Abstract
The mitigating effects of straw burning bans on air pollution are widely known; however, their effects on indoor air pollution are generally ignored. Cooking fuel use is an important factor that affects indoor air quality. However, the debate over the pros and cons of a province-wide ban on straw burning has been a major issue in environmental economics. By utilizing household survey data, this study investigates the role of straw burning bans on cooking fuel use in households. To infer causal relationships, difference-in-difference models that compare households in provinces with and without a complete ban on open straw burning (COSB) are employed. The results show that COSBs promote the use of clean cooking fuels and discourage the use of firewood for cooking by households. These results hold true after a series of robustness tests, such as parallel trends and placebo tests. However, the results show that the effect of COSBs on the household use of coal as a cooking fuel is not significant. Further analysis shows heterogeneity in the effects of COSBs on the use of household cooking fuels. Thus, COSBs promote the conversion to cleaner cooking fuels in rural households, but the implementation of these policies needs to be contextualized.
1. Introduction
The debate on whether to ban straw burning has been ongoing for quite some time and has grown increasingly heated. Opponents argue that straw burning improves soil fertility [1], increases crop productivity [2], and quickly clears fields for the next crop [3]. Thus, the open burning of crop straw has been increasing in some countries as agricultural production continues to intensify [4,5]. In India, 18–30% of crop straw is openly burned in agricultural fields [3]. In contrast, proponents argue that straw burning bans are effective in reducing ozone concentrations [6], preventing plants from losing essential nutrients [7], reducing carbonaceous gas emissions [8], and suppressing haze and smog [9]. In the late 1980s and early 1990s, developed countries such as the United Kingdom, the United States, and Canada began to restrict the open burning of straw in fields. Since the turn of the millennium, countries such as China, India, and Pakistan have implemented similar bans. However, skepticism regarding straw burning bans has persisted. A global ban on straw burning could increase human exposure to arsenic [10], which could negatively affect human health. Straw burning bans are deemed ineffective without alternative means [11]. Different experts have opposing views on the issue of banning straw burning, and each side seemingly cannot convince the other. Therefore, additional empirical evidence obtained through scientific research is greatly needed.
Although previous studies have assessed the effects of straw burning bans from several perspectives [12,13], one important perspective that has generally been overlooked is the impact of straw burning bans on households’ conversion to cleaner cooking fuels. An urgent challenge facing developing countries today is to accelerate the transition to cleaner cooking fuels. A recent report shows that 2.3 billion people worldwide still use polluting fuels, including firewood, straw, and coal, for cooking [14]. The World Health Organization (WHO) estimates that household air pollution from cooking fuels causes 3.2 million premature deaths annually [15]. If the straw burning ban can promote households’ conversion to cleaner cooking fuels, it may be an effective pathway to achieving Sustainable Development Goal 7. Unfortunately, both proponents and opponents of straw burning bans have overlooked the possible impact of banning straw burning on household conversion to cleaner cooking fuels, making it impossible to assess the effects of straw burning bans fully and objectively.
This study aims to estimate the impact of a straw burning ban on cooking fuel in Chinese households. This study focuses on China for two main reasons. Since 2012, air pollution and haze have become environmental issues of general concern for the Chinese public. Because open straw burning aggravates air pollution, some provinces have issued laws and regulations prohibiting it, which constitute a complete ban on open straw burning (COSB). Any open burning of straw is prohibited throughout these provinces, and anyone caught burning straw in the open will receive extremely harsh penalties [13]. In contrast, other provinces only prohibit burning in some key areas and have not substantially intervened in the behavior of most farmers burning straw in the open, which are examples of partial bans on open straw burning (POSBs). POSBs are not new policies, as provinces have banned straw burning in localized areas around transportation arteries and airports since 1990. COSBs appear to have achieved some results. Before 2010, China burned approximately 140 tons of crop straw in its fields annually [16]; however, that number has since been significantly reduced. The main reasons for this decline include the following: (i) the use of satellite remote sensing to monitor and supervise the burning of straw around the clock, effectively solving the problem of the limited scope of manual inspections and incomplete regulatory coverage; (ii) increased publicity on the comprehensive utilization of straw and the prohibition of burning to raise the general public’s awareness of the fact that they are not allowed to burn straw. The trend of total national emissions of carbonaceous gases and aerosols from open biomass burning first increased and then decreased, reaching its maximum of 375.53 Mt in 2014 and then its minimum of 159.39 Mt in 2018 [8]. Additionally, China faces the serious challenge of converting households to cleaner cooking fuels. Approximately 293 million people in China still rely heavily on solid fuels for household cooking [17]. In 2014, indoor air pollution from cooking with solid fuels and kerosene resulted in approximately 3.3 million premature deaths worldwide [18]. In China, this figure was approximately 1.26 million in 2019. In 2014, 41% of cooking in rural China was performed using solid fuels [19]. If COSBs can substantially promote household conversion to cleaner cooking fuels in China, the health benefits will be much greater than those in countries where solid fuels are commonly used for cooking.
This study utilized household- and provincial-level data. First, data from six rounds of the China Family Panel Studies (CFPS) in 2010, 2012, 2014, 2016, 2018, and 2020 were collected and cleaned in this study. These data cover 25 provinces, municipalities, and autonomous regions and involve all members of 16,000 households in China (see Appendix A for descriptive statistics). Next, data on the provinces that have implemented COSBs were collected, including the year of implementation. Since 2013, haze has swept through most parts of China, a major cause of which is considered to be the open burning of straw. Therefore, some provinces have issued relevant regulations prohibiting the open burning of straw anywhere in the province, defined as COSBs. Following this definition, in this study, 16 provinces in China have designated COSBs (see Appendix B for details).
Difference-in-difference (DID) models were used to assess the impact of COSBs on household cooking fuels (see Section 2). By including a control group unaffected by the policy and analyzing it in comparison with an experimental group affected by the policy, the DID models accurately estimated the treatment effects, thereby revealing and assessing the causal effects. The effects of COSBs on household cooking fuels can be assessed from two perspectives: (1) the impact of COSBs on the use of cleaner fuels for household cooking and (2) the impact of COSBs on the use of polluting fuels (firewood and coal) for household cooking.
The effects of COSBs on household cooking fuel use are multifaceted. By comprehensively banning straw burning, local governments are actively promoting the utilization of straw for other purposes, thereby increasing the supply of clean energy [20]. Straw can be converted into pyrolysis gas or biogas for use as a cooking fuel, which has led more households to adopt this cleaner option [21,22]. To improve the overall utilization rate of straw, some local governments have subsidized the purchase of biomass stoves for households [23], which has increased households’ willingness to purchase crop straw as an energy source [24], helping more families use cleaner cooking fuels. Simultaneously, local governments have emphasized the dangers of indoor and outdoor air pollution through extensive publicity to raise public awareness of environmental protection [25]. Thus, more people have gained better knowledge about the health hazards of indoor air pollution caused by cooking with firewood and coal. For their own health and that of their family, some households have abandoned solid fuels in favor of cleaner fuels for cooking. Therefore, the following hypothesis is proposed: COSBs promote the adoption of cleaner cooking fuels by households. As cooking with firewood and coal is a significant contributor to indoor pollution, an alternative hypothesis is that COSBs lead households to reduce their use of firewood and coal as cooking fuel.
