Next Article in Journal
Productivity Model for Multi-Fractured Horizontal Wells with Complex Fracture Networks in Shale Oil Reservoirs Considering Fluid Desorption and Two-Phase Behavior
Next Article in Special Issue
A Comprehensive Overview of Technologies Applied in Hydrogen Valleys
Previous Article in Journal
Scheduling a Fleet of Dynamic EV Chargers for Maximal Profile
 
 
Font Type:
Arial Georgia Verdana
Font Size:
Aa Aa Aa
Line Spacing:
Column Width:
Background:
Article

Influence of Activated Carbon Granulometry on H2 Purification in Glycerol Reforming Syngas: Adsorption and Kinetic Analysis

1
Defense University Center at Spanish Naval Academy, University of Vigo, Plaza de España 2, 36920 Marín, Spain
2
DTU Sustain Department, Technical University of Denmark, 2800 Kongens Lyngby, Denmark
*
Author to whom correspondence should be addressed.
Energies 2024, 17(23), 6011; https://doi.org/10.3390/en17236011
Submission received: 4 November 2024 / Revised: 26 November 2024 / Accepted: 27 November 2024 / Published: 29 November 2024

Abstract

This study investigates the adsorption performance of granular activated carbon (GAC) and pelletized activated carbon (PAC) for the purification of syngas produced from glycerol reforming, focusing on the removal of CO2, CO, and CH4. The adsorption process was studied at two different flow rates (0.5 L/min and 1 L/min) to assess the impact of particle size and gas flow rate on adsorption capacity. The results indicate that GAC exhibits superior multi-gas adsorption, particularly at lower flow rates, effectively capturing CO2, CO, and CH4, while PAC exhibits lower adsorption performance. Kinetic analysis revealed that the pseudo-second-order and Avrami models fit well with both adsorbents, though GAC aligns more closely with the Avrami model, reflecting its multi-step adsorption mechanism and greater pore diffusion efficiency. These findings highlight the importance of adsorbent size and flow rate in optimizing hydrogen purification processes, with GAC emerging as a highly efficient adsorbent for industrial-scale syngas treatment.

1. Introduction

Hydrogen, as a promising clean energy carrier, offers high energy density and the potential to significantly reduce greenhouse gas emissions when used in fuel cells and combustion processes [1,2]. As the global demand for sustainable energy increases, renewable sources such as biomass, water, and waste glycerol have gained attention for hydrogen production [3,4]. However, the purity of hydrogen is a vital factor for ensuring the efficiency and safety of hydrogen-based systems [5]. Impurities such as carbon monoxide (CO), carbon dioxide (CO2), methane (CH4), and sulfur compounds can significantly reduce the performance of fuel cells and poison catalysts used in hydrogen-based processes, highlighting the importance of purification in the hydrogen production chain [6]. Therefore, effective methods to remove these impurities [4] are essential to satisfy the stringent purity requirements for hydrogen in various applications [7].
Several purification techniques have been developed to enhance hydrogen quality, including pressure swing adsorption (PSA) [8], membrane separation [9], cryogenic distillation [10], and chemical absorption [5]. Each technique has its advantages and limitations. PSA, for instance, is widely used for hydrogen purification due to its high efficiency and ability to selectively adsorb impurities under high pressure, but it is energy-intensive and may require expensive materials [8]. Membrane technologies, though promising for their low energy consumption and continuous operation, face challenges in terms of membrane selectivity and durability under harsh conditions [9]. Chemical absorption is effective for certain impurities, but the process can be slow and requires substantial chemical regeneration, which increases operating costs [5]. Adsorption-based purification [11], on the other hand, stands out for its versatility, cost-effectiveness, and the availability of a wide range of adsorbents that can be tailored for specific applications.
Among adsorbents, activated carbon (AC) is one of the most extensively studied materials due to its high surface area, porosity, and chemical stability [12]. It has been successfully used to remove contaminants such as CO2, CO, and sulfur compounds from hydrogen-rich streams, and its effectiveness has been demonstrated in various studies [13,14], making it a promising candidate for hydrogen purification processes. For example, Lee et al. [15] reported that activated carbon derived from biomass, such as walnut shells, exhibited a CO2 adsorption capacity of 9.2 mmol/g at 25 °C and 1 bar, showcasing its effectiveness at low temperatures. Similarly, research conducted by Zubbri et al. [16] investigated the effects of different activation parameters to identify the optimal conditions for maximum CO2 capture. The highest CO2 adsorption capacity achieved was 122.37 mg g−1 at 30 °C and 1 atm, demonstrating that modified activated carbons could significantly improve hydrogen purity by removing CO2 from syngas. Moreover, these researchers [15,16] proposed a kinetic study that suggested the CO2 adsorption mechanism on the adsorbent is governed by physisorption. Additionally, studies [17,18,19] on the kinetics of CO2 adsorption on activated carbon have shown that the adsorption process is influenced by factors such as temperature, pressure, and the presence of other gases in the mixture. Other studies [20,21] have observed that under certain conditions, particularly at higher temperatures and pressures or lower flow rates, the adsorption mechanism can shift towards chemisorption, where stronger chemical bonds, such as bicarbonate formation on the adsorbent surface, play a role in the CO2 capture process. These findings indicate that the adsorption process may involve a combination of physical and chemical interactions, depending on the operational parameters. Thus, understanding the adsorption behavior of CO2 on activated carbon under different conditions is essential for optimizing the process and improving hydrogen recovery rates.
This study investigates the influence of activated carbon granulometry on the adsorption performance and purification of syngas derived from glycerol reforming. The primary objective is to evaluate and compare the adsorption kinetics and mechanisms of granular activated carbon (GAC) and pelletized activated carbon (PAC) in the removal of CO2, CO, and CH4 under various flow rates. By assessing the impact of particle size on adsorption efficiency, the study aims to optimize conditions for enhanced multi-gas removal, ultimately improving hydrogen purity and recovery for cleaner energy production. The research focuses on identifying the key kinetic and diffusion mechanisms involved in the adsorption process, highlighting the importance of granulometry in determining the effectiveness of activated carbon for industrial hydrogen purification applications.

