Power Loss and Electrothermal Characterization of Hybrid Power Integrated Modules for Industrial Servo Motor Drives
Abstract
1. Introduction
2. Test Vehicle
3. Experiments
Thermal Transient Tester Measurement
4. Theoretical Model
4.1. Power Loss Estimation
4.2. Thermal Flow Modeling
4.3. Forster Thermal Network Model
5. Electromagnetic-Circuit-Thermal Coupling (ECTC) Analysis Methodology
6. Results and Discussion
6.1. Validation of the CFD Thermal Flow Analysis Model
6.2. Indirect Validation of the EMCC Analysis Model
6.3. Temperature-Dependent EMCC Analysis of the hPIM Circuit
6.4. Construction of Forster Thermal Network Model
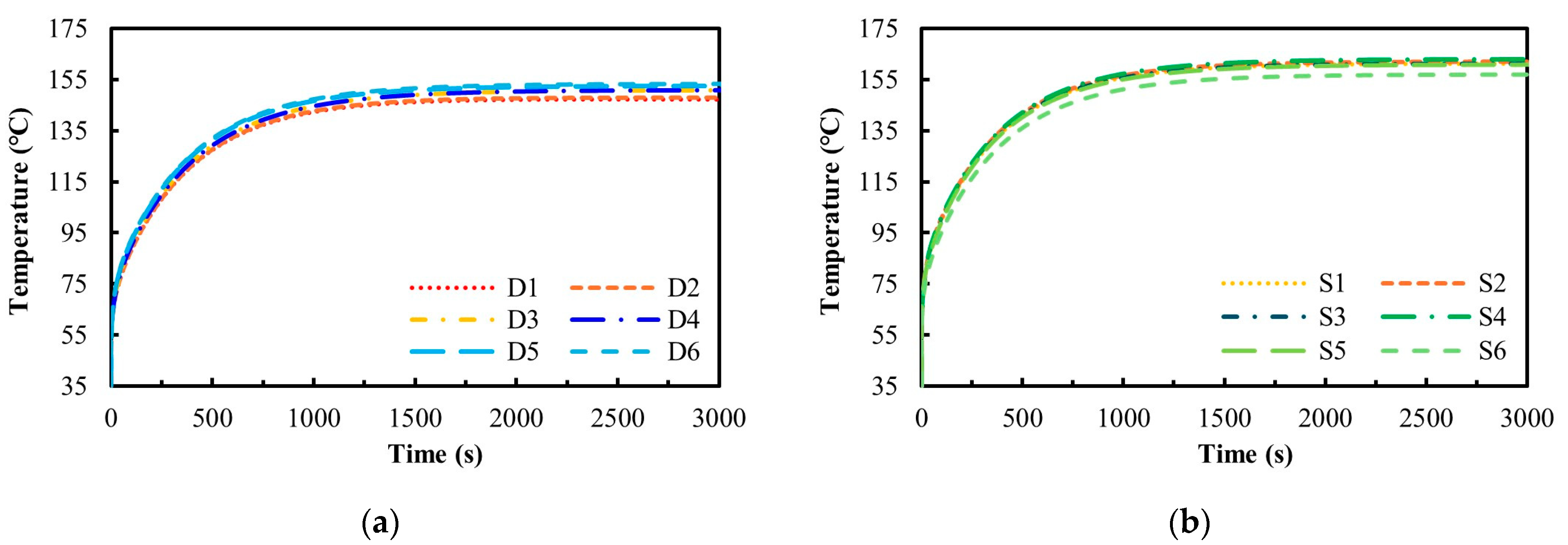
6.5. ETC Analysis of the hPIM During Load Operation
6.6. Parametric Analysis of Power Loss
7. Conclusions
- The effectiveness of the proposed CFD and EMCC analysis model is well confirmed by the thermal measurement data and the three-phase operating temperature measurement results, respectively.
- The SiC body diode loss is found to play a crucial role in the power loss of the SiC inverter during operation. Moreover, there is a positive temperature correlation for the conduction loss because of the increase in the on-state resistance with temperature but there is a negative temperature coefficient for the switching loss. In addition to the switching loss, both the Si rectifier diode loss and SiC body diode loss show a negative temperature effect, and the SiC body diode loss is less temperature-sensitive than the Si rectifier diode loss. The total power loss of the SiC power switches slightly increases with the temperature, and, in addition, outperforms that of the Si rectifier diodes.
- The transient junction temperatures of these SiC power switches and rectifier diodes during load operation tend to reach a steady state at about 1500 s. In addition, the steady-state junction temperatures of these SiC power switches surpass those of the Si rectifier diodes due to the contribution of the switching loss resulting from the high-frequency SVPWM switching operation.