Taking straw burning bans as an example, this study explores the impact of environmental governance policies on household energy consumption. The contributions of this study are threefold. First, this study examines the impact of COSBs on household cooking fuel choices from a micro perspective. This is essential groundwork to fully assess the impact of straw burning bans. Straw burning policies have been a hot topic of public opinion in recent years, and academics have invested much effort in studying their impact [26]. However, the existing literature has mainly focused on the health impacts of straw burning. Most of the literature has found that air pollution caused by straw burning has negative effects on public health. For example, a study based on data from straw burning fires in Brazil showed that if pregnant women were exposed to the smoke late in pregnancy, it could lead to lower newborn weights, shorter gestation periods, and even reduced fetal survival [27]. The results were shown to be highly robust [28]. It was also found that air pollution from straw burning increased the likelihood of death from cardiorespiratory diseases in a sample of rural Chinese villages [29], and reducing straw burning significantly reduced premature deaths in China [6]. Therefore, it is necessary to combat and reduce air pollution caused by straw burning. However, the impact of straw burning bans on the choice of household cooking fuel is not clear, and there is a small amount of the literature on this topic. This study effectively fills this knowledge gap and provides important decision support for the comprehensive evaluation of straw burning policies.
Second, the DID strategy used in this study is effective for testing the causal impact of COSBs on household cooking fuel use because provinces that do not implement COSBs provide counterfactual scenarios, enabling analysis of what could happen in these areas. The existing research on cooking fuel choices in households has been dominated by correlation analyses. For example, household income is positively correlated with a household’s adoption of cleaner cooking fuels [30]. The higher the price of electricity, the more likely it is that households will use a mix of fuels for cooking [31]. Correlation analysis, however, measures the degrees of correlation among variables and does not involve the establishment of causality, whereas causal inference establishes causality through experiments or other methods [32]. This study examines changes in household cooking fuel choices in provinces with and without COSB policies through a quasi-experimental design in order to determine the causal effect of COSB policies on the household adoption of cleaner cooking fuels, which provides a scientific basis for relevant policy formulation and implementation strategies. Therefore, this study makes an important contribution to the inference of a causal relationship between COSBs and the types of fuel used for cooking.
Finally, this study also analyzes the heterogeneity of the effects of COSBs on households’ cooking fuel choices, exploring the diversity of characteristics of the study population. Established studies have explored the heterogeneity of the effects of factors such as social networks [33], digital literacy [34], and neighbors [22] on households’ choices of cooking fuel. However, there have been no studies exploring the heterogeneity of the effects of COSBs on households’ adoption of clean cooking fuels. The heterogeneity analysis in this study allows for the identification of different categories of households and further exploration and assessment of the impact of COSBs on different categories of households, which is important for the development of targeted policies and interventions.
2. Material and Methods
2.1. Data
The data used in this study were from the CFPS. The CFPS uses multistage stratified random sampling to reflect changes in China’s socioeconomic development by tracking and collecting data at the individual, household, and community levels. The CFPS conducted a nationwide baseline survey in 2010 and has since conducted five rounds in 2012, 2014, 2016, 2018, and 2020. The CFPS covers 25 provinces and 162 counties, with an initial target sample size of 16,000 households. In this study, survey data from the six periods of the CFPS in 2010, 2012, 2014, 2016, 2018, and 2020 were selected to form a balanced set of panel data. The final sample comprised 3292 households across 25 provinces with a total of 19,752 observations.
2.1.1. Cooking Fuel Data
The CFPS questionnaire includes the question “What type of fuel does your household typically use for cooking?” The major cooking fuels include firewood/straw, coal, gas/liquid, natural gas, solar energy, and electricity. Cleaner fuel is operationally defined as a dummy variable with a value of 1 if the respondent answers gas/liquid, natural gas, solar energy, or electricity, and 0 otherwise. Firewood is operationally defined as a dummy variable with a value of 1 if the respondent answers firewood/straw or electricity, and 0 otherwise. Coal is operationally defined as a dummy variable with a value of 1 if the respondent answers coal or electricity, and 0 otherwise. Detailed information on the responses to this question is shown in Table 1.
Table 1.
Changes in the percentages of households using different types of cooking fuels.
2.1.2. COSB Treatment
A review of provincial-level policy documents shows that some provinces have issued regulations and documents to ban the open burning of straw completely. These provinces, that is, those where COSBs have been implemented, formed the experimental group of this study. Other provinces banned burning in priority areas from 2010 to 2020. These provinces mainly limited the burning of straw around airports, highways, railroads, and tourist attractions. These provinces served as the control group for this study. Further information on how the experimental and control groups were formed is provided in Table A2. Of the 25 provinces, 14 implemented a policy banning the open burning of straw throughout the province (COSB provinces), whereas the remaining 11 provinces implemented a ban on straw burning only in key areas of the province (POSB provinces). Regarding the operational definition, an ID dummy variable was constructed. DID was the product of the two dummy variables and calculated as . was a dummy variable that divided the experimental and control groups. The COSB provinces were classified as the experimental group, with a value of 1; the other provinces were classified as the control group, with a value of 0. was a dummy variable used to measure the COSB implementation time. had a value of 1 if it was from the year when the COSB policy was implemented and every year thereafter; otherwise, it was 0. Detailed information on the two groups and the years of COSB implementation is provided in Table 2.
Table 2.
Experimental and control groups and years of COSB implementation.
2.1.3. Control Variables
The household-level control variables included household assets, household income, and household size. The operational definition of household assets was the logarithm of the household’s annual assets plus one; the operational definition of household income was the logarithm of the household’s annual income plus one; and the operational definition of household size was the total number of people in a household. The data for these variables were obtained from the CFPS. The control variables at the provincial level included GDP per capita (unit: RMB 10,000), industrial structure (share of added value of primary industry in regional GDP), per capita disposable income of the whole population (unit: RMB 10,000), degree of agricultural mechanization, and rural population share (the proportion of the resident population in rural areas at the end of the year). The operational definition of the degree of agricultural mechanization is the total power of agricultural machinery divided by the resident population at the end of the year (unit: ten million per person). The data on the control variables at the provincial level are from the China Statistical Yearbook.
2.1.4. Other Variables
Several categorical variables were used for heterogeneity analysis. The operational definition of the rural–urban divide was 1 for urban areas and 0 for rural areas. The operational definition of the north–south difference was 1 for the southern provinces and 0 for the northern provinces. Provinces with per capita food production greater than the national average were considered major agricultural provinces and assigned a value of 1; otherwise, they were considered non-major agricultural provinces and assigned a value of 0. The per capita local financial expenditure on environmental protection was obtained by dividing the local financial expenditure on environmental protection by the resident population at the end of the year (in thousands of RMB). Provinces with a per capita local financial expenditure on environmental protection greater than the national average were considered high-environmental-expenditure provinces and assigned a value of 1; otherwise, they were considered low-environmental-expenditure provinces and assigned a value of 0. Provinces located in the Yangtze River Economic Belt were Yangtze River Economic Belt regions and assigned a value of 1; otherwise, they were non-Yangtze River Economic Belt regions and assigned a value of 0. The per total power of agricultural machinery was obtained by dividing the total power of agricultural machinery by the rural population (kilowatts). Provinces with a total power of agricultural machinery greater than the national average were considered high-agricultural-mechanization provinces and assigned a value of 1; otherwise, they were considered low-agricultural-mechanization provinces and assigned a value of 0. Data for the relevant variables were obtained from the China Statistical Yearbook. The details of these variables are presented in Table 3.
Table 3.
Descriptive statistics of variables.
