Design and Analysis of a Low Torque Ripple Permanent Magnet Synchronous Machine for Flywheel Energy Storage Systems
Abstract
1. Introduction
2. Machine Topology
3. Torque Ripple Suppression and Performance Analysis
3.1. Cogging Torque Analysis
- The boundary condition of the surface-mounted PMSM at the intersection of the rotor core and the surface of the permanent magnet can be expressed as
- The boundary condition at the surface of the permanent magnet near the side of the air gap can be expressed as
- The boundary condition at the surface of the stator core near the side of the air gap can be expressed aswhere the subscripts 1 and 2 represent the regions where each variable is located, and the subscripts r and α represent the radial and tangential components corresponding to the magnetic induction intensity B and the magnetic field strength H.
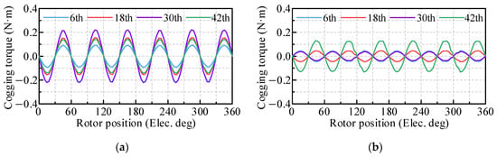
3.2. Effect of Eccentric Permanent Magnet on Cogging Torque
3.3. Effect of Harmonic Injection on Cogging Torque
4. Electromagnetic Performance Analysis
5. Experimental Validation
6. Discussion
7. Conclusions
Author Contributions
Funding
Data Availability Statement
Conflicts of Interest
References
- Dai, X.; Ma, X.; Hu, D.; Duan, J.; Chen, H. An overview of the R&D of flywheel energy storage technologies in China. Energies 2024, 17, 5531. [Google Scholar] [CrossRef]
- Samineni, S.; Johnson, B.K.; Hess, H.L.; Law, J.D. Modeling and analysis of a flywheel energy storage system for voltage sag correction. IEEE Trans. Ind. Appl. 2006, 42, 42–52. [Google Scholar] [CrossRef]
- Huang, D.; Jiao, C.; Fang, J. Design and research of a high-temperature superconducting flywheel energy storage system with zero-flux coils. IEEE Trans. Appl. Supercon. 2024, 34, 5702406. [Google Scholar] [CrossRef]
- Li, X.; Anvari, B.; Palazzolo, A.; Wang, Z.; Toliyat, H. A utility-scale flywheel energy storage system with a shaftless, hubless, high-strength steel rotor. IEEE Trans. Ind. Electron. 2018, 65, 6667–6675. [Google Scholar] [CrossRef]
- Abdeltawab, H.H.; Mohamed, Y.A.-R.I. Robust energy management of a hybrid wind and flywheel energy storage system considering flywheel power losses minimization and grid-code constraints. IEEE Trans. Ind. Electron. 2016, 63, 4242–4254. [Google Scholar] [CrossRef]
- Du, Z.S.; Lipo, T.A. High torque density and low torque ripple shaped-magnet machines using sinusoidal plus third harmonic shaped magnets. IEEE Trans. Ind. Appl. 2019, 55, 2601–2610. [Google Scholar] [CrossRef]
- Kwon, J.-W.; Kwon, B.-I. High-efficiency dual output stator-PM machine for the two-mode operation of washing machines. IEEE Trans. Energy Convers. 2018, 33, 2050–2059. [Google Scholar] [CrossRef]
- Bramerdorfer, G. Multiobjective electric machine optimization for highest reliability demands. CES Trans. Electr. Mach. Syst. 2020, 4, 71–78. [Google Scholar] [CrossRef]
- Zhang, W.; Li, Y.; Wu, G.; Rao, Z.; Gao, J.; Luo, D. Robust predictive power control of N*3-phase PMSM for flywheel energy storage systems application. Energies 2021, 14, 3684. [Google Scholar] [CrossRef]
- Ye, C.; Yu, D.; Liu, K.; Dai, Y.; Deng, C.; Yang, J.; Zhang, J. Research of a stator PM excitation solid rotor machine for flywheel energy storage system. IEEE Trans. Ind. Electron. 2022, 69, 12140–12151. [Google Scholar] [CrossRef]
- Urresty, J.-C.; Riba, J.-R.; Romeral, L.; Garcia, A. A simple 2-D finite-element geometry for analyzing surface-mounted synchronous machines with skewed rotor magnets. IEEE Trans. Magn. 2010, 46, 3948–3954. [Google Scholar] [CrossRef]
- Ye, S.; Zhou, D.; Yao, X.; Blaabjerg, F. Component-level reliability assessment of a direct-drive PMSG wind power converter considering two terms of thermal cycles and the parameter sensitivity analysis. IEEE Trans. Power Electron. 2021, 36, 10037–10050. [Google Scholar] [CrossRef]
- Tong, W.; Sun, L.; Wu, S.; Hou, M.; Tang, R. Analytical model and experimental verification of permanent magnet eddy current loss in permanent magnet machines with nonconcentric magnetic poles. IEEE Trans. Ind. Electron. 2022, 69, 8815–8824. [Google Scholar] [CrossRef]
- Yamada, Y.; Sugimoto, H.; Imae, K. Efficiency improvement of permanent magnet synchronous machines with high slot fill aluminum winding. In Proceedings of the 2022 IEEE Energy Conversion Congress and Exposition, Detroit, MI, USA, 9–13 October 2022; pp. 1–6. [Google Scholar]