2. Materials and Methods

2.1. Adsorbents Used and Methods Used for Their Characterization

For this study, a similar activated carbon was used in two different particle sizes: granular (1–4 mm) and pelletized (8 mm diameter and 25–35 mm length). This commercial carbon comes from thermally activated coconut shells, i.e., subjected to a physical activation process. Before the adsorption process, both adsorbents were dried in an oven at 105 °C for 24 h to ensure complete dryness. Their specifications are collected in Table 1.
To effectively compare the two adsorbents and identify differences in their surface area and pore structure, the following properties were measured:
-
Textural properties and compositional analysis using scanning electron microscopy (SEM) and energy-dispersive X-ray spectroscopy (EDX) using a JEOL JSM-6700F (Akishima, Tokyo, Japan) field emission SEM, equipped with an EDS probe using secondary (SE) and back scattered electron (BSE) detectors. The sample powders were fixed on a carbon adhesive tape and coated with a thin layer of gold of approximately 15 nm. Furthermore, the specific surface area, pore size, and pore volume of the samples were characterized by a Micromeritics ASAP 2020 analyzer (Quantachrome, Norcross, GA, USA) using nitrogen physisorption and applying the Brunauer–Emmett–Teller (BET) theory. The pore size distribution was calculated from the desorption branch of the isotherm using the BJM model. The micropore volume was calculated by the t-plot method. Approximately 0.05 g of material was initially degassed at 90 °C under vacuum for 60 min. Then, the temperature was raised to 150 °C and held for 240 min.
-
Mineral phase characterization was investigated by X-ray diffraction (XRD) using a Siemens D-5000 diffractometer (Karlsruhe, Germany) with CuKα-radiation in the 2θ range from 10 to 70°.

2.2. Adsorption Experiments

Adsorption experiments using activated carbon were performed in a cylindrical PVC fixed-bed reactor with dimensions of 34 cm in height and 6.35 cm in diameter. The reactor was loaded with either 0.129 ± 0.021 kg of GAC or 0.228 ± 0.014 kg of PAC and fed with synthetic syngas. The syngas composition consisted of 50% hydrogen, 15% carbon dioxide, 20% carbon monoxide, and 15% methane. This gas composition was selected based on findings from a previous investigation conducted by the authors, which analyzed the typical syngas produced during the glycerol reforming process [22].
Experiments were conducted at a pressure of 1 bar with two different gas flow rates: 0.5 L/min and 1 L/min. Flow rates of 0.5 L/min and 1 L/min were selected to investigate the performance of the adsorbents under conditions representing extended interaction (low flow rate) and typical industrial throughput (high flow rate). The outlet gas composition was continuously monitored using a maMoS Madur gas analyzer (Vienna, Austria), with measurements taken every second to ensure high accuracy. A schematic diagram of the experimental setup is presented in Figure 1. Breakthrough curves, adsorption capacity, and kinetic models under various operating conditions were derived from the collected data.
The tests were considered complete when the ratio between the CO2 volumetric concentration in the outlet gas composition with respect to the CO2 volumetric concentration in the inlet gas composition reached the value of 0.97, considered the saturation value of the adsorbent. Each experiment was repeated three times under the same pressure and flow rate; the adsorbent was replaced after each test.

3. Theory and Models

3.1. Kinetic Models

Kinetic models are fundamental tools for understanding adsorption processes, as they provide insight into both the rate and mechanisms by which adsorbates interact with adsorbents. These models are broadly categorized into two types: adsorption kinetic models and diffusion kinetic models. Adsorption kinetic models focus on the rate at which adsorbate molecules adhere to a solid surface over time, capturing the global kinetics of the process. Diffusion kinetic models, on the other hand, describe the movement of adsorbate molecules through a medium, whether via bulk diffusion or within the pores of the adsorbent material. The kinetic models selected for this study were chosen to reflect the specific characteristics of the CO2 adsorption process and to provide a comprehensive understanding of the mechanisms involved.

3.1.1. Adsorption Kinetic Models

For carbon dioxide (CO2) adsorption, several kinetic models are commonly used to predict the behavior of adsorbents [23,24,25]. Each model addresses a specific aspect of the adsorption mechanism, making their combined use essential for a holistic understanding. The pseudo-first-order (PFO) and pseudo-second-order (PSO) models provide insights into the global adsorption kinetics, focusing on physisorption and chemisorption processes, respectively. The Elovich model, commonly used for heterogeneous surfaces, was included to account for potential surface complexity and chemical interactions. The Avrami model was selected to describe systems where multipath adsorption or mixed adsorption mechanisms are expected, capturing the dynamic behavior of porous adsorbents like activated carbon.
The first-order kinetic model (PFO), also known as the Lagergren model, assumes that the rate of adsorption is proportional to the number of unoccupied adsorption sites. It is typically applied in cases where the adsorption process follows a physical adsorption mechanism, which is common in gas adsorption on porous materials [26].
The second-order kinetic model (PSO) suggests that the rate of adsorption is dependent on the square of the number of available adsorption sites [27]. This model is often used for systems where chemical adsorption, or chemisorption, plays a significant role, as it implies stronger interactions between the adsorbate and the adsorbent.
The Elovich model describes systems with heterogeneous surfaces and is often applied to chemisorption processes. It assumes that the adsorption energy decreases with an increase in the number of adsorbed molecules, making it suitable for complex adsorption systems, especially where surface heterogeneity and energy variations are present [26].
Finally, the Avrami model is used to describe the kinetics of phase transitions, and it can be adapted to analyze adsorption processes. This model is particularly helpful for understanding adsorption mechanisms that involve a combination of diffusion, surface reactions, and pore filling [28].
The above-mentioned adsorption kinetic models were linearized and applied to adsorption kinetic studies of carbon dioxide on hydrogen purification processes, as shown in Equations (1)–(4):
PFO :   ln q e q t = ln q e k 1 · t
PSO :   t q t = 1 k 2 · q e 2 + t q e
Elovich :   q t = 1 β · ln α · β + 1 β · ln t
Avrami :   ln ln 1 q t q e = n A ln k A + n A ln t
where qe and qt are the amount of adsorbate adsorbed at time t and at equilibrium (mg/kg), k1 is the rate constant of the first-order adsorption (s−1), k2 is the rate constant of the second-order adsorption (kg/mg·s), α represents the initial adsorption rate (mg/kg·s), and β relates the covered surface to the activation energy for chemical adsorption (kg/mg), kA is the rate constant of the Avrami model (L/mg·s), and nA is the Avrami exponent.