2.2. Empirical Methods
Provinces have implemented COSBs in different years, and multi-temporal DID methods can effectively assess the gradual implementation effects of government policies in different periods. Therefore, this study adopted a multi-temporal DID method to study the impact of COSB policy implementation on household cooking fuel, which is modeled as follows:
where represents the ith household, and represents the year. is the COSB policy effect variable and core independent variable used in this study. is the control variable, and and are the province and year fixed effects, respectively. The model also controlled for the individual fixed effects of the household () and the time fixed effects of the survey month (). is the error term. is the dependent variable. The baseline models included three dependent variables: cleaner fuels, firewood, and coal. Here, the core parameter is , which reflects the effects of COSBs on cooking fuel use. is expected to be significantly positive if the dependent variable is cleaner fuels. is expected to be significantly negative if the dependent variable is firewood or coal. The results of the Bacon decomposition of cooking fuels are presented in Figure A1 and Figure A2.
Satisfying the parallel trend condition is a prerequisite for applying the DID method. In this study, an event analysis method was used to test whether the experimental and control groups had the same change trends in clean cooking fuel and firewood before the implementation of COSB policies, using the following model:
where indicates that the year is the first period before the implementation of the COSB. The regression coefficient of is the focus of this analysis. If the regression coefficient is not significant, it indicates that there was no significant difference in the trend of the explanatory variables of the experimental and control groups before the implementation of the COSB policy. That is, it meets the condition of a parallel trend before the implementation of the policy, and the application of the double-difference method for the evaluation of the policy is feasible. indicates that the current year is the year in which the COSB was implemented, and indicates that the current year is the mth period after the implementation of the COSB. Because the CFPS conducts a follow-up survey every two years, every period here is equal to two years, and in this analysis. , and are dummy variables consisting of ones and zeroes. and are expected to be significantly positive if the dependent variable is cleaner fuel. and are expected to be significantly negative if the dependent variable is firewood. The data were analyzed using Stata statistical software (version 17, StataCorp, College Station, TX, USA).
3. Results
3.1. Effects of COSB on Household Cooking Fuel Use
To identify whether COSBs affect household cooking fuel use, this study used a DID model, after controlling for the year and individual fixed effects, and a two-way fixed effects model (Table 4 and Equation (1)). The results are summarized in Table 4. Model (1) only controlled for time and individual fixed effects, with no other control variables included. Model (2) added household-level control variables to Model (1). Model (3) added province-level control variables to Model (2). Model (4) controlled for the province fixed effects based on Model (3). Finally, Model (5) controlled for the survey month fixed effects based on Model (4).
Table 4.
The effects of COSBs.
The results show that for cleaner cooking fuels, the estimated coefficients of the core explanatory variable DID in columns (1)–(5) have a positive sign and are statistically significant at the 1%, 1%, 5%, 5%, and 5% levels, respectively, suggesting that the COSB policies have contributed significantly to the increased adoption of clean cooking fuels by households in those provinces compared to in the provinces that do not have COSBs in place. Therefore, the results in Table 1 allow for a tentative conclusion that COSB implementation can promote the household adoption of cleaner cooking fuels. According to the results shown in column (5), the proportion of households adopting cleaner cooking fuels has increased by an average of 7.5% in provinces where COSBs have been implemented compared to in provinces where they have not.
The are many reasons for this association. COSBs help to raise awareness among the population that traditional cooking fuels are a significant source of indoor pollution, endangering the health of families [6]. Therefore, families replace traditional cooking fuels with cleaner cooking fuels, reducing indoor pollution and thus ensuring their families’ health [35]. COSBs stimulate residents’ willingness to pay for measures that reduce air pollution [36], which helps to promote the adoption of cleaner cooking fuels by households. In addition, COSBs can help increase the population’s willingness to take risks [37], which can give risk-averse households the courage to adopt cleaner cooking fuels [38].
For firewood, the estimated coefficients of the core explanatory variable DID were negative and significant at the 5% level in all five models. This suggests that COSB implementation is effective in reducing the household use of firewood as a cooking fuel compared to in provinces that have not implemented a COSB. The results in column (5) show that the proportion of households that adopted cleaner cooking fuels decreased by an average of 4.3% in provinces where COSBs were implemented compared to in provinces where they were not. COSBs promote local media campaigns and reports of air pollution reduction [39], which encourages households to reduce their use of firewood for cooking, given that firewood cooking fuel is a significant source of indoor air pollution [40]. For coal, although the estimated coefficients of DID were negative across all five models, none were significant at the 5% level. This suggests a lack of a significant difference in the use of coal as a cooking fuel by households in provinces where COSBs were implemented compared to in provinces without COSBs. In other words, the COSB policy had no effect on whether households used coal for cooking. This is related to coal dependence in household energy consumption. Among Chinese rural households, coal still accounts for a large share of energy use, especially in the north [41]. Detailed information on the regression results is presented in Table A1, Table A2 and Table A3.
3.2. Pre-Treatment Parallel Trend Test
In the baseline regression analysis, this study identified the causal effect of COSB policies on household cooking fuel use; however, the prerequisite assumption for the validity of the DID approach was that changes in household cooking fuels had to satisfy the parallel trend assumption [42]. Therefore, households’ cooking fuel use in the treatment and control groups needed to display the same change trend in the absence of a COSB policy.
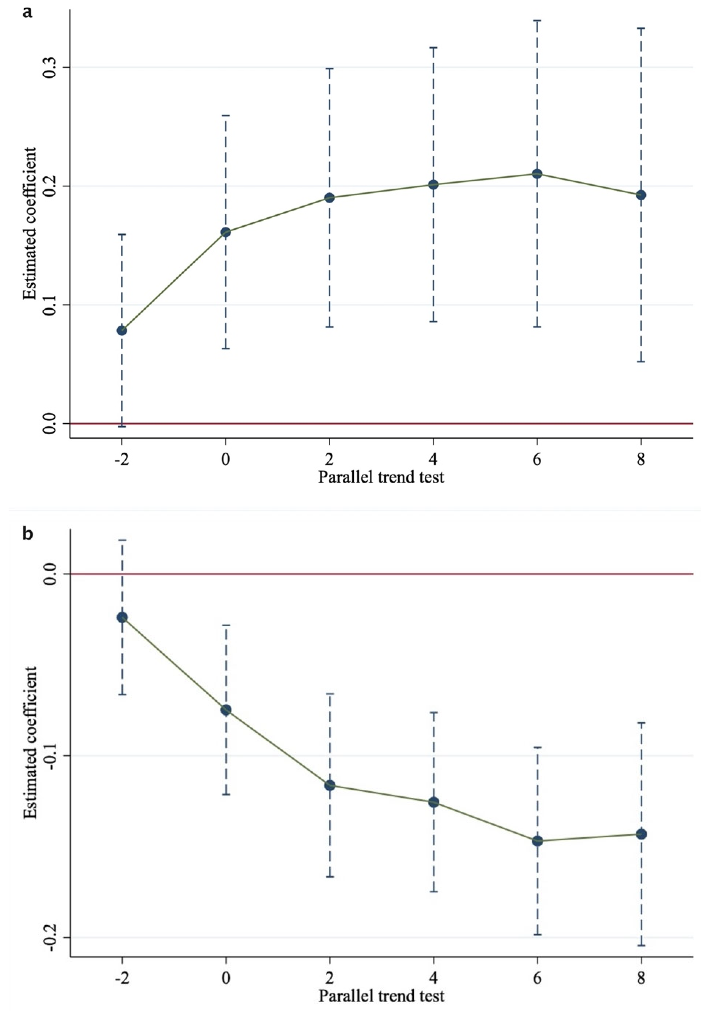
This study examined the differences in household cooking fuels between the treatment and control group provinces in different periods before and after COSB policy implementation, using the COSB policy implementation period as the base period (Figure 1 and Equation (2)). The upper section of Figure 1 illustrates the parallel trend test plots for the household adoption of cleaner cooking fuels in the COSB-implementing and non-COSB-implementing provinces. The results show that the estimated coefficient of the parameter was not significant at the 95% confidence interval before COSB policy implementation, indicating no significant difference in the trend of household adoption of cleaner cooking fuels between the treatment and control groups before COSB policy implementation. Thus, the trend of the household adoption of cleaner cooking fuels between the treatment and control groups satisfied the parallel trend hypothesis. In terms of the dynamic effect of the policy, the parameter estimates have become significantly positive in the current period after COSB policy implementation, indicating the promotion effect of COSB policies on the household adoption of cleaner cooking fuels persists.
