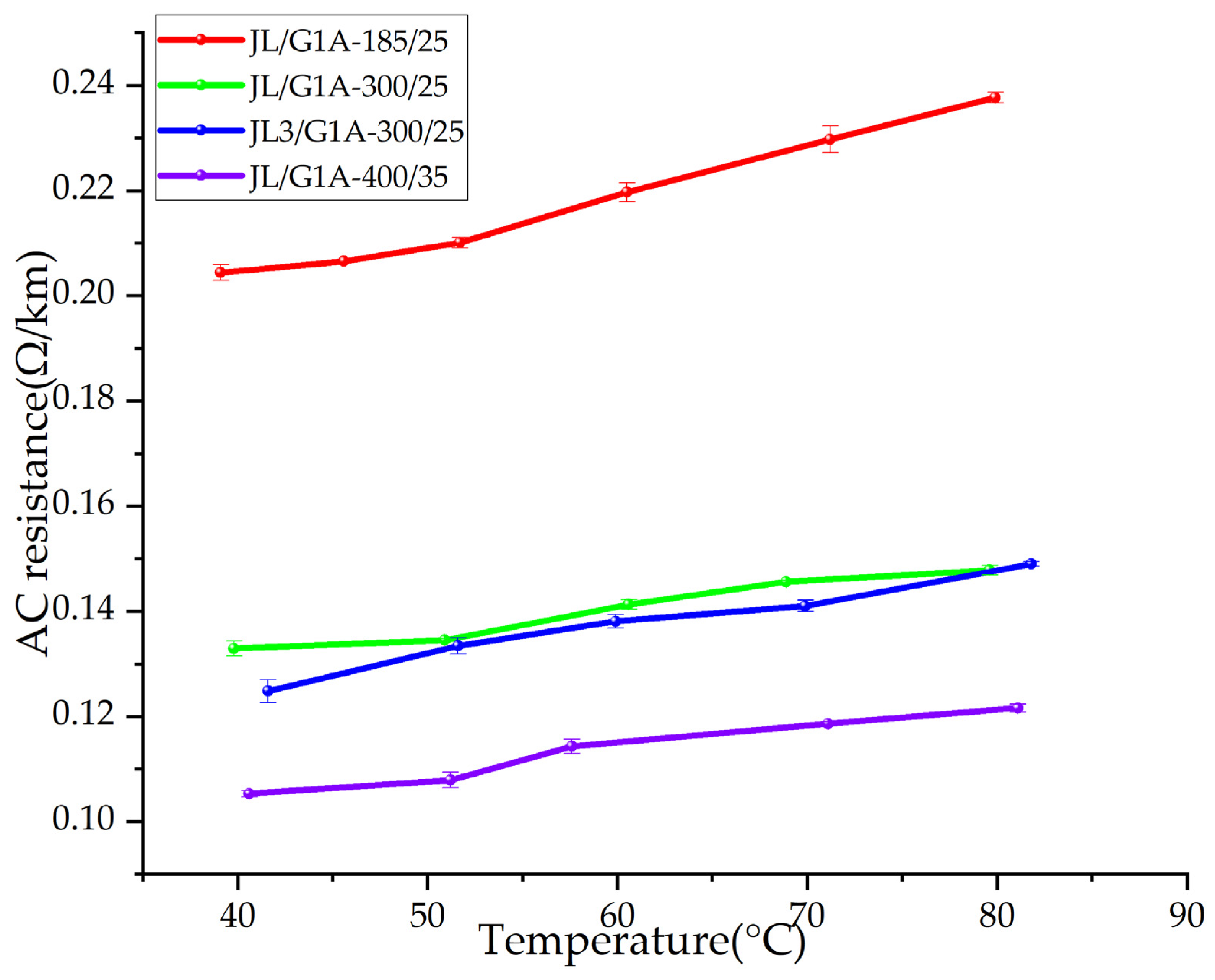
4.3. Relationship Between AC Resistance and Temperature
Figure 8 illustrates the relationship between conductor temperature and AC resistance. The overall trend indicates that as the conductor temperature increases, the AC resistance also rises. Regardless of the conductor model, there is a positive correlation between the increase in resistance and temperature. This phenomenon is primarily due to the temperature coefficient of resistance of the conductor material. As the temperature rises, atomic thermal vibrations increase within the material, which leads to greater scattering of conduction electrons, thereby increasing the resistance. Additionally, the elevated temperature exacerbates the skin effect, reducing the effective cross-sectional area for current flow, which further increases the AC resistance as the temperature rises.