3.1.2. Diffusion Kinetic Models

Three diffusion models were employed to investigate mass transfer processes. The Boyd model was applied to assess whether film diffusion controls the adsorption rate, while the inter-particle diffusion model examines molecular transport between neighboring adsorbent particles. Finally, the Weber–Morris intra-particle diffusion model provides insight into the movement of adsorbate molecules within the pores of the adsorbent.
The Boyd film diffusion model is widely employed in adsorption studies to determine whether the adsorption process is controlled by film diffusion, which refers to the mass transfer of adsorbate molecules through a thin boundary layer surrounding the adsorbent [29,30]. In this model, the external mass transfer of molecules from the bulk gas or liquid phase to the surface of the adsorbent is analyzed to assess if it plays a significant role in limiting the adsorption rate [31]. This model is expressed by the following equations:
B t = l n π 2 6 l n 1 F   for   F > 0.85
B t = π π π 2 F 3 2   for   F < 0.85
where F is represents the fractional attainment of equilibrium, which indicates how much of the equilibrium adsorption capacity has been reached at a given time and it is calculated as qt/qe.
If the Boyd plot (Bt versus t) shows a linear relationship passing through the origin, it indicates that film diffusion is the controlling step, meaning that the resistance to mass transfer occurs primarily at the boundary layer between the adsorbent and the surrounding phase [26]. The model is useful for identifying the kinetics of gas–solid interactions, especially in cases where adsorption occurs rapidly on the external surface of the adsorbent, followed by slower internal diffusion.
The interparticle diffusion model examines the role of diffusion between adsorbent particles as a potential rate-limiting step in the adsorption process, assessing the transfer of molecules between neighboring adsorbent particles. This model is particularly relevant in systems where adsorbent particles are densely packed, as the diffusion of adsorbate through the void spaces between particles can significantly impact the overall adsorption rate. According to the interparticle diffusion model, a linear relationship is expected when plotting ln(1 − qt/qe) against time, where the intercept corresponds to the value of ln(6/π2). This linearity suggests that the diffusion of adsorbate molecules between particles plays a significant role in the adsorption process, particularly during the early stages of adsorption, when concentration gradients are steep and diffusion rates are highest [30,32].
The Weber–Morris intraparticle diffusion model is used to examine the diffusion of adsorbate molecules into the pores of the adsorbent. It assumes that adsorption occurs in multiple stages, with intraparticle diffusion being the rate-limiting step [33]. According to this model, adsorption occurs in multiple phases: first, external mass transfer (or surface diffusion) of the adsorbate molecules to the surface of the adsorbent, followed by intraparticle diffusion into the pores. The model is particularly useful for porous materials, as it distinguishes between the external and internal resistance to mass transfer. To explore the rate-controlling steps in CO2 adsorption, kinetic data were analyzed using the Weber–Morris intraparticle diffusion model.
q t = k W M · t 1 2 + C
where kWM represents the intraparticle rate constant (mg/kg·s0.5), and C is a constant that allows for determining the thickness of the fluid film surrounding the adsorbent surface (mg/kg). When plotting the adsorbed amount versus the square root of time, a linear relationship in the Weber–Morris plot suggests intraparticle diffusion control.