Figure 1.
The parallel trend test results. (a) The effects of COSB policies on the use of cleaner cooking fuels. (b) The effects of COSB policies on the use of firewood for cooking.
The lower part of Figure 1 shows the parallel trend test results for the household adoption of firewood as a cooking fuel in the provinces with and without COSB policy implementation. The results show that the estimated coefficient of the parameters before the implementation of the COSB policy is not significant at the 95% confidence interval, indicating that no significant differences were observed in the trend of the household adoption of firewood for cooking between the treatment and control groups before COSB policy implementation. In terms of the dynamic effect of the policy, the estimates of the parameters have become significantly negative in the current period after COSB policy implementation, indicating the persistence of the disincentive effect of the COSB policy on the household adoption of firewood for cooking.
3.3. Placebo Testing
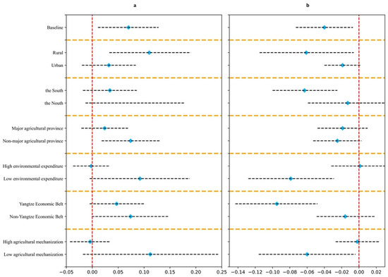
Figure 2a,d show that the estimated coefficients were not significant as COSB policy implementation progressed by one, two, three, four, and five periods, respectively. Figure 2b,e present the results of the in situ spatial placebo tests. A number of households were randomly selected from the sample households as “fake treatment units” without any replacement, and DID estimation was performed and then repeated 500 times. According to Figure 2b,e, the kernel density curves in the “pseudo-treatment group” coincide with the standard normal distribution, and the mean values of the coefficients are very close to 0. The vertical lines deviate significantly and are different from the kernel density distribution in the pseudo-treatment group. This indicates that the randomly generated pseudo-treatment group did not show a significant effect on clean cooking fuel or the use of firewood for cooking, excluding the influence of unobservable factors. Figure 2c,f present the results of the unrestricted mixed placebo test. A total of 1816 households were randomly selected as fake treatment units. The fake treatment times were randomly selected from 2012 to 2016. According to Figure 2b,e, the kernel density curves of the estimated coefficients in the pseudo-treatment group coincide with the standard normal distribution, and the mean values of the coefficients are very close to 0. The vertical lines deviate significantly and are different from the kernel density distribution in the pseudo-treatment group. These results confirm that the facilitating effect of COSB policies on adopting clean cooking fuels and the dampening effect of COSB policies on the use of firewood for cooking passed all the above placebo tests, indicating that their causality holds.
Figure 2.
The placebo trend test. (a) The impact of the early implementation of a fictitious COSB policy on clean cooking fuels. (b) The results of an in situ spatial placebo test for clean cooking fuel. (c) The results of an unrestricted mixed placebo test for clean cooking fuel. (d) The effects of the early implementation of a fictitious COSB policy on the use of firewood for cooking. (e) The results of an in situ spatial placebo test on the use of firewood for cooking. (f) The unrestricted mixed placebo test for clean cooking fuel.
3.4. Heterogeneity Analysis
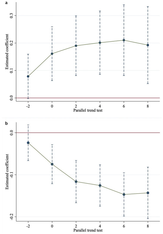
Figure 3 summarizes the multi-dimensional heterogeneity tests and the results. The detailed results are presented in Table A4. The small squares in Figure 3 represent the DID regression coefficients, and the black dashed lines represent the corresponding confidence intervals. The first parts of Figure 3a,b are the results of the baseline models, which are the results of column (5) in Table 1. According to the second part of Figure 3a,b, both the facilitating effect of COSB policies on the adoption of clean cooking fuels and the dampening effect of COSB policies on the use of firewood for cooking in rural areas have been significant, although they have been insignificant in urban areas. According to the third part of Figure 3a,b, only the dampening effect of COSB policies on the use of firewood for cooking has been significant in southern China. According to the fourth part of Figure 3a,b, only the facilitating effect of COSB policies on the adoption of clean cooking fuels in non-major agricultural provinces has been significant. Some farmers do not support the current COSB policies because of the short-term increases in the costs of farming and the resulting decreases in profitability. In large grain-producing provinces, the farmers’ opposition is even stronger. As a result, local governments have struggled to implement COSB policies, and farmers try to evade these bans. In smaller food-producing provinces, the farmers’ opposition is weaker. Therefore, the local governments can effectively implement the COSB policies, and their impact on household cooking fuel usage is more obvious.
Figure 3.
Heterogeneity test results. (a) Heterogeneity tests results of the effects of COSB policy implementation on clean cooking fuels. (b) The heterogeneity tests results of the effects of COSB policy implementation on the use of firewood for cooking.
According to the fifth parts of Figure 3a,b, the dampening effect of COSB policy implementation on the use of firewood for cooking is only significant in provinces with low environmental expenditure. According to the sixth parts of Figure 3a,b, the dampening effect of COSB policy implementation on the use of firewood for cooking has been significant only in the Yangtze Economic Belt areas. According to the final parts of Figure 3a,b, the dampening effect of COSB policy implementation on the use of firewood for cooking has been significant only in provinces with low agricultural mechanization.
4. Discussion
4.1. Theoretical Implications
Policy design refers to the selection of appropriate policy instruments to achieve carefully defined policy objectives, involving policy concepts, policy content, and policy processes [43]. In recent years, the pursuit of simplified design has not been fully realized, bringing researchers’ attention back to policy design with an approach called “new policy design” [44]. While emphasizing a focus on themes such as toolboxes or hybrid instruments, “new policy design” has been challenged by issues such as uneven policy responses [45].
Using COSB policies as an example, this study has important theoretical implications for policymakers and policy design. First, answering the question of whether a COSB policy is needed requires a comprehensive assessment of the costs and benefits of policy implementation. In terms of benefits, past studies have concluded that COSB policies are effective in controlling air pollution [6,8,9]. However, the effects of COSB implementation on indoor air pollution have been largely overlooked. This study shows that COSB policies can effectively promote the adoption of clean cooking fuels and inhibit the use of firewood for cooking in households. These initiatives have significantly reduced indoor air pollution. The use of straw, firewood, coal, and other fuels for cooking produces large quantities of air pollutants, including fine particulate matter and nitrogen oxides and other air pollutants, which seriously jeopardize the health of the population and are significant sources of indoor air pollution in developing countries, leading to the premature deaths of millions of people [15,35]. In China, the use of cleaner fuels for cooking has been shown to reduce the risk of all-cause mortality by 10% and cardiovascular and respiratory mortality by 17% and 12%, respectively [46]. Therefore, indoor air pollution from the use of unclean cooking fuels imposes a considerable burden, and the potential health benefits derived from the adoption of cleaner cooking fuels following the implementation of COSB policies could be substantial. Reconstructing policy design has become a new direction for policy research in a number of fields, and numerous scholars in different fields have responded to Howlett’s call [44]. However, the results of this study show that COSB policies are effective in promoting the conversion to clean cooking fuels in households and there is no need to reconstruct COSB-related policy design. Therefore, this study highlights the importance of policy focus, which refers to the commitment and consistency of policymakers after formulating a policy and their ability to maintain the direction and strength of the policy in the face of various situations and pressures during its implementation. Therefore, this study effectively deepens the theoretical content of policy design theory [47,48].