Figure 8.
Relationship between conductor temperature and AC resistance.
It can be observed that the resistance increase is most pronounced for the JL/G1A-185/25 conductor. Not only does this conductor exhibit the highest resistance, but the influence of temperature on its resistance is also the most significant. Due to its smaller cross-sectional area and higher current density, its resistance at the same temperature is significantly higher than that of other conductors. This suggests that JL/G1A-185/25 is better suited for low to medium current conditions, as its resistance increase under higher temperatures or higher load conditions would result in considerable energy losses, making it unsuitable for prolonged high-load operation. In contrast, JL/G1A-400/35 exhibits a markedly different performance. Its resistance increases the least as the temperature rises, which indicates that its larger cross-sectional area and better heat dissipation capabilities effectively mitigate the rapid growth of resistance. This makes JL/G1A-400/35 ideal for high-load conditions, where it performs exceptionally well in prolonged high-current operations. Its lower resistance not only reduces energy losses but also minimizes heat generation at elevated temperatures, thus extending the conductor’s service life.
JL/G1A-300/25 and JL3/G1A-300/25 display relatively similar performance, but there are still subtle differences. JL3/G1A-300/25 experiences a slower rate of resistance increase as the temperature rises, reflecting the significant advantages brought about by material optimization. JL3/G1A-300/25 utilizes a material with higher electrical conductivity (62.5% IACS), which results in lower AC resistance at the same temperature and reduced energy losses. Although both conductors share the same cross-sectional area, JL3/G1A-300/25, with its improved aluminum material, maintains lower resistance values at higher temperatures.
By comparing the performance of energy-efficient conductors with non-energy-efficient ones, it can be concluded that JL3/G1A-300/25 effectively reduces the rate of resistance increase under high-temperature conditions, demonstrating better energy efficiency. This material optimization allows JL3/G1A-300/25 to perform more stable than traditional JL/G1A-300/25 under high-current and high-temperature conditions. JL3/G1A-300/25 not only outperforms in terms of transient and steady-state temperature performance, but also significantly slows the growth of AC resistance. This means that energy-efficient conductors can effectively reduce energy losses during prolonged high-load operations, while non-energy-efficient conductors exhibit higher resistance at elevated temperatures, leading to greater energy losses.
4.4. Relationship Between AC and DC Resistance Measurements and Theoretical Calculations
Taking the theoretical AC resistance calculation of JL/G1A-185/25 as an example, the calculation process at 79.9 °C is as follows. By referring to Table 2 and Table 4, we obtained the temperature coefficient of resistance α for JL/G1A-185/25 as 0.00403 K−1 and its DC resistance at 20 °C as 0.1543 Ω/km. Using Equation (3), the DC resistance RDC at 80 °C can be calculated as follows:
The total cross-sectional area of the steel core, AG is 0.242 cm2; the stranded conductor diameter, D, is 1.89 cm; and the diameter of the steel core, DG is 0.63 cm. After measurement, the pitch length lm1 of the first layer of aluminum wires was found to be 22.3 cm, with a total of 15 wires, and the pitch length lm2 of the second layer was 16.6 cm, with a total of 9 wires. When a current I of 425 A is applied, H can be calculated using Equation (5).
Based on the calculated H value, quadratic interpolation from Table 1 yields μ·tanδ = 24.01. Subsequently, ΔR1 can be calculated using Equation (4) as follows:
For the calculation of ΔR2, the proximity effect can be neglected because the conductor spacing is greater than 5 times the outer diameter, resulting in minimal impact. Thus, ϕ is ignored in the calculation. Substituting into the equation, the intermediate variables are obtained as follows: A = 2.49; γ = 2.09 × 10−4; z = 0.33; a = 2.39 × 10−3; b = 0.27 and β = 0.67. Substituting the above quantities into Equation (7) yields X = 1.0013. Substitute X into Equation (6) to obtain ΔR2.
According to Equation (2), the AC resistance RAC of JL/G1A-185/25 at 79.9 °C is:
The calculation of AC resistance at different temperatures for other conductors follows the same procedure as described above. Here, we provide an example to illustrate the calculation process. In the composition of AC resistance, DC resistance constitutes a substantial portion. This experiment also measures the DC resistance of the conductors used, as they were sourced from actual engineering projects. The conductors experienced surface oxidation, corrosion, aging, and increased roughness, leading to higher DC resistance. Thus, testing the DC resistance is crucial for verifying the accuracy of experimental measurements. For example, for the JL/G1A-185/25 conductor, both theoretical and measured values of AC and DC resistance are shown in Figure 9. Since the AC/DC resistance ratio in the temperature range covered by this experiment does not exceed 1.01, the theoretical AC resistance and DC resistance for the JL/G1A-185/25 conductor are very similar.