4. Results and Discussion

4.1. Adsorbents Characterization

The images obtained by scanning electron microscopy, see Figure 2, show the different morphology of the two types of activated carbon used as adsorbents. In both cases, the presence of crystals with different structure and size associated with the crystallization of different compounds, whose chemical composition comes from the materials used during the manufacture and activation of the carbon, can be seen, as occurs in previous studies [34,35,36]. EDS analyses performed in different areas of both carbon samples confirm the presence of different chemical elements other than carbon (see Table 2).
The main difference can be seen in terms of the size distribution of pores. In GAC, see Figure 2a,b, both pores between particles and micropores within the coal grains are visible, with an important pore volume within the nanorange (i.e., below 1 µm). The presence of this wide range of pore sizes accessible to fluids favors a higher specific surface area in the carbon. In the case of PAC, the surface is smoother than in GAC. In this carbon, no surface cracking caused by evaporation of the activation reagents is visible. This fact reduces the porosity of the carbon and causes the presence of nanometric pores, which is not evident.
The presence of these chemical elements is also detected in the composition of the crystalline minerals that appear in the diffractograms obtained (see Figure 3). As reported in previous studies [34], the carbons activated thermally from coconut shells have some crystalline compounds in their composition from both the raw materials used in the manufacturing process and the crystalline compounds formed as a result of the activation process. In this way, it is normal to detect calcium carbonates, calcium phosphates, and silicon oxides in the composition of commercial activated carbons [34].
Among the crystalline compounds present, the presence of silicon and graphite oxides that form at high temperatures is detected, as is the case of cristabalite and coesite. This fact is indicative that the carbon used has been activated at high temperatures, probably higher than 1200 °C, for the different phases detected to form, as shown in the diagram modeled by Ford et al. [37].
The presence of potassium and phosphorus in activated carbons derived from coconut shells is often linked to the use of activating agents, such as KOH and H3PO4, which remain in the carbon structure [38]. These elements contribute to modifying the surface characteristics of the carbon, enhancing its porosity and adsorption capacity [39].
Chloride comes from the HCl used in the activated carbon washing process to adjust the pH value [40]. The anion chloride subsequently crystallizes with sodium to form halite and with potassium to form sylvite [34].
The presence of Ca and Mg in activated carbons is attributed to the composition of the coconut shells, which naturally contain traces of calcium and magnesium in their composition [41]. These elements, when subjected to activation processes at high temperatures and in the presence of CO2, are transformed into carbonates. In addition to these compounds, another element very present in the composition of the coconut shell is iron [41]. The presence of iron oxides is indicative that the thermal process has taken place in an atmosphere containing oxygen.
Finally, the diffractogram shows the presence of KAlSiO4. This complex silicate compound can come from the reaction between the KOH, used in the activation process of carbon, with aluminum and silica present in the raw biomass.
The data obtained by BET and shown in Table 3 show that the specific surface area of GAC carbon is much higher than that of PAC (about 25 times higher); this is due to the particle size and the smaller pore size.
In addition, it can be seen that the volume of pores, within the measuring range of the equipment, is lower in PAC and that there is hardly any volume corresponding to the range of micropores whose access size is below 2 nm, which is consistent with SEM analyses. While in GAC, 80% of the pore volume detected corresponds to micropores, the rest falling in the mesopore range.
From the pore size distribution, which shows the distribution ranged from 2 nm to 119 nm, i.e., the mesoporous range and part of the macroporous range (Figure 4), the mesopore content with respect to the macropore content for PAC is in the order of 8% and 92%, respectively. On the contrary, in GAC, the percentage of mesopores represents 86% (appreciating an important access size diameter at 3.9 nm) compared to 14% of macropores. Therefore, the importance of the mesoporous in this activated carbon is greater than in PAC. Furthermore, in GAC there is a marked peak at the beginning of the graph indicating that there is an important volume below 2 nm, a range from which the contribution of micropores begins.
This different pore size distribution has an influence on the adsorption capacity of activated carbon since it depends on the relationship between the size-shape of the molecule to be retained and the pore size distribution of the carbon. As shown in previous studies [42], if the molecules to be adsorbed have a size much smaller than the pore diameter, the molecules are adsorbed with little strength, and the process is not very efficient; if they are larger than the pore size, no adsorption occurs, and if the pore diameter is adapted to the size of the molecules to be adsorbed, the process will be more efficient, producing a stronger adsorption.
With respect to the nitrogen adsorption–desorption isotherms (see Figure 5), GAC can adsorb a greater amount of N2 than PAC. The adsorption curve of GAC carbon corresponds to the type IV isotherm characteristic of mesoporous solids since it presents a hysteresis cycle, which is associated with the capillary condensation characteristic of adsorption/desorption in mesopores. Its hysteresis cycle is H4, which corresponds to limited amounts of mesopores bounded by micropores [43]. This fact could be seen in the SEM images.
In the case of PAC coal, its adsorption isotherm corresponds to a type III characteristic of non-porous or macro-porous materials (which is the case of this carbon), where the interactions between adsorbate and adsorbent are low and the adsorbed molecules are clustered around the most favorable sites on the surface [44,45].