- Aydin, M.; Gulec, M. Reduction of cogging torque in double-rotor axial-flux permanent-magnet disk motors: A review of cost-effective magnet-skewing techniques with experimental verification. IEEE Trans. Ind. Electron. 2014, 61, 5025–5034. [Google Scholar] [CrossRef]
- Zhu, X.; Hua, W.; Wu, Z.; Huang, W.; Zhang, H.; Cheng, M. Analytical approach for cogging torque reduction in flux-switching permanent magnet machines based on magnetomotive force-permeance model. IEEE Trans. Ind. Electron. 2018, 65, 1965–1979. [Google Scholar] [CrossRef]
- Wang, T.; Zhu, X.; Xiang, Z.; Fan, D.; Quan, L. Torque ripple suppression of a permanent magnet vernier motor from perspective of shifted air-gap permeance distribution. IEEE Trans. Magn. 2022, 58, 8203006. [Google Scholar] [CrossRef]
- Du, Z.S.; Lipo, T.A. Reducing torque ripple using axial pole shaping in interior permanent magnet machines. IEEE Trans. Ind. Appl. 2020, 56, 148–157. [Google Scholar] [CrossRef]
- Wu, L.; Lyu, Z. Harmonic injection-based torque ripple reduction of PMSM with improved DC-link voltage utilization. IEEE Trans. Power Electron. 2023, 38, 7976–7981. [Google Scholar] [CrossRef]
- Shimizu, Y.; Morimoto, S.; Sanada, M.; Inoue, Y. Investigation of rotor topologies for reducing torque ripple in double-layer IPMSMs for automotive applications. IEEE Trans. Ind. Electron. 2023, 70, 8276–8285. [Google Scholar] [CrossRef]
- Xu, M.; Zhao, W.; Ji, J.; Chen, Q.; Liu, G. Auxiliary notching rotor design to minimize torque ripple for interior permanent magnet machines. IEEE Trans. Ind. Electron. 2024, 71, 12051–12062. [Google Scholar] [CrossRef]
- Zhu, Z.Q.; Wu, L.J.; Xia, Z.P. An accurate subdomain model for magnetic field computation in slotted surface-mounted permanent-magnet machines. IEEE Trans. Magn. 2010, 46, 1100–1115. [Google Scholar] [CrossRef]
- Chen, Z.; Xia, C.; Geng, Q.; Yan, Y. Modeling and analyzing of surface-mounted permanent-magnet synchronous machines with optimized magnetic pole shape. IEEE Trans. Magn. 2014, 50, 8102804. [Google Scholar] [CrossRef]



















| Item | Requirement |
|---|---|
| Operating voltage | 175~320 V |
| Rated power | 3 kW |
| Rotating speed | 2500 rpm |
| Cooling method | Natural cooling |
| Item | Value |
|---|---|
| Stator slot number | 36 |
| Rotor polo number | 12 |
| Winding coefficient | 1 |
| Stator outer diameter/mm | 125 |
| Stator inner diameter/mm | 80 |
| Air gap length/mm | 1.5 |
| Axial length/mm | 90 |
| Permanent magnet thickness/mm | 5 |
| Number of turns | 36 |
| Stator core | B35AH230 |
| Rotor core | B35AH230 |
| Permanent magnet | Sm32 |
| Harmonic Order | Original PMSM | PMSM with Eccentric Permanent Magnets | PMSM with Harmonic Injection |
|---|---|---|---|
| 6th | 0.09 N·m | −0.04 N·m | 0.04 N·m |
| 18th | 0.17 N·m | 0.05 N·m | −0.01 N·m |
| 30th | 0.22 N·m | −0.04 N·m | 0.19 N·m |
| 42nd | 0.14 N·m | 0.14 N·m | 0.01 N·m |
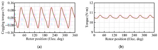
| Machine | Average Torque | Torque Ripple |
|---|---|---|
| PMSM with eccentric permanent magnets | 10.55 N·m | 3.1% |
| PMSM with harmonic injection | 10.67 N·m | 7.9% |
Disclaimer/Publisher’s Note: The statements, opinions and data contained in all publications are solely those of the individual author(s) and contributor(s) and not of MDPI and/or the editor(s). MDPI and/or the editor(s) disclaim responsibility for any injury to people or property resulting from any ideas, methods, instructions or products referred to in the content. |
© 2024 by the authors. Licensee MDPI, Basel, Switzerland. This article is an open access article distributed under the terms and conditions of the Creative Commons Attribution (CC BY) license (https://creativecommons.org/licenses/by/4.0/).
Share and Cite
Sun, Y.; Zhao, Z.; Zhang, Q. Design and Analysis of a Low Torque Ripple Permanent Magnet Synchronous Machine for Flywheel Energy Storage Systems. Energies 2024, 17, 6337. https://doi.org/10.3390/en17246337
Sun Y, Zhao Z, Zhang Q. Design and Analysis of a Low Torque Ripple Permanent Magnet Synchronous Machine for Flywheel Energy Storage Systems. Energies. 2024; 17(24):6337. https://doi.org/10.3390/en17246337
Chicago/Turabian StyleSun, Yubo, Zhenghui Zhao, and Qian Zhang. 2024. "Design and Analysis of a Low Torque Ripple Permanent Magnet Synchronous Machine for Flywheel Energy Storage Systems" Energies 17, no. 24: 6337. https://doi.org/10.3390/en17246337
APA StyleSun, Y., Zhao, Z., & Zhang, Q. (2024). Design and Analysis of a Low Torque Ripple Permanent Magnet Synchronous Machine for Flywheel Energy Storage Systems. Energies, 17(24), 6337. https://doi.org/10.3390/en17246337