Figure 9.
Comparison of theoretical and measured values of AC resistance and DC resistance of JL/G1A-185/25.
The AC/DC resistance ratios for the four conductors are shown in Figure 10a–d. Among them, the JL/G1A-185/25 conductor has a two-layer aluminum structure, while the remaining three conductors have a three-layer aluminum structure. According to literature [33], in multi-layer aluminum conductors, the different twisting directions of each layer lead to opposing current directions, resulting in the cancellation of opposing magnetic fluxes. Consequently, the resistance increment caused by hysteresis and eddy current effects is significantly reduced. Based on theoretical calculations, the resistance of the conductors in this experiment increases with temperature. Notably, due to the DC resistance temperature coefficient of aluminum conductors discussed previously, the DC resistance temperature coefficient of JL3 is slightly higher than that of JL. Theoretically, the proportion of DC resistance in the AC resistance of JL3/G1A-300/25 is higher than that of JL/G1A-300/25, and its AC/DC resistance ratio is relatively lower, indicating that this type of aluminum conductor incurs lower additional losses in power transmission. In this experiment, the largest discrepancy between the measured AC/DC resistance ratio and the theoretical value occurs for the JL/G1A-400/35 conductor at 50 °C, with an error of -1.84%. Overall, the experimental AC/DC resistance ratios show deviations from the theoretical values of less than 2%, indicating that the discrepancies are primarily due to accumulated corrosion and aging of the conductors during actual operation, as well as surface defects introduced during field handling, transportation, and installation, despite pre-cleaning treatments before the experiment. These scratches and damage affected the surface roughness of the conductors, thereby impacting the resistance measurement results.

Figure 10.
The theoretical and experimental ac/dc resistance ratios of the four conductors (a) JL/G1A-185/25 (b) JL/G1A-400/35 (c) JL/G1A-300/25 (d) JL3/G1A-300/35.
5. Conclusions
In the calculation and measurement of AC resistance, there are three major issues: existing calculation methods either oversimplify the complex structure of conductors, leading to inaccurate results, or involve cumbersome processes that require interpolation calculations. Simulation methods, on the other hand, struggle to comprehensively account for various factors affecting resistance, such as environmental conditions and conductor surface roughness, resulting in discrepancies between the simulated results and actual conditions. Although experimental measurements are more accurate, current AC resistance measurements are often limited to short conductor lengths, which differ significantly from real-world operating conditions. To address these issues, this paper designs an experimental platform to measure the AC resistance of a 60-m conductor using the electrical measurement method, aiming to closely replicate the actual operating environment of overhead conductors. The experiment uses a high-current generator to adjust the current applied to the conductor, raising its temperature to 40 °C, 50 °C, 60 °C, 70 °C, and 80 °C, respectively. The conclusions drawn from the experiment are as follows:
- (1)
- As the current increases, the AC resistance of the conductor inevitably rises; however, the material composition and cross-sectional area of the conductor play a crucial role in determining the rate of resistance increase. Through material optimization, the JL3/G1A-300/25 conductor achieves improved conductivity and an acceptable rate of resistance increase, making it suitable for high-current transmission scenarios.
- (2)
- The steady-state temperature performance reflects the long-term thermal properties of the conductor. A larger cross-sectional area and higher conductivity allow the conductor to effectively manage temperature under high loads, reducing continuous heat generation caused by resistance. JL3/G1A-300/25 excels not only in transient and steady-state temperature performance but also significantly slows the growth of AC resistance. The energy-efficient conductor demonstrates greater efficiency in steady-state temperature behavior, making it ideal for high-load, long-duration transmission systems.
- (3)
- The energy-efficient conductor JL3/G1A-300/25 outperforms the traditional JL/G1A-300/25, particularly under elevated temperatures, as the energy-efficient conductor is better at controlling the increase in resistance, thereby improving transmission efficiency.
- (4)
- Unavoidable scratches and damage to the conductor during on-site handling, transportation, and installation result in changes in surface roughness; however, the measured resistance values remain within an acceptable range when compared to theoretical values. The experimentally measured AC/DC resistance ratio shows a deviation of within ±2% from the theoretical ratio, demonstrating the accuracy of the experimental platform.