4.2. Breakthrough Response Curves

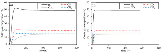
Figure 6 illustrates the breakthrough response curves for granular activated carbon (GAC) at two gas flow rates of 0.5 L/min and 1 L/min. It was observed that the breakthrough time increased from 157 s (Figure 6b) to 463 s (Figure 6a) as the flow rate decreased from 1 L/min to 0.5 L/min, indicating that a lower flow rate allows for longer contact time between the gas and the adsorbent, improving the adsorption efficiency. This behavior aligns with findings from other studies [46], which show that higher flow rates reduce the residence time of gas molecules in the adsorbent bed, leading to earlier breakthrough points. This can be attributed to the fact that slower flow rates allow for more contact time between the gas and the adsorbent, as the gases remain in contact with the carbon bed for a longer time, leading to greater adsorption efficiency.
This is more clearly seen in Figure 7, which shows in detail the hydrogen breakthrough curve at different flow rates. At low flow rates, granular carbon can adsorb each gas for a longer time, showing a much less steep slope of the curve and a longer saturation phase for each of the gases present in the mixture. To give an example, phase 2, during which CH4 is still adsorbed, is more durable at low flow rates than at high flow rates, allowing one to obtain a purer mixture in hydrogen for a longer time. The same happens with the other phases identified in the graph.
On the other hand, the time to achieve 97% bed saturation decreased from 2329 s at 0.5 L/min to 1272 s at 1 L/min, highlighting that higher flow rates accelerate the saturation of the adsorbent bed. Other studies [47,48] confirm that lower flow rates enhance the effective adsorption capacity of activated carbon by improving the diffusion and mass transfer of gas molecules to the active sites within the carbon’s pores. As a result, more CO2 is captured before the bed saturates, leading to longer breakthrough and saturation times. This finding aligns with research [49,50] indicating that reduced flow rates allow for increased time for diffusion and adsorption within the pores of the adsorbent. For example, a study on CO2 and CH4 adsorption on coconut-shell-based activated carbon found that higher adsorption capacities were achieved at lower flow rates, improving the separation of gas mixtures like CO2 and CH4 [51]. This study found that the breakthrough time for CO2 was approximately 18 min, while for CH4 it was around 6 min, and as the flow rate increases, these breakthrough times tend to decrease. Additionally, adsorption studies [48,52] with other gases have demonstrated that the lower flow rate extends breakthrough times, which can enhance adsorption efficiency and bed saturation. The observed differences in breakthrough times are influenced by the molecular characteristics of the gases and the adsorption environment. CO2 exhibits the longest breakthrough times due to its high quadrupole moment and stronger interaction with the adsorbent surface, particularly in micropores [53]. In contrast, CH4, being non-polar, has weaker adsorption interactions, resulting in shorter breakthrough times [54]. These trends are further modulated by the structural properties of the adsorbents [55]; GAC’s larger surface area and mesoporous distribution prolong breakthrough times compared to PAC’s more compact structure.
For pelletized activated carbon (PAC) (Figure 8), the breakthrough time was nearly constant, with 22 s at 0.5 L/min (Figure 8a) and 15 s at 1 L/min (Figure 8b), suggesting that the pelletized form may have a reduced capacity to adsorb gases effectively under different flow conditions, possibly due to its lower surface area and pore accessibility. For example, Nguyen et al. [56] found that pelletized activated carbon-based materials may exhibit reduced gas adsorption capacity under varying flow conditions due to oxidation stability and resistance to aggregation. In the case of saturation times, a similar trend was observed, with breakthrough times of 776 s at 0.5 L/min and 573 s at 1 L/min, indicating that lower feed rates allow for more extended adsorption periods before saturation occurs.
In contrast to the granular carbon, the different adsorption phases of the other gases, i.e., the selectivity in the adsorption process, were not so pronounced. In this case, PAC showed a similar behavior towards CO and CH4. Additionally, adsorption of both CO and CH4 was also observed for GAC (Figure 6) at both flow rates (0.5 L/min and 1 L/min), though the adsorption was more significant at the lower flow rate of 0.5 L/min. Specifically, the breakthrough time for CO was 90 s at 0.5 L/min and 40 s at 1 L/min. Methane exhibited a slightly higher breakthrough time compared to CO, with values of 164 s at 0.5 L/min and 68 s at 1 L/min. This highlights the versatility of GAC in adsorbing multiple gases simultaneously. The ability of GAC to adsorb both CO and methane further emphasizes its utility in multi-gas adsorption processes. This is in line with previous studies [57,58] that have demonstrated the efficiency of activated carbon materials in adsorbing various impurities, such as CO2, CO, and CH4, in syngas or hydrogen purification processes. Baamran et al. [59] found that activated carbons can achieve high purity levels of hydrogen (99.6%) while selectively adsorbing CO2, CO, and CH4, with a selectivity order of CO2 > CH4 > CO. The difference observed in this research in breakthrough times between CO and CH4 at the same flow rates can be attributed to their molecular size and adsorption affinity. Methane, being larger and less polar than CO, typically has a longer breakthrough time [60], which aligns with the findings from other authors [47], who have also noted that larger, non-polar molecules tend to adsorb more slowly compared to smaller, more polar molecules like CO. The findings of this research suggest that slower feed rates are preferable for maximizing the adsorption capacity, especially in processes where multiple impurities, such as CO and methane, need to be removed.
Summarizing, granular activated carbon (GAC) demonstrates superior adsorption capacity for multiple gases, such as CO and CH4, compared to pelletized carbon (PAC). This can be due to the fact that GAC presents a higher surface area [51], favorable pore distribution [52,61] with pores of all sizes, both micro and mesopores, and superior mass transfer properties [51]. It is important to point out that the size of AC particles also plays an important role; smaller particles exhibited higher adsorption rates at lower flow rates, emphasizing the importance of both flow dynamics and particle characteristics in optimizing adsorption processes [49].

4.3. Adsorption Kinetics Analysis

Figure 9 and Figure 10 show the experimental data fitting to all kinetics models for both adsorbents, PAC (pelletized activated carbon) and GAC (granular activated carbon). The kinetic parameters and correlation coefficients for each model are summarized in Table 4 and Table 5. The evaluation of model applicability was conducted through the correlation coefficient (R2) and the agreement between experimental and theoretical values of equilibrium adsorption capacity (qe) through statistical measures such as the sum of squared errors (SSE) and the chi-square (χ2) test.
It can be observed that the pseudo-first order and Elovich kinetic models exhibit poor fits for PAC and GAC, suggesting that the adsorption mechanism involves more complex interactions between the adsorbate (CO2) and the adsorbents than these models can capture [62]. This aligns with previous research [63], which shows that first-order kinetics often fail to describe the behavior of chemisorption-dominated processes.
The experimental results are more consistent with pseudo-second order (PSO) and Avrami kinetic models. The PSO model, in particular, suggests that the adsorption process is governed by surface reactions and chemisorption at the gas–solid interface [64]. This model assumes that adsorption rates are controlled by the availability of active sites on the adsorbent and that chemical interaction rather than simple physical adsorption is the rate-limiting step. The Avrami kinetic model indicates that carbon dioxide adsorption is a complex, multi-path adsorption process [27].
In the case of PAC (Figure 6), the pseudo-second-order kinetic model not only provided higher R2 values but also demonstrated better agreement between experimental and calculated values through lower SSE and χ2 values. This suggests that the adsorption of CO2 on PAC is strongly influenced by chemisorption mechanisms, possibly involving the formation of bicarbonate ions on the surface due to the interaction between CO2 and the adsorbent surface. This aligns with other studies [59,62,63] that have shown that CO2 adsorption on porous materials like activated carbon often involves chemical modifications on the surface.
For GAC, however, the Avrami kinetic model provided a better fit (Figure 10), with improved agreement between the theoretical and experimental qe values (Table 5). The Avrami model suggests that the adsorption process for GAC involves multiple pathways, including surface diffusion, intra-particle diffusion, and chemisorption [65]. This more complex, multi-path adsorption process was also observed by Serna-Guerrero et al. [66], who applied the Avrami kinetic model to describe the CO2 adsorption on amine-functionalized mesoporous silica gel. Wei et al. [17] proposed the Avrami kinetic model for activated carbon.
Additionally, the comparison between the pseudo-second-order model for PAC and the Avrami model for GAC highlights the differences in adsorption mechanisms between these two adsorbents. While PAC appears to rely more heavily on chemical interactions (as suggested by the pseudo-second-order model), GAC involves a combination of both physical and chemical processes, which is captured more effectively by the Avrami model. This difference may be attributed to the varying surface characteristics and pore structures of the adsorbents, which influence their respective adsorption capacities and mechanisms. This finding confirmed that the particle size range plays an essential role in the adsorption process. Similar results were found by Ha et al. [49].