Second, the impact of COSB policies on the conversion to cleaner fuel for household cooking is not always effective. Although firewood is a prevalent unclean energy source for cooking in developing countries [49], coal is common as well. For example, more than 18% of households in India reported the use of coal as a cooking fuel [50]. This study’s results show that COSB policy implementation is effective in discouraging households from adopting firewood as a cooking fuel. However, the results also show that the effects of COSB policies on household cooking using coal were not significant. This finding suggests that COSB policy implementation had not persuaded households to reduce their use of coal for cooking. This is an important finding that has previously been overlooked. When implementing COSB policies, governments generally encourage the reuse of straw, such as generating straw briquette fuel to replace coal. Accordingly, governments often provide certain financial subsidies. Straw briquette fuel is an environmentally friendly, clean, and renewable new fuel that can be used directly as a replacement fuel with traditional coal-burning equipment. Unfortunately, the results of this study show that the objective of COSB policies have not been achieved, and policy implementation has not had an impact on the household use of coal as a cooking fuel. Thus, COSB policy implementation alone is insufficient to reduce indoor pollution by decreasing the household use of coal for cooking. In this regard, as Howlett and Lejano argue, these “magic bullets” do not translate into desirable policy outcomes on their own, and it is difficult to achieve desirable policy outcomes without the use of effective policy instruments [51]. The results of this study provide new insights into the social and behavioral aspects of the use of specific types of policy instruments, advancing the study of the policy design process at the behavioral level [48,52].
Finally, the results of the heterogeneity analysis show that the facilitating effects of COSB policy implementation on the adoption of clean cooking fuels have been significant in non-major agricultural rural areas. In addition, the results also show that the inhibitory effects of COSB policy implementation on the adoption of firewood as a cooking fuel have been significant in the southern rural areas of provinces with low environmental expenditure and low agricultural mechanization and in the Yangtze Economic Belt region. Unsurprisingly, these results confirm the variability in the effects that COSB policies have on household cooking fuel use, which can vary depending on the situation in different regions, and they emphasize the need for the targeted design and implementation of COSB policies tailored to local contexts. These results suggest that a “one-size-fits-all” COSB policy that applies the same treatment to a particular group or behavior without considering specific circumstances and differences may lead to inequities and inefficiencies in its practical application. This suggests that the traditional design-oriented approach of focusing on a single-policy instrument has become difficult to apply in reality and that multiple policies or combinations of policy instruments should be used to achieve better results. This further develops and extends the existing theories of policy design [53,54], making them more effective in dealing with and responding to high levels of uncertainty and complexity in public affairs.
4.2. Practical Implications
Based on the above conclusions, this study puts forward the following policy recommendations to effectively manage straw burning and realize the conversion to clean cooking fuel in rural households. First of all, it is necessary to continue to implement COSB policies, as they are essential for integrating the progress of agricultural technology with green development. Secondly, the state should introduce relevant economic policies as soon as possible to support the comprehensive utilization of straw-related industries, promoting the synergistic development of the comprehensive utilization of straw and the transformation and upgrading of rural energy structures. Finally, various forms of publicity and education activities are needed to enhance farmers’ awareness of the importance, enormity, and urgency of straw burning bans and the conversion to cleaner cooking fuels.
4.3. Limitations and Future Research Directions
This study has some limitations that can be addressed in further research. First, this study examined the effects of COSB policy implementation on household cooking fuel; however, the specific pathways of action were not explored. In the future, the specific paths of the effect can be explored through a mediating variable test. Second, special government subsidies on straw utilization and the conversion to clean cooking fuels have significant influence on farmers’ related behaviors. However, the lack of relevant data prevented this study from fully exploring the effects of government subsidies. The impact of government subsidies on farmers’ straw utilization and conversion to clean cooking fuels can be examined by collecting relevant government subsidy data. Third, this study did not examine the impact of policies other than COSB policies, nor did it explore the impact of differential responses to central government policies across provinces. These are important directions for future research. Finally, if data on indoor pollution become available in the future, examining the impact of COSBs on the indoor air quality of households will be possible, allowing for more comprehensive assessments of their impact on the quality of life of households and the health of family members.
5. Conclusions
In this study, we used the CFPS panel data to assess the impact of COSBs on household cooking fuel using a multi-period DID approach. The results of this study show that COSBs promote the conversion to cleaner household cooking fuels and discourage households from adopting firewood for cooking; however, the impact of these policies on households’ adoption of coal for cooking is not significant. In addition, further studies showed heterogeneity in the effects of COSBs on household cooking fuels.
Funding
This research was funded by the National Social Science Fund of China, grant number 17BSH122. The APC was funded by the author.
Data Availability Statement
The data will be made available upon request.
Conflicts of Interest
The authors declare that they have no known competing financial interests or personal relationships that could have appeared to influence the work reported in this paper.
Appendix A
Table A1.
Regression results of factors influencing the use of cleaner cooking fuels.
Table A1.
Regression results of factors influencing the use of cleaner cooking fuels.
| Explained Variable: Cleaner Fuels | |||||
|---|---|---|---|---|---|
| (1) | (2) | (3) | (4) | (5) | |
| DID | 0.092 ** | 0.088 *** | 0.074 ** | 0.072 ** | 0.07 ** |
| (2.71) | (2.64) | (2.41) | (2.34) | (−2.36) | |
| Household assets | −0.013 *** | −0.01 *** | −0.01 *** | −0.01 *** | |
| (−4.28) | (−3.31) | (−3.32) | (−3.45) | ||
| Household size | 0.002 | 0.002 | 0.002 | 0.002 | |
| (0.74) | (0.65) | (0.72) | (0.7) | ||
| Household income | 0.018 *** | 0.018 *** | 0.018 *** | 0.018 *** | |
| (3.71) | (3.6) | (3.63) | (3.6) | ||
| GDP per capita | 0.297 | 0.262 | 0.248 | ||
| (1.32) | (1.11) | (1.04) | |||
| Industrial structure | −1.179 ** | −0.221 ** | −0.212 ** | ||
| (−2.01) | (−2.24) | (−2.14) | |||
| Disposable income per capita | −1.176 * | −1.087 | −1.084 | ||
| (−1.67) | (−1.46) | (−1.45) | |||
| Agricultural mechanization | −0.073 | −0.073 | −0.075 | ||
| (−1.54) | (−1.52) | (−0.112) | |||
| Rural population share | −0.375 | −0.489 | −0.518 * | ||
| (−1.23) | (−1.53) | (−1.68) | |||
| Constant | 0.542 *** | 0.391 *** | 2.452 | 2.933 * | 3.042 ** |
| (47.07) | (7.54) | (1.58) | (1.84) | (1.97) | |
| Provincial factor control | No | No | Yes | Yes | Yes |
| Family factor control | No | Yes | Yes | Yes | Yes |
| Family fixed effects | Yes | Yes | Yes | Yes | Yes |
| Province fixed effects | No | No | No | Yes | Yes |
| Month fixed effects | No | No | No | No | Yes |
| Year fixed effects | Yes | Yes | Yes | Yes | Yes |
| Observations | 19,806 | 19,806 | 19,806 | 19,806 | 19,806 |
| R-squared | 0.625 | 0.627 | 0.63 | 0.631 | 0.632 |
Robust t-statistics in parentheses; *** p < 0.01, ** p < 0.05, * p < 0.1.