- The SETC analysis results reveal that there is a temperature difference across these rectifier diodes and inverter power switches, and the LS power switches would have a greater steady-state junction temperature than the HS ones, excluding the W-phase ones. Moreover, the maximum steady-state junction temperature takes place at the S4, while the minimum one takes place at the S6. Among these Si rectifier diodes, the D1 rectifier diode consists of the lowest steady-state junction temperature, while the D6 consists of the highest one.
- The close consistency in the calculated transient junction temperature with the conventional DETC models suggests the robustness and accuracy of the proposed SETC model, in addition to the great computational efficiency.
- The parametric analysis revealed that a decreasing temperature and switching frequency and an increasing gate resistance, output frequency, and output voltage achieve a reduced conduction loss; a lessening switching frequency, gate resistance, and input voltage and a growing temperature and output frequency give a decreased switching loss; a reducing switching frequency and input voltage and a rising temperature, gate resistance, and output frequency confer a lessened body diode loss; and, finally, a decreasing temperature, switching frequency, gate resistance, and input voltage and an enlarging output frequency lead to a diminished total power loss in the inverter power switches. In addition, the temperature plays an unimportant role in the total power loss of the inverter power switches.
Author Contributions
Funding
Data Availability Statement
Acknowledgments
Conflicts of Interest
References
- Qi, J.; Yang, X.; Li, X.; Tian, K.; Mao, Z.; Yang, S.; Song, W. Temperature dependence of dynamic performance characterization of 1.2-kV SiC power MOSFETS compared with Si IGBTs for wide temperature applications. IEEE Trans. Power Electron. 2019, 34, 9105–9117. [Google Scholar] [CrossRef]
- Liao, L.-L.; Chiang, K.-N. Material shear strength assessment of Au/20Sn interconnection for high temperature applications. J. Mech. 2019, 35, 81–91. [Google Scholar] [CrossRef]
- Zhang, M.; Li, B.; Wei, J. New Power MOSFET with Beyond-1D-Limit RSP-BV Trade-Off and Superior Reverse Recovery Characteristics. Materials 2020, 13, 2581. [Google Scholar] [CrossRef] [PubMed]
- Ma, C.-T.; Gu, Z.-H. Review on driving circuits for wide-bandgap semiconductor switching devices for mid- to high-power applications. Micromachines 2021, 12, 65. [Google Scholar] [CrossRef]
- Kibushi, R.; Hatakeyama, T.; Yuki, K.; Ishizuka, M.; Unno, N. Comparison of thermal properties between Si and SiC power MOSFET using electro-thermal analysis. In Proceedings of the International Conference on Electronics Packaging, Yamagata, Japan, 19–22 April 2017. [Google Scholar]
- Chen, Y.; Mei, Y.-H.; Ning, P.; Lu, G.-Q. Local interconnection degradation of a double-sided cooling SiC MOSFET module under power cycling. IEEE Trans. Compon. Packag. Manuf. Technol. 2024, 14, 832–840. [Google Scholar] [CrossRef]
- Yin, S.; Tseng, J.; Simanjorang, R.; Tu, P. Experimental comparison of high-speed gate driver design for 1.2-kV/120-A Si IGBT and SiC MOSFET modules. IET Power Electron. 2017, 10, 979–986. [Google Scholar] [CrossRef]
- Anzola, J.; Sharma, S.; Aizpuru, I.; Bhattacharya, S.; Artal-Sevil, J.S. Performance Improvement of a Silicon Partial Power Converter Over a Silicon Carbide Full Power Converter. IEEE Trans. Transp. Electrif. 2024, 10, 1680–1691. [Google Scholar] [CrossRef]