4.4. Difussion Analysis

The Boyd diffusion model, inter-particle diffusion model, and Weber–Morris intra-particle diffusion model were employed to better understand the mechanism involved in the CO2 adsorption process, particularly in identifying potential rate-controlling steps.
The plot of Bt versus time for both GAC and PAC adsorbents at varying gas flow rates, as shown in Figure 11, illustrates different adsorption behaviors. At a gas flow rate of 1 L/min, the plots show significant deviations from linearity, indicating non-ideal behavior. However, at lower flow rates (0.5 L/min), the adsorption process exhibits a more linear trend, although the plot does not pass through the origin (Table 6). This suggests that at lower flow rates, the adsorption process is closer to ideal conditions, potentially due to the increased contact time between the gas and adsorbent, allowing for more complete diffusion. Despite the linearity observed at lower flow rates, the fact that the plots do not pass through the origin implies that intraparticle diffusion is not the sole rate-controlling step, consistent with the Boyd diffusion model’s conclusion that film diffusion is not the dominant mechanism [29]. The findings are in agreement with Rashidi et al. [67], who evaluated the mechanism of CO2 adsorption on activated carbon and found non-linear fittings, concluding that more than one process affected the CO2 adsorption.
The findings of this research suggest that diffusion within the pores plays a more significant role in the adsorption process, especially at higher velocities where film diffusion limitations are minimal. Similar studies have reported comparable findings, where lower flow rates tend to promote linear behavior due to the extended time for gas-adsorbent interactions, allowing diffusion processes to proceed more efficiently [68,69]. For example, Tobarameekul et al. [70] found that the diffusion time of CO2 with a flow rate of 1 L/h was longer than at 5 L/h, which led to an enhanced CO2 adsorption capacity, suggesting that a slower flow rate allows more time for CO2 to diffuse and interact with the adsorbent’s surface and pores. This prolonged interaction time improves the adsorption efficiency because the gas molecules have more opportunity to enter and diffuse within the pores of the adsorbent, leading to a higher adsorption capacity.
The application of the interparticle diffusion model to CO2 adsorption on activated carbon is shown in Figure 12.
The results indicate that the plots do not exhibit linearity, and the intercept values deviate from the expected ln(6/π2), suggesting that interparticle diffusion is not the rate-limiting step for CO2 capture in both GAC and PAC. Instead, other mechanisms, such as surface adsorption or intraparticle diffusion, are likely to govern the rate-limiting step in this process. Similar conclusions have been reached in other studies [66], where non-linearity in the plots also indicated that inter-particle diffusion was not dominant in CO2 adsorption on porous materials, pointing instead to multi-step adsorption mechanisms or the significance of pore structure on adsorption behavior. Choi et al. [71] explored the efficiency of GAC in capturing multiple gases, focusing on pore distribution and surface area. They found that both surface adsorption and pore diffusion contribute to the overall kinetics of CO2 capture on activated carbon, and intraparticle diffusion plays a significant role in the adsorption process, but it is not the sole rate-limiting step.
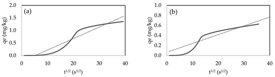
According to Weber–Morris intraparticle diffusion, adsorption typically involves two key stages: (1) the transport of adsorbate molecules from the bulk gas phase to the surface of the adsorbent and (2) the subsequent diffusion of the molecules into the internal pores of the adsorbent. The model assumes that if intraparticle diffusion is the only rate-limiting step, the plot of adsorption capacity (qt) versus the square root of the time (t1/2) should yield a straight line passing through the origin. However, in most cases, the lines deviate from the origin. This deviation suggests that the intra-particle diffusion was not the sole rate-limiting mechanism.
In this study, the linear plots generated from the experimental data (Figure 13 and Figure 14) obtained correlation coefficient (R2) varies from 0.846 to 0.967 and showed deviations from the origin with intercept values ranging from −0.0027 to 0.2396 mg/kg (Table 7), suggesting that the adsorption process is controlled by more than one step; other factors like external mass transfer, boundary layer resistance, and surface adsorption also contribute to the overall process. This finding is consistent with other studies [66], which also highlight the involvement of surface adsorption and boundary layer diffusion in addition to intra-particle diffusion.
On the other hand, it can be observed that the presence of different linear regions in the plots of Figure 13 and Figure 14 indicated that more than one mechanism was contributing to the adsorption process, which occurs in three steps where each region corresponds to a different adsorption mechanism. This behavior is consistent with findings from other studies, which also observed multi-step adsorption processes [49,72]. In general, the first region reflects the external surface adsorption or boundary layer diffusion, where the adsorbate rapidly adheres to the external surface of the adsorbent. The second region usually represents intra-particle diffusion within the mesopores, where diffusion slows down as the adsorbate penetrates deeper into the adsorbent’s structure. The third region indicates the final equilibrium stage, where the adsorption rate becomes very slow as the active sites on the adsorbent are nearly saturated. This final stage is controlled primarily by diffusion within the micropores, where the adsorbate finds fewer available sites and must diffuse more slowly into the fine pore structures [73,74]. To analyze the adsorption mechanism of both adsorbents, the values for each stage of the linear plot are presented in Table 8 and Table 9, detailing the slope, intercept, and correlation coefficient (R2) for every adsorption stage.
The granular activated carbon (GAC) exhibited significantly higher slope values for the second stage (0.0590 and 0.0591 for both flow rates), while pelletized activated carbon (PAC) showed much lower values (0.0097 and 0.0114). The higher slope in the second region for GAC indicates a much more rapid adsorption process during this phase, suggesting that the rate-limiting step during this middle stage of adsorption may involve faster diffusion into mesopores. In contrast, PAC shows slower mesopore diffusion, likely due to its more compact structure. This finding is in accordance with the results of Egirani et al. [75].
For both adsorbents, the third region, which represents the final phase of adsorption as equilibrium is approached, has the lowest slope values. This phase represents the gradual filling of the micropores and a shift towards equilibrium. The low slope in the final region for both adsorbents suggests that intra-particle diffusion is becoming less influential, with other mechanisms (e.g., equilibrium adsorption on the surface or pore filling) being dominant. This behavior has been documented in other studies of CO2 adsorption on different carbon-based materials [76].
Table 8 shows that PAC exhibits a steeper decline in slope at higher flow rates, indicating that it reaches the equilibrium phase quicker but with lower overall adsorption capacity. On the other hand, GAC (Table 9) maintains a higher adsorption rate into the second phase, demonstrating its superior capacity for handling multi-gas adsorption. The superior performance of GAC can be attributed to its larger surface area and better pore distribution, allowing for more efficient adsorption over a wider range of conditions [77].