Table A2.
Regression results of factors influencing the use of firewood cooking fuel.
Table A2.
Regression results of factors influencing the use of firewood cooking fuel.
| Explained Variable: Firewood Cooking Fuel | |||||
|---|---|---|---|---|---|
| (1) | (2) | (3) | (4) | (5) | |
| DID | −0.053 ** | −0.048 *** | −0.039 ** | −0.04 ** | −0.04 ** |
| (−2.55) | (−2.48) | (−2.34) | (−2.35) | (−2.39) | |
| Household assets | 0.013 *** | 0.011 *** | 0.011 *** | 0.01 *** | |
| (5.16) | (4.56) | (4.57) | (4.52) | ||
| Household size | −0.005 ** | −0.005 * | −0.005 ** | −0.005 ** | |
| (−2.01) | (−1.95) | (−1.99) | (−2.05) | ||
| Household income | −0.014 *** | −0.013 *** | −0.013 *** | −0.013 *** | |
| (−3.2) | (−3.16) | (−3.12) | (−3.09) | ||
| GDP per capita | −0.069 | −0.086 | −0.09 | ||
| (−0.59) | (−0.7) | (−0.72) | |||
| Industrial structure | 0.122 ** | 0.108 * | 0.108 * | ||
| (2.29) | (1.8) | (1.81) | |||
| Disposable income per capita | 0.731 ** | 0.795 ** | 0.811 ** | ||
| (2.08) | (2.08) | (2.14) | |||
| Agricultural mechanization | 0.0002 | 0.0001 | 0.0002 | ||
| (0.01) | (0.01) | (0.01) | |||
| Rural population share | 0.139 | 0.104 | 0.125 | ||
| (0.89) | (0.62) | (0.75) | |||
| Constant | 0.141 *** | 0.252 *** | −0.908 | −0.779 | −0.86 |
| (19.96) | (5.74) | (−1.2) | (−0.98) | (−1.09) | |
| Provincial factor control | No | No | Yes | Yes | Yes |
| Family factor control | No | Yes | Yes | Yes | Yes |
| Family fixed effects | Yes | Yes | Yes | Yes | Yes |
| Province fixed effects | No | No | No | Yes | Yes |
| Month fixed effects | No | No | No | No | Yes |
| Year fixed effects | Yes | Yes | Yes | Yes | Yes |
| Observations | 19,806 | 19,806 | 19,806 | 19,806 | 19,806 |
| R-squared | 0.502 | 0.504 | 0.508 | 0.508 | 0.509 |
Robust t-statistics in parentheses; *** p < 0.01, ** p < 0.05, * p < 0.1.
Table A3.
Regression results of factors influencing the use of coal cooking fuel.
Table A3.
Regression results of factors influencing the use of coal cooking fuel.
| Explained Variable: Coal Cooking Fuel | |||||
|---|---|---|---|---|---|
| (1) | (2) | (3) | (4) | (5) | |
| DID | −0.014 | −0.012 | −0.006 | −0.007 | −0.005 |
| (−0.86) | (−0.77) | (−0.45) | (−0.5) | (−0.4) | |
| Household assets | 0.006 *** | 0.005 *** | 0.005 *** | 0.005 *** | |
| (4.18) | (3.73) | (3.7) | (3.77) | ||
| Household size | 0.004 ** | 0.004 ** | 0.003 ** | 0.003 ** | |
| (2.18) | (2.15) | (2.05) | (2.03) | ||
| Household income | −0.004 ** | −0.004 * | −0.004 * | −0.004 * | |
| (−2.00) | (−1.89) | (−1.86) | (−1.84) | ||
| GDP per capita | −0.115 | −0.124 | −0.115 | ||
| (−1.03) | (−1.09) | (−1.00) | |||
| Industrial structure | 0.12 ** | 0.112 ** | 0.106 ** | ||
| (2.62) | (2.3) | (2.2) | |||
| Disposable income per capita | 0.647 ** | 0.687 ** | 0.683 ** | ||
| (2.03) | (2.09) | (2.09) | |||
| Agricultural mechanization | −0.065 ** | −0.067 ** | −0.066 ** | ||
| (−2.35) | (−2.39) | (−2.36) | |||
| Rural population share | 0.292 ** | 0.272 * | 0.287 ** | ||
| (2.21) | (1.97) | (2.07) | |||
| Constant | 0.142 *** | 0.048 *** | −1.573 ** | −1.503 ** | −1.559 ** |
| (7.17) | (2.26) | (−2.29) | (−2.11) | (−2.2) | |
| Provincial factor control | No | No | Yes | Yes | Yes |
| Family factor control | No | Yes | Yes | Yes | Yes |
| Family fixed effects | Yes | Yes | Yes | Yes | Yes |
| Province fixed effects | No | No | No | Yes | Yes |
| Month fixed effects | No | No | No | No | Yes |
| Year fixed effects | Yes | Yes | Yes | Yes | Yes |
| Observations | 19,806 | 19,806 | 19,806 | 19,806 | 19,806 |
| R-squared | 0.388 | 0.389 | 0.396 | 0.397 | 0.398 |
Robust t-statistics in parentheses; *** p < 0.01, ** p < 0.05, * p < 0.1.
Table A4.
Heterogeneity analysis.
Table A4.
Heterogeneity analysis.
| Cooking Fuel | ||||||||||||
|---|---|---|---|---|---|---|---|---|---|---|---|---|
| Rural | Urban | South | North | Major Agricultural Provinces | Non-Major Agricultural Provinces | High Environmental Expenditure | Low Environmental Expenditure | Yangtze Economic Belt | Non-Yangtze Economic Belt | High Agricultural Mechanization | Low Agricultural Mechanization | |
| (1) | (2) | (3) | (4) | (5) | (6) | (1) | (2) | (3) | (4) | (5) | (6) | |
| (a) Cleaner fuels | ||||||||||||
| DID | 0.11 *** | 0.032 | 0.034 | 0.082 * | 0.024 | 0.074 ** | −0.002 | 0.092 * | 0.047 * | 0.074 * | −0.004 | 0.112 * |
| (2.79) | (1.21) | (1.3) | (1.76) | (1.07) | (2.61) | (−0.11) | (1.88) | (1.8) | (1.98) | (−0.21) | (1.71) | |
| 0.593 | 0.643 | 0.664 | 0.609 | 0.712 | 0.764 | 0.772 | 0.618 | 0.662 | 0.621 | 0.739 | 0.695 | |
| (b) Firewood | ||||||||||||
| DID | −0.061 ** | −0.019 * | −0.063 *** | −0.013 | −0.019 | −0.025 * | 0.001 | −0.079 *** | −0.095 *** | −0.016 | −0.002 | −0.06 ** |
| (−2.2) | (−1.76) | (−3.32) | (−0.56) | (−1.3) | (−1.75) | (0.03) | (−3.14) | (−4.04) | (−0.93) | (−0.14) | (−2.14) | |
| 0.54 | 0.464 | 0.469 | 0.538 | 0.667 | 0.575 | 0.753 | 0.473 | 0.494 | 0.513 | 0.711 | 0.516 | |
| (c) Coal | ||||||||||||
| DID | −0.021 | 0.006 | −0.001 | −0.016 | 0.002 | 0.005 | 0.001 | −0.012 | −0.005 | 0.002 | 0.003 | 0.006 |
| (−1.16) | (0.011) | (−0.09) | (−0.69) | (0.17) | (0.32) | (0.22) | (−0.5) | (−0.62) | (0.14) | (0.22) | (0.27) | |
| 0.427 | 0.374 | 0.356 | 0.426 | 0.61 | 0.423 | 0.695 | 0.387 | 0.243 | 0.41 | 0.614 | 0.455 | |
| Provincial factor control | Yes | Yes | Yes | Yes | Yes | Yes | Yes | Yes | Yes | Yes | Yes | Yes |
| Family factor control | Yes | Yes | Yes | Yes | Yes | Yes | Yes | Yes | Yes | Yes | Yes | Yes |
| Family fixed effects | Yes | Yes | Yes | Yes | Yes | Yes | Yes | Yes | Yes | Yes | Yes | Yes |
| Province fixed effects | Yes | Yes | Yes | Yes | Yes | Yes | Yes | Yes | Yes | Yes | Yes | Yes |
| Month fixed effects | Yes | Yes | Yes | Yes | Yes | Yes | Yes | Yes | Yes | Yes | Yes | Yes |
| Year fixed effects | Yes | Yes | Yes | Yes | Yes | Yes | Yes | Yes | Yes | Yes | Yes | Yes |
| Observations | 9220 | 10,513 | 10,314 | 9489 | 11,226 | 8579 | 9026 | 10,779 | 5315 | 14,489 | 10,019 | 9787 |
Robust t-statistics in parentheses. *** p < 0.01, ** p < 0.05, * p < 0.1.