- Yasui, K.; Hayakawa, S.; Funaki, T. Reliability Improvement of 3.3 kV Full-SiC Power Modules for Power Cycling Tests With Sintered Copper Die Attach Technology. IEEE Trans. Compon. Packag. Manuf. Technol. 2023, 13, 1476–1485. [Google Scholar] [CrossRef]
- Biela, J.; Schweizer, M.; Waffler, S.; Kolar, J.W. SiC versus Si—Evaluation of potentials for performance improvement of inverter and DC–DC converter systems by SiC power semiconductors. IEEE Trans. Ind. Electron. 2011, 58, 2872–2882. [Google Scholar] [CrossRef]
- Ma, Z.; Pei, Y.; Wang, L.; Zhang, T.; Wang, H.; Yang, F.; Zhu, M. Characterization of electro-thermal coupling behaviors and safe operating area of SiC MOSFET modules in pulsed power applications. IEEE Trans. Power Electron. 2024, 39, 11217–11231. [Google Scholar] [CrossRef]
- Cheng, H.-C.; Hsu, C.-W. Solder die attach lifetime characterization of SOT-227 power MOSFET module in a 3-phase inverter under power cycling. J. Mech 2023, 39, 518–528. [Google Scholar] [CrossRef]
- Cheng, H.-C.; Syu, J.-Y.; Wang, H.-H.; Liu, Y.-C.; Kao, K.-S.; Chang, T.-C. Power cycling modeling and lifetime evaluation of SiC power MOSFET module using a modified physical lifetime model. IEEE Trans. Device Mater. Rel. 2024, 24, 142–153. [Google Scholar] [CrossRef]
- Wakamoto, K.; Otsuka, T.; Nakahara, K.; Namazu, T. Degradation Mechanism of Pressure-Assisted Sintered Silver by Thermal Shock Test. Energies 2021, 14, 5532. [Google Scholar] [CrossRef]
- Oh, S.K.; Lundh, J.S.; Shervin, S.; Chatterjee, B.; Lee, D.K.; Choi, S.; Kwak, J.S.; Ryou, J. Thermal management and characterization of high-power wide-bandgap semiconductor electronic and photonic devices in automotive applications. ASME J. Electron. Packag. 2019, 141, 020801. [Google Scholar] [CrossRef]
- Abramushkina, E.; Zhaksylyk, A.; Geury, T.; El Baghdadi, M.; Hegazy, O. A thorough review of cooling concepts and thermal management techniques for automotive WBG inverters: Topology, technology and integration level. Energies 2021, 14, 4981. [Google Scholar] [CrossRef]
- Wu, J.; Ren, N.; Guo, Q.; Sheng, K. A Comparative Study of Silicon Carbide Merged PiN Schottky Diodes with Electrical-Thermal Coupled Considerations. Materials 2020, 13, 2669. [Google Scholar] [CrossRef]
- Cheng, H.-C.; Lin, S.-Y.; Liu, Y.-C. Transient Electro-Thermal Coupled Modeling of Three-Phase Power MOSFET Inverter during Load Cycles. Materials 2021, 14, 5427. [Google Scholar] [CrossRef]
- Scognamillo, C.; Catalano, A.P.; Riccio, M.; d’Alessandro, V.; Codecasa, L.; Borghese, A.; Tripathi, R.N.; Castellazzi, A.; Breglio, G.; Irace, A. Compact Modeling of a 3.3 kV SiC MOSFET Power Module for Detailed Circuit-Level Electrothermal Simulations Including Parasitics. Energies 2021, 14, 4683. [Google Scholar] [CrossRef]
- Cheng, H.-C.; Liu, Y.-C. Dynamic modeling framework for evaluating electromagnetic-electro-thermal behavior of power conversion system during load operation. J. Electron. Packag. 2023, 145, 021005. [Google Scholar] [CrossRef]
- Yuan, L.; Yu, H.; Wang, X.; Zhao, Z. Design, Simulation and Analysis of the Low Stray Inductance Bus Bar for Voltage Source Inverters. In Proceedings of the International Conference on Electrical Machines and Systems, Beijing, China, 20–23 August 2011. [Google Scholar]
- Li, X.; Li, D.; Qi, F.; Packwood, M.; Luo, H.; Wang, Y.; Dai, X.; Luo, H.; Liu, G. EM-Electrothermal Analysis of Semiconductor Power Modules. IEEE Trans. Compon. Packag. Manuf. Technol. 2019, 9, 1495–1503. [Google Scholar] [CrossRef]