5. Conclusions

This study demonstrates the superior adsorption capacities for CO2, CO, and CH4 of granular activated carbon (GAC) over pelletized activated carbon (PAC) for syngas purification derived from glycerol reforming. The larger surface area, mesoporous distribution, and optimized pore structure of GAC resulted in a CO2 adsorption capacity of 156.3 mg/g at a flow rate of 0.5 L/min, significantly higher than the 92.4 mg/g achieved by PAC under the same conditions. Furthermore, breakthrough times for CO2 were 462 s for GAC and 157 s for PAC at a flow rate of 1 L/min, highlighting GAC’s ability to extend gas retention and improve adsorption efficiency in multi-gas systems.
Kinetic analysis revealed distinct adsorption behaviors for the two adsorbents. The pseudo-second-order model best described PAC, indicating chemisorption as the dominant mechanism. In contrast, GAC followed the Avrami kinetic model, reflecting a more complex, multi-path adsorption process that incorporates surface adsorption and intraparticle diffusion. Diffusion studies using the Boyd, interparticle diffusion, and Weber–Morris confirmed that adsorption in both adsorbents involves multiple mechanisms, with intraparticle diffusion playing a significant but not exclusive role in limiting the adsorption rate.
The results of this research confirm GAC’s suitability for industrial hydrogen purification processes requiring efficient multi-gas removal and prolonged breakthrough times. The study underscores the importance of particle size, surface area, and pore structure in optimizing adsorption efficiency for cleaner energy production.

6. Future Perspectives

This study provides valuable insights into the adsorption performance of GAC and PAC for hydrogen purification. However, future research should extend these findings by exploring a broader range of operational conditions, such as higher pressures, diverse flow rates, and syngas compositions, to evaluate performance under industrial scenarios. Additionally, incorporating adsorbents with varying surface chemistries or functionalizations could provide deeper insights into the selectivity and efficiency of multi-gas removal processes. For example, hybrid systems combining GAC with complementary technologies, such as pressure swing adsorption or membrane separation, could be tested to optimize hydrogen purity and throughput simultaneously.

Author Contributions

Methodology, M.A.A.-F., L.P.-R. and N.E.; formal analysis, R.M. and J.F.; investigation, M.A.A.-F. and L.P.-R.; writing—original draft preparation, R.M. and J.F.; writing—review and editing, R.M., J.F. and N.E.; project administration, R.M. All authors have read and agreed to the published version of the manuscript.

Funding

This research was funded by the Defense University Center at the Spanish Naval Academy (CUD-ENM under project PICUD-2021-07).

Data Availability Statement

The original contributions presented in the study are included in the article, further inquiries can be directed to the corresponding author.

Acknowledgments

The authors greatly appreciate the help of the laboratory technicians of CUD-ENM (F.J.G. Limeres and A. Pérez).

Conflicts of Interest

The authors declare no conflicts of interest.