Appendix B
Figure A1.
Results of Bacon decomposition for cleaner fuel.
Figure A1.
Results of Bacon decomposition for cleaner fuel.

Figure A2.
Results of Bacon decomposition for firewood cooking fuel.
Figure A2.
Results of Bacon decomposition for firewood cooking fuel.

References
- Preez, C.C.D.; Steyn, J.T.; Kotze, E. Long-term effects of wheat residue management on some fertility indicators of a semi-arid Plinthosol. Soil Tillage Res. 2001, 63, 25–33. [Google Scholar] [CrossRef]
- Li, S.; Hu, M.; Shi, J.; Tian, X. Improving long-term crop productivity and soil quality throughintegrated straw-return and tillage strategies. Agron. J. 2022, 114, 887–1570. [Google Scholar] [CrossRef]
- Kaushal, L.A.; Prashar, A. Agricultural crop residue burning and its environmental impacts and potential causes—Case of northwest India. J. Environ. Plan. Manag. 2021, 64, 464–484. [Google Scholar] [CrossRef]
- Kholif, A.E.; Elghandour, M.M.Y.; Rodríguez, G.B.; Olafadehan, O.A.; Salem, A.Z.M. Anaerobic Ensiling of Raw Agricultural Waste with a Fibrolytic Enzyme Cocktail as a Cleaner and Sustainable Biological Product. J. Clean. Prod. 2017, 142, 2649–2655. [Google Scholar] [CrossRef]
- Cassou, E.; Jaffee, S.M.; Ru, J. The Challenge of Agricultural Pollution: Evidence from China, Vietnam, and the Philippines; The World Bank: Washington, DC, USA, 2018. [Google Scholar]
- Huang, L.; Zhu, Y.; Liu, H.; Wang, Y.; Allen, D.T.; Ooi, M.C.G.; Manomaiphiboon, K.; Latif, M.T.; Chan, A.; Li, L. Assessing the contribution of open crop straw burning to ground-level ozone and associated health impacts in China and the effectiveness of straw burning bans. Environ. Int. 2023, 171, 107710. [Google Scholar] [CrossRef]
- Kumar, S.; Sharma, D.K.; Singh, D.R.; Biswas, H.; Praveen, K.V.; Sharm, V. Estimating loss of ecosystem services due to paddy straw burning in North-west India. Int. J. Agric. Sustain. 2019, 17, 146–157. [Google Scholar] [CrossRef]
- Liu, Y.; Zhao, H.; Zhao, G.; Zhang, X.; Xiu, A. Carbonaceous gas and aerosol emissions from biomass burning in China from 2012 to 2021. J. Clean. Prod. 2022, 362, 132199. [Google Scholar] [CrossRef]
- Zhao, H.; Zhang, X.; Zhang, S.; Chen, W.; Tong, D.Q.; Xiu, A. Effects of Agricultural Biomass Burning on Regional Haze in China: A Review. Atmosphere 2017, 8, 88. [Google Scholar] [CrossRef]
- Nguyen, M.N. Worldwide Bans of Rice Straw Burning Could Increase Human Arsenic Exposure. Environ. Sci. Technol. 2020, 54, 3725–4696. [Google Scholar] [CrossRef]
- Ahmed, W.; Tan, Q.; Ali, S.; Ahmad, N. Addressing environmental implications of crop stubble burning in Pakistan: Innovation platforms as an alternative approach. Int. J. Glob. Warm. 2019, 19, 76–93. [Google Scholar] [CrossRef]
- Huang, L.; Zhu, Y.; Wang, Q.; Zhu, A.; Liu, Z.; Wang, Y.; Allen, D.T.; Li, L. Assessment of the effects of straw burning bans in China: Emissions, air quality, and health impacts. Sci. Total Environ. 2021, 789, 147935. [Google Scholar] [CrossRef] [PubMed]
- Li, S.; Zhang, M.; Wang, L.; Cao, Q.; Qin, W. The evolution of open biomass burning during summer crop harvest in the North China Plain. Prog. Phys. Geogr. 2023, 47, 873–891. [Google Scholar] [CrossRef]
- IEA. Tracking SDG7: The Energy Progress Report 2023; IEA: New York, NY, USA, 2023. [Google Scholar]
- WHO. WHO Guidelines for Indoor Air Quality: Household Fuel Combustion; World Health Organization: Geneva, Switzerland, 2014. [Google Scholar]
- Cao, G.; Zhang, X.; Wang, Y.; Zheng, F. Estimation of emissions from field burning of crop straw in China. Chin. Sci. Bull. 2008, 53, 784–790. [Google Scholar] [CrossRef]
- Sun, Q.; Sun, D.; Yu, C.; Guo, Y.; Sun, D.; Pei, P.; Yang, L.; Chen, Y.; Du, H.; Schmidt, D.; et al. Impacts of solid fuel use versus smoking on life expectancy at age 30 years in the rural and urban Chinese population: A prospective cohort study. Lancet Reg. Health—West. Pac. 2023, 32, 100705. [Google Scholar] [CrossRef] [PubMed]
- WHO. Public Health, Environmental and Social Determinants of Health; World Health Organization: Geneva, Switzerland, 2014. [Google Scholar]
- Yun, X.; Shen, G.; Shen, H.; Meng, W.; Chen, Y.; Xu, H.; Ren, Y.; Zhong, Q.; Du, W.; Ma, J.; et al. Residential solid fuel emissions contribute significantly to air pollution and associated health impacts in China. Sci. Adv. 2020, 6, eaba7621. [Google Scholar] [CrossRef]
- Wang, X.E.; Li, K.; Song, J.; Duan, H.; Wang, S. Integrated assessment of straw utilization for energy production from views of regional energy, environmental and socioeconomic benefits. J. Clean. Prod. 2018, 190, 787–798. [Google Scholar] [CrossRef]
- Zeng, Y.; Zhang, J.; He, K. Effects of conformity tendencies on households’ willingness to adopt energy utilization of crop straw: Evidence from biogas in rural China. Renew. Energy 2019, 138, 573–584. [Google Scholar] [CrossRef]
- Gu, J. Importance of neighbors in rural households’ conversion to cleaner cooking fuels: The impact and mechanisms of peer effects. J. Clean. Prod. 2022, 379, 134776. [Google Scholar] [CrossRef]
- Gu, J. Energy poverty and government subsidies in China. Energy Policy 2023, 180, 113652. [Google Scholar] [CrossRef]
- He, K.; Zhang, J.; Zeng, Y. Households’ willingness to pay for energy utilization of crop straw in rural China: Based on an improved UTAUT model. Energy Policy 2020, 140, 111373. [Google Scholar] [CrossRef]
- Wang, S.; Yin, C.; Li, F.; Richel, A. Innovative incentives can sustainably enhance the achievement of straw burning control in China. Sci. Total Environ. 2023, 857, 159498. [Google Scholar] [CrossRef] [PubMed]
- Liu, X.; Liu, J.; Liu, Z. Developing a model of propagating the straw burning prohibition policy in Chinese rural communities and exploring its countermeasures. Energy Rep. 2024, 11, 2556–2564. [Google Scholar] [CrossRef]