This study provides significant reference for practical engineering applications in terms of the construction of the experimental platform and the measurement results. Accurate AC resistance measurements can assist power grid engineers in evaluating energy losses, temperature rise, and current-carrying capacity of conductors, thereby optimizing conductor material selection and enhancing the efficiency and stability of power transmission systems. Furthermore, the experimental methods and results of this study offer data support for the design of long-distance, high-load transmission systems, ensuring better performance of conductors under high temperature and high current operational conditions. This research provides both theoretical basis and practical guidance for future improvements in power transmission systems, demonstrating important engineering value for long-term, high-load power transmission.
Author Contributions
Conceptualization, D.X. and Z.Q.; formal analysis, J.J.; investigation, S.X. and F.B.; methodology, D.X. and Z.Q.; writing—original draft, G.H.; writing—review and editing, J.L. and F.B.; supervision, G.H. All authors have read and agreed to the published version of the manuscript..
Funding
This work was supported by the Science and Technology Projects of the State Grid Corporation of China (52209624000G).
Data Availability Statement
The original contributions presented in this study are included in the article. Further inquiries can be directed to the corresponding author.
Conflicts of Interest
The authors declare that this study received funding from the Science and Technology Projects of the State Grid Corporation of China. The funder was not involved in the study design, collection, analysis, interpretation of data, the writing of this article or the decision to submit it for publication.
References
- IEEE Std 738-2006; IEEE Standard for Calculating the Current-Temperature Relationship of Bare Overhead Conductors. MKSA/SI Units. IEEE: New York, NY, USA, 2007; pp. 16–20.
- Wan, H.; McCalley, J.D.; Vittal, V. Increasing thermal rating by risk analysis. IEEE Trans. Power Syst. 1999, 14, 815–828. [Google Scholar] [CrossRef]
- Ravi, G.; Barzin, M.; Robert, O. Characterization of Composite Cores for High Temperature-Sag (HTLS) Conductors; Power Systems Engineering Research Center: Tempe, AZ, USA, 2009.
- Kotni, L. A proposed algorithm for an overhead transmission line conductor temperature rise calculation. Int. Trans. Electr. Energy Syst. 2014, 24, 578–596. [Google Scholar] [CrossRef]
- Wang, J.; Chen, J.; Xiong, X.; Lu, X.; Liao, Z.; Chen, X. Temperature safety analysis and backup protection scheme improvement for overhead transmission line in power oscillation condition. Electr. Power Syst. Res. 2019, 166, 88–98. [Google Scholar] [CrossRef]
- Zainuddin, N.M.; Rahman, M.A.; Kadir, M.A.; Ali, N.N.; Ali, Z.; Osman, M.; Mansor, M.; Ariffin, A.M.; Rahman, M.S.A.; Nor, S.F.M.; et al. Review of thermal stress and condition monitoring technologies for overhead transmission lines: Issues and challenges. IEEE Access 2020, 8, 120053–120081. [Google Scholar] [CrossRef]
- Yan, Z.; Wang, Y.; Liang, L. Analysis on ampacity of overhead transmission lines being operated. J. Inf. Process. Syst. 2017, 13, 1358–1371. [Google Scholar] [CrossRef]
- Castelli, F.; Maciotta-Rolandin, L.; Riner, P. A new method for measuring the AC resistance of large cable conductors. IEEE Trans. Power Appar. Syst. 1977, 96, 414–422. [Google Scholar] [CrossRef]
- Dai, D.; Zhang, X.; Wang, J. Calculation of AC resistance for stranded single-core power cable conductors. IEEE Trans. Magn. 2014, 50, 1–4. [Google Scholar] [CrossRef]
- Zhang, D.; Dang, P. Study on AC Resistance of Overhead Conductors by Numerical Simulation. In Proceedings of the IEEE International Conference, Shanghai, China, 7–11 June 2020; pp. 1–4. [Google Scholar]
- Zhang, R.; Zhao, X.; Tao, L. Comparison of AC resistance calculation methods for overhead conductors. Wire Cable 2014, 1, 10. [Google Scholar]
- Wang, G.; Liu, L.; Li, B. Calculation of AC resistance for transmission lines based on magnetic properties analysis. High Volt. Appar. 2019, 55, 44–50. [Google Scholar]
- Morgan, V. Electrical Characteristics of Steel-Cored Aluminium Conductors. In Proceedings of the Institution of Electrical Engineers, IET, London, UK, 21–25 April 1965; pp. 325–334. [Google Scholar]
- Morgan, P.D.; Whitehead, S. The impedance and power losses of three-phase overhead lines. J. Inst. Electr. Eng. 1930, 68, 367–408. [Google Scholar] [CrossRef]
- JIS C 3410; Cables and Flexible Cords for Electrical Equipment of Ships. Japanese Industrial Standards: Tokyo, Japan, 2010.