- Na, J.; Cheon, J.; Kim, K. 4H-SiC Double Trench MOSFET with Split Heterojunction Gate for Improving Switching Characteristics. Materials 2021, 14, 3554. [Google Scholar] [CrossRef] [PubMed]
- Cheng, H.-C.; Liu, Y.-C.; Lin, H.-H.; Chiou, S.-C.; Tzeng, C.-M.; Chang, T.-C. Development and Performance Evaluation of Integrated Hybrid Power Module for Three-Phase Servo Motor Applications. Micromachines 2023, 14, 1356. [Google Scholar] [CrossRef] [PubMed]
- Patel, A.; Chandwani, H.; Patel, V.; Patel, K. Prediction of IGBT Power Losses and Junction Temperature in 160 kW VVVF Inverter Drive. J. Electron. Electr. Eng. 2014, 14, 1–7. [Google Scholar]
- Alavi, O.; Abdollah, M.; Viki, A.H. Assessment of thermal network models for estimating IGBT junction temperature of a buck converter. In Proceedings of the 8th Power Electronics, Drive Systems & Technologies Conference (PEDSTC), Mashhad, Iran, 14–16 February 2017. [Google Scholar]
- Reichl, J.; Lai, J.-S.; Hefner, A.; McNutt, T.; Berning, D. Inverter dynamic electro-thermal modeling and simulation with experimental verification. In Proceedings of the 2005 IEEE 36th Power Electronics Specialists Conference, Dresden, Germany, 12 June 2005. [Google Scholar]
- Li, L.; Ning, P.; Wen, X.; Zhang, D. A 1200 V/200 a half-bridge power module based on Si IGBT/SiC MOSFET hybrid switch. CPSS Trans. Power Electron. 2018, 3, 292–300. [Google Scholar] [CrossRef]
- Feng, Z.; Zhang, X.; Yu, S.; Wang, J. Loss Analysis and Measurement of ANPC Inverter Based on SiC & Si Hybrid Module. In Proceedings of the IEEE International Power Electronics and Application Conference and Exposition, Shenzhen, China, 4–7 November 2018. [Google Scholar]
- Dai, Y.; Yao, J.; Chen, J.; Qian, Q.; Zhang, M.; Zhang, J.; Yao, Q.; Huang, C.; Sun, M.; Guo, Y. A Cross-Scale Electrothermal Co-Simulation Approach for Power MOSFETs at Device–Package–Heatsink–Board Levels. Micromachines 2024, 15, 1336. [Google Scholar] [CrossRef] [PubMed]
- Komrska, T.; Glasberger, T. Pulse width modulation of three phase inverters based on linear programming. Trans. Electr. Eng. 2019, 8, 44–48. [Google Scholar] [CrossRef]
- Grgić, I.; Bašić, M.; Vukadinović, D.; Marinović, I. Novel Space-Vector PWM Schemes for Enhancing Efficiency and Decoupled Control in Quasi-Z-Source Inverters. Energies 2024, 17, 1387. [Google Scholar] [CrossRef]
- Praharsena, B.; Jauhari, M.; Purwanto, E.; Jati, M.P.; Aditya, A.W.; Prasetyo, A.A. Switching algorithm for SVPWM inverter in induction motor drive system on electric vehicle applications. Elinvo 2021, 6, 149–156. [Google Scholar] [CrossRef]
- Schweitzer, D.; Pape, H.; Chen, L. Transient Measurement of the Junction-To-Case Thermal Resistance Using Structure Functions: Chances and Limits. In Proceedings of the 24th Annual IEEE Semiconductor Thermal Measurement and Management Symposium, San Jose, CA, USA, 16–20 March 2008. [Google Scholar]
- JESD51-14; Transient Dual Interface Test Method for the Measurement of the Thermal Resistance Junction to Case of Semiconductor Devices with Heat Flow Through a Single Path. JEDEC Solid State Technology Association: Arlington, TX, USA, 2010.
- Pennisi, G.; Pulvirenti, M.; Salvo, L.; Sciacca, A.G.; Cascino, S.; Laudani, A.; Salerno, N.; Rizzo, S.A. Investigation of SiC MOSFET Body Diode Reverse Recovery and Snappy Recovery Conditions. Energies 2024, 17, 2651. [Google Scholar] [CrossRef]
- IEC 60747-8; International Standard for Semiconductor Devices—Discrete Devices—Part 8: Field-Effect Transistors. IEC: Geneva, Switzerland, 2021.