- Rangel, M.A.; Vogl, T.S. Agricultural Fires and Health at Birth. Rev. Econ. Stat. 2019, 101, 616–630. [Google Scholar] [CrossRef]
- Gammans, M.; Ortiz-Bobea, A. A new look at agricultural fires and health: A replication of Rangel and Vogl (2019). Appl. Econ. Perspect. Policy 2023, 45, 1515–1528. [Google Scholar] [CrossRef]
- He, G.; Liu, T.; Zhou, M. Straw Burning, PM2.5 and Death: Evidence from China. J. Dev. Econ. 2020, 145, 102468. [Google Scholar] [CrossRef]
- Ma, W.; Zheng, H.; Gong, B. Rural income growth, ethnic differences, and household cooking fuel choice: Evidence from China. Energy Econ. 2022, 107, 105851. [Google Scholar] [CrossRef]
- Alem, Y.; Beyene, A.D.; Köhlin, G.; Mekonnen, A. Modeling household cooking fuel choice: A panel multinomial logit approach. Energy Econ. 2016, 59, 129–137. [Google Scholar] [CrossRef]
- Cunningham, S. Causal Inference: The Mixtape; Yale University Press: New York, NY, USA, 2021. [Google Scholar]
- Li, H.; Mu, W.; Chen, T.; Wu, J. A social network perspective on household cooking fuel transition: Evidence from China. Energy Econ. 2024, 131, 107314. [Google Scholar] [CrossRef]
- Lu, H.; Li, T.; Li, G.; Luo, Q.; Gao, M. Digital literacy and the rural cooking energy transition: Evidence from rural China. Energy Policy 2025, 198, 114451. [Google Scholar] [CrossRef]
- Imelda. Cooking that kills: Cleaner energy access, indoor air pollution, and health. J. Dev. Econ. 2020, 147, 102548. [Google Scholar] [CrossRef]
- Yang, X.; Cheng, L.; Yin, C.; Lebailly, P.; Azadi, H. Urban residents’ willingness to pay for corn straw burning ban in Henan, China: Application of payment card. J. Clean. Prod. 2018, 193, 471–478. [Google Scholar] [CrossRef]
- Zhang, D. From ban to balance: How agricultural climate policies reshape rural asset allocation? J. Int. Money Financ. 2024, 149, 103205. [Google Scholar] [CrossRef]
- Adjei-Mantey, K.; Takeuchi, K. Risk aversion and cleaner cooking fuel choice: An empirical study in Ghana. Environ. Dev. Econ. 2023, 28, 130–148. [Google Scholar] [CrossRef]
- Zuo, Z.; Xiang, H.; Yang, H.; Gao, Y. Analysis of Characteristics and Meteorological Influencing Factors of Air Pollution in Luojiang District, Deyang City. Meteorol. Environ. Res. 2024, 15, 24–28. [Google Scholar]
- Stabridis, O.; van Gameren, E. Exposure to firewood: Consequences for health and labor force participation in Mexico. World Dev. 2018, 107, 382–395. [Google Scholar] [CrossRef]
- Teng, M.; Burke, P.J.; Liao, H. The demand for coal among China’s rural households: Estimates of price and income elasticities. Energy Econ. 2019, 80, 928–936. [Google Scholar] [CrossRef]
- Egami, N.; Yamauchi, S. Using Multiple Pretreatment Periods to Improve Difference-in-Differences and Staggered Adoption Designs. Political Anal. 2023, 31, 195–212. [Google Scholar] [CrossRef]
- Capano, G.; Woo, J.J. Resilience and robustness in policy design: A critical appraisal. Policy Sci. 2017, 50, 399–426. [Google Scholar] [CrossRef]
- Howlett, M. From the ‘old’ to the ‘new’ policy design: Design thinking beyond markets and collaborative governance. Policy Sci. 2014, 47, 187–207. [Google Scholar] [CrossRef]
- Esmark, A. Is there a behavioral revolution in policy design? A new agenda and inventory of the behavioral toolbox. Policy Soc. 2023, 42, 441–453. [Google Scholar] [CrossRef]
- Yu, K.; Lv, J.; Liu, G.; Yu, C.; Guo, Y.; Yang, L.; Chen, Y.; Wang, C.; Chen, Z.; Li, L.; et al. Cooking and future risk of all-cause and cardiopulmonary mortality. Nat. Hum. Behav. 2023, 7, 200–210. [Google Scholar] [CrossRef] [PubMed]
- Schneider, A.; Sidney, M. What Is Next for Policy Design and Social Construction Theory? Policy Stud. J. 2009, 37, 103–119. [Google Scholar] [CrossRef]
- Makofske, M.P. Disclosure policy design and regulatory agent behavior. Am. J. Agric. Econ. 2024, 106, 118–144. [Google Scholar] [CrossRef]
- Adeeyo, R.O.; Edokpayi, J.N.; Volenzo, T.E.; Odiyo, J.O.; Piketh, S.J. Determinants of Solid Fuel Use and Emission Risks among Households: Insights from Limpopo, South Africa. Toxics 2022, 10, 67. [Google Scholar] [CrossRef]
- Grové, J.; Lant, P.A.; Greig, C.R.; Smart, S. Can coal-derived DME reduce the dependence on solid cooking fuels in India? Energy Sustain. Dev. 2017, 37, 51–59. [Google Scholar] [CrossRef]
- Howlett, M.; Lejano, R.P. Tales From the Crypt: The Rise and Fall (and Rebirth?) of Policy Design. Adm. Soc. 2013, 45, 357–381. [Google Scholar] [CrossRef]
- Lahat, L.; Sened, I. Behavioural knowledge for policy design: The connection between time use Behaviours and (or) desires and support for policy alternatives. Soc. Policy Adm. 2024, 58, 385–403. [Google Scholar] [CrossRef]
- Gupta, S.D.N. Innovation and Institutional Development for Public Policy: Complexity Theory, Design Thinking and System Dynamics Application; Springer: Singapore, 2024. [Google Scholar]
- Kim, H. Bridging principal-agent and mechanism design theories: An integrated conceptual framework for policy evaluation. Asia Pac. Educ. Rev. 2024, 25, 329–342. [Google Scholar] [CrossRef]
Disclaimer/Publisher’s Note: The statements, opinions and data contained in all publications are solely those of the individual author(s) and contributor(s) and not of MDPI and/or the editor(s). MDPI and/or the editor(s) disclaim responsibility for any injury to people or property resulting from any ideas, methods, instructions or products referred to in the content. |
© 2024 by the author. Licensee MDPI, Basel, Switzerland. This article is an open access article distributed under the terms and conditions of the Creative Commons Attribution (CC BY) license (https://creativecommons.org/licenses/by/4.0/).