- Morgan, V.T.; Zhang, B.; Findlay, R.D. Effect of magnetic induction in a steel-cored conductor on current distribution, resistance, and power loss. IEEE Trans. Power Deliv. 1997, 12, 1299–1308. [Google Scholar] [CrossRef]
- IEC TR 61597; Guidelines for the Functional Specification of Transmission Line Towers. International Electrotechnical Commission: Geneva, Switzerland, 2021.
- Otero, A.F.; Vilacha, C.; Moreira, J.C. Electrodynamic simulation of overhead power lines. IEEE Trans. Power Deliv. 2012, 27, 560–567. [Google Scholar] [CrossRef]
- Djekidel, R.; Bessedik, S.A.; Akef, S. 3D modelling and simulation analysis of electric field under HV overhead line using improved optimisation method. IET Sci. Meas. Technol. 2020, 14, 914–923. [Google Scholar] [CrossRef]
- Hingorani, N.G.; Burbery, M.F. Simulation of AC system impedance in HVDC system studies. IEEE Trans. Power Appar. Syst. 1970, 5, 820–828. [Google Scholar] [CrossRef]
- Bourgeat, X.; Santana, J.; Fustier, A. A New Method for the Measurement of Power Cables AC Resistance. In Proceedings of the Jicable ’99—International Conference on Power Insulated Cables, Versailles, France, 20–24 June 1999; pp. 561–565. [Google Scholar]
- Wang, X. Measurement of AC Resistance of Large-Section XLPE Power Cable Conductor and Research on Influencing Factors. Master’s Thesis, Shaanxi University of Science and Technology, Xi’an, China, 2023. [Google Scholar]
- Suzuki, H.; Kanaoka, M. Theoretical investigation on skin effect factor of conductor in power cables. Electr. Eng. Jpn. 2008, 165, 18–34. [Google Scholar] [CrossRef]
- Cigre. Large Cross-Sections and Composite Screens Design; Cigre: Paris, France, 2005. [Google Scholar]
- Ball, E.H.; Maschio, G. The AC resistance of segmental conductors as used in power cables. IEEE Trans. Power Appar. Syst. 1968, 4, 1143–1148. [Google Scholar] [CrossRef]
- Rydler, K.E.; Sjöberg, M.; Svahn, J. A measuring system of conductor AC and DC resistance. In Proceedings of the Jicable’11—8th International Conference on Power Insulated Cables, Versailles, France, 19–23 June 2011; p. A-8. [Google Scholar]
- Zhang, W. Research on AC Equivalent Resistance Automatic Measurement System Used for Cable Conductor. Master’s Thesis, Harbin University of Science and Technology, Harbin, China, 2018. [Google Scholar]
- Xia, J.; Shi, N.; Xu, X. Study on AC resistance characteristics of stranded conductors by a high precision measuring system. Electr. Wire Cable 2018, 4, 1–6. [Google Scholar]
- Wang, G.L.; Liu, L.; Li, B. Research on the measured method of AC resistance of overhead transmission lines. South. Power Syst. Technol. 2017, 11, 78–83. [Google Scholar]
- Deng, X.; Ouyang, B.; Kong, X. Optimization of AC resistance of large cross-section high-voltage cable conductor. High Volt. Eng. 2016, 42, 522–527. [Google Scholar]
- IEC 62641; Power Cables—Calculation of the DC Resistance of Conductors. International Electrotechnical Commission: Geneva, Switzerland, 2022.
- GB/T 1179-2017; Round Wire Concentric Lay Overhead Electrical Stranded Conductors. Standardization Administration of China: Beijing, China, 2017.
- Liu, S.; Huang, Y.; Tian, T. Analysis on Rate of AC-DC Resistance in Overhead Conductor. Smart Power 2018, 46, 91–94. [Google Scholar]
Disclaimer/Publisher’s Note: The statements, opinions and data contained in all publications are solely those of the individual author(s) and contributor(s) and not of MDPI and/or the editor(s). MDPI and/or the editor(s) disclaim responsibility for any injury to people or property resulting from any ideas, methods, instructions or products referred to in the content. |
© 2024 by the authors. Licensee MDPI, Basel, Switzerland. This article is an open access article distributed under the terms and conditions of the Creative Commons Attribution (CC BY) license (https://creativecommons.org/licenses/by/4.0/).