- Hoffmann, F.; Kaminski, N. Evaluation of the VSD-method for temperature estimation during power cycling of SiC MOSFETs. IET Power Electron. 2019, 12, 3903–3909. [Google Scholar] [CrossRef]
- Filsecker, F.; Alvarez, R.; Bernet, S. Comparison of 6.5 kV silicon and SiC diodes. In Proceedings of the IEEE Energy Conversion Congress and Exposition, Raleigh, NC, USA, 15–20 September 2012. [Google Scholar]
- Marzoughi, A.; Romero, A.; Burgos, R.; Boroyevich, D. Comparing the State-of-the-Art SiC MOSFETs: Test results reveal characteristics of four major manufacturers? 900-V and 1.2-kV SiC devices. IEEE Power Electron. Mag. 2017, 4, 36–45. [Google Scholar] [CrossRef]















| VH | VL | |||
|---|---|---|---|---|
| Sim. | Exp. | Sim. | Exp. | |
| (°C/W) | 0.24 | 0.22 | 0.24 | 0.26 |
| (°C) | 98.5 | 99.4 | 97.6 | 97.7 |
| Simulation | Experiment | |
|---|---|---|
| (°C) | 65.3 | 66.5 |
| U Phase | V Phase | W Phase | |||||||
|---|---|---|---|---|---|---|---|---|---|
| Switch | MOSFET | Loss (W) | Switch | MOSFET | Loss (W) | Switch | MOSFET | Loss (W) | |
| HS | S1 | M1 | 8.351 | S3 | M3 | 8.424 | S5 | M5 | 8.191 |
| M2 | 8.351 | M4 | 8.424 | M6 | 8.191 | ||||
| LS | S2 | M7 | 8.184 | S4 | M9 | 8.152 | S6 | M11 | 8.136 |
| M8 | 8.184 | M10 | 8.152 | M12 | 8.136 | ||||
| Condition | Value |
|---|---|
| AC line voltage | 238 V |
| Phase shift | 120° |
| Load resistor | 12 Ω |
| Loading type | Delta-connection |
| Rg | 13 Ω |
| Switching frequency | 30 kHz |
| Duty cycle | 98% |
| Dead time | 2.5 μs |
| Output frequency | 60 Hz |
| Modulation index | 1.15 |
| j | Rj (°C/W) | Cj (J/°C) | Rj (°C/W) | Cj (J/°C) |
|---|---|---|---|---|
| 1 | 0.837 | 289.009 | 0.387 | 1172.084 |
| 2 | 0.445 | 780.129 | 0.391 | 1129.037 |
| 3 | 0.460 | 658.706 | 0.389 | 906.285 |
| 4 | 0.431 | 846.655 | 0.399 | 972.742 |
| 5 | 0.421 | 956.493 | 0.406 | 796.633 |
| 6 | 0.419 | 1006.455 | 0.434 | 706.871 |
| 7 | 0.408 | 1172.479 | 0.719 | 252.864 |
| 8 | 0.399 | 1356.820 | 0.399 | 873.129 |
| 9 | 0.395 | 1447.382 | 0.377 | 837.722 |
| 10 | 0.395 | 1460.176 | 0.379 | 1031.724 |
| 11 | 0.388 | 1634.936 | 0.379 | 1349.996 |
| 12 | 0.387 | 1671.769 | 0.374 | 1423.223 |
| Diode | D1 | D2 | D3 | D4 | D5 | D6 |
| Temperature (°C) | 147.1 | 147.9 | 150.9 | 151.6 | 152.5 | 153.3 |
| MOSFET | S1 | S2 | S3 | S4 | S5 | S6 |
| Temperature (°C) | 161.3 | 162.1 | 161.2 | 163.0 | 160.9 | 157.0 |
Disclaimer/Publisher’s Note: The statements, opinions and data contained in all publications are solely those of the individual author(s) and contributor(s) and not of MDPI and/or the editor(s). MDPI and/or the editor(s) disclaim responsibility for any injury to people or property resulting from any ideas, methods, instructions or products referred to in the content. |
© 2024 by the authors. Licensee MDPI, Basel, Switzerland. This article is an open access article distributed under the terms and conditions of the Creative Commons Attribution (CC BY) license (https://creativecommons.org/licenses/by/4.0/).
Share and Cite
Cheng, H.-C.; Liu, Y.-C.; Jhu, W.-Y.; Chiu, P.-K.; Chang, T.-C.; Chiang, K.-N. Power Loss and Electrothermal Characterization of Hybrid Power Integrated Modules for Industrial Servo Motor Drives. Energies 2024, 17, 6036. https://doi.org/10.3390/en17236036
Cheng H-C, Liu Y-C, Jhu W-Y, Chiu P-K, Chang T-C, Chiang K-N. Power Loss and Electrothermal Characterization of Hybrid Power Integrated Modules for Industrial Servo Motor Drives. Energies. 2024; 17(23):6036. https://doi.org/10.3390/en17236036
Chicago/Turabian StyleCheng, Hsien-Chie, Yan-Cheng Liu, Wen-You Jhu, Po-Kai Chiu, Tao-Chih Chang, and Kuo-Ning Chiang. 2024. "Power Loss and Electrothermal Characterization of Hybrid Power Integrated Modules for Industrial Servo Motor Drives" Energies 17, no. 23: 6036. https://doi.org/10.3390/en17236036
APA StyleCheng, H.-C., Liu, Y.-C., Jhu, W.-Y., Chiu, P.-K., Chang, T.-C., & Chiang, K.-N. (2024). Power Loss and Electrothermal Characterization of Hybrid Power Integrated Modules for Industrial Servo Motor Drives. Energies, 17(23), 6036. https://doi.org/10.3390/en17236036