References

  1. Yue, M.; Lambert, H.; Pahon, E.; Roche, R.; Jemei, S.; Hissel, D. Hydrogen Energy Systems: A Critical Review of Technologies, Applications, Trends and Challenges. Renew. Sustain. Energy Rev. 2021, 146, 111180. [Google Scholar] [CrossRef]
  2. Chmielniak, T.; Iluk, T.; Stepien, L.; Billig, T.; Sciazko, M. Production of Hydrogen from Biomass with Negative CO2 Emissions Using a Commercial-Scale Fluidized Bed Gasifier. Energies 2024, 17, 5591. [Google Scholar] [CrossRef]
  3. Hren, R.; Vujanović, A.; Van Fan, Y.; Klemeš, J.J.; Krajnc, D.; Čuček, L. Hydrogen Production, Storage and Transport for Renewable Energy and Chemicals: An Environmental Footprint Assessment. Renew. Sustain. Energy Rev. 2023, 173, 113113. [Google Scholar] [CrossRef]
  4. Shchegolkov, A.V.; Shchegolkov, A.V.; Zemtsova, N.V.; Stanishevskiy, Y.M.; Vetcher, A.A. Recent Advantages on Waste Management in Hydrogen Industry. Polymers 2022, 14, 4992. [Google Scholar] [CrossRef] [PubMed]
  5. Lider, A.; Kudiiarov, V.; Kurdyumov, N.; Lyu, J.; Koptsev, M.; Travitzky, N.; Hotza, D. Materials and Techniques for Hydrogen Separation from Methane-Containing Gas Mixtures. Int. J. Hydrogen Energy 2023, 48, 28390–28411. [Google Scholar] [CrossRef]
  6. Muradov, N.Z.; Veziroǧlu, T.N. “Green” Path from Fossil-Based to Hydrogen Economy: An Overview of Carbon-Neutral Technologies. Int. J. Hydrogen Energy 2008, 33, 6804–6839. [Google Scholar] [CrossRef]
  7. Król, A.; Gajec, M.; Holewa-Rataj, J.; Kukulska-Zając, E.; Rataj, M. Hydrogen Purification Technologies in the Context of Its Utilization. Energies 2024, 17, 3794. [Google Scholar] [CrossRef]
  8. Sircar, S.; Golden, T.C. Purification of Hydrogen by Pressure Swing Adsorption. Sep. Sci. Technol. 2000, 35, 667–687. [Google Scholar] [CrossRef]
  9. Bernardo, P.; Drioli, E.; Golemme, G. Membrane Gas Separation: A Review/State of the Art. Ind. Eng. Chem. Res. 2009, 48, 4638–4663. [Google Scholar] [CrossRef]
  10. Du, Z.; Liu, C.; Zhai, J.; Guo, X.; Xiong, Y.; Su, W.; He, G. A Review of Hydrogen Purification Technologies for Fuel Cell Vehicles. Catalysts 2021, 11, 393. [Google Scholar] [CrossRef]
  11. Abuelnoor, N.; AlHajaj, A.; Khaleel, M.; Vega, L.F.; Abu-Zahra, M.R.M. Activated Carbons from Biomass-Based Sources for CO2 Capture Applications. Chemosphere 2021, 282, 131111. [Google Scholar] [CrossRef] [PubMed]
  12. Guo, B.; Chang, L.; Xie, K. Adsorption of Carbon Dioxide on Activated Carbon. J. Nat. Gas. Chem. 2006, 15, 223–229. [Google Scholar] [CrossRef]
  13. Dziejarski, B.; Serafin, J.; Andersson, K.; Krzyżyńska, R. CO2 Capture Materials: A Review of Current Trends and Future Challenges. Mater. Today Sustain. 2023, 24, 100483. [Google Scholar] [CrossRef]
  14. Soo, X.Y.D.; Lee, J.J.C.; Wu, W.Y.; Tao, L.; Wang, C.; Zhu, Q.; Bu, J. Advancements in CO2 Capture by Absorption and Adsorption: A Comprehensive Review. J. CO2 Util. 2024, 81, 102727. [Google Scholar] [CrossRef]
  15. Lee, J.Y.; Lee, B.H.; Chung, D.C.; Kim, B.J. CO2 Adsorption Behaviors of Biomass-Based Activated Carbons Prepared by a Microwave/Steam Activation Technique for Molecular Sieve. Materials 2023, 16, 5625. [Google Scholar] [CrossRef] [PubMed]
  16. Zubbri, N.A.; Mohamed, A.R.; Lahijani, P.; Mohammadi, M. Low Temperature CO2 capture on Biomass-Derived KOH-Activated Hydrochar Established through Hydrothermal Carbonization with Water-Soaking Pre-Treatment. J. Environ. Chem. Eng. 2021, 9, 105074. [Google Scholar] [CrossRef]
  17. Wei, M.; Yu, Q.; Xie, H.; Zuo, Z.; Hou, L.; Yang, F. Kinetics Studies of CO2 Adsorption and Desorption on Waste Ion-Exchange Resin-Based Activated Carbon. Int. J. Hydrogen Energy 2017, 42, 27122–27129. [Google Scholar] [CrossRef]
  18. Hong, S.H.; Chung, K.; Bang, G.; Kim, K.M.; Lee, C.H. Adsorption Equilibria and Kinetics of CO2, CH4, CO, N2, and H2 on KOH-Treated Activated Carbon Pellets up to 1000 KPa. Chem. Eng. J. 2022, 431, 133396. [Google Scholar] [CrossRef]
  19. Lopes, F.V.S.; Grande, C.A.; Ribeiro, A.M.; Loureiro, J.M.; Evaggelos, O.; Nikolakis, V.; Rodrigues, A.E. Adsorption of H2, CO2, CH4, CO, N2 and H2O in Activated Carbon and Zeolite for Hydrogen Production. Sep. Sci. Technol. 2009, 44, 1045–1073. [Google Scholar] [CrossRef]
  20. Gunawardene, O.H.P.; Gunathilake, C.A.; Vikrant, K.; Amaraweera, S.M. Carbon Dioxide Capture through Physical and Chemical Adsorption Using Porous Carbon Materials: A Review. Atmosphere 2022, 13, 397. [Google Scholar] [CrossRef]
  21. Gao, F.; Wang, Y.; Li, C.M.; Xu, Z.X.; Zhang, C.M.; Wang, J.L.; Li, K.X. Surface Modification of Activated Carbon for CO2 Adsorption. Carbon 2014, 76, 471. [Google Scholar] [CrossRef]
  22. Maceiras, R.; Feijoo, J.; Alfonsín, V.; Pérez, L.; Álvarez-Feijoo, M.A.; Falcón, P.; Vallejo, J.P. Influence of Alumina Fixed-Bed in Steam Reforming of Glycerol for Hydrogen Production. Energy Rep. 2023, 9, 309–315. [Google Scholar] [CrossRef]
  23. Saleh, T.A. Kinetic Models and Thermodynamics of Adsorption Processes: Classification. Interface Sci. Technol. 2022, 34, 65–97. [Google Scholar] [CrossRef]
  24. Vareda, J.P. On Validity, Physical Meaning, Mechanism Insights and Regression of Adsorption Kinetic Models. J. Mol. Liq. 2023, 376, 121416. [Google Scholar] [CrossRef]
  25. Revellame, E.D.; Fortela, D.L.; Sharp, W.; Hernandez, R.; Zappi, M.E. Adsorption Kinetic Modeling Using Pseudo-First Order and Pseudo-Second Order Rate Laws: A Review. Clean. Eng. Technol. 2020, 1, 100032. [Google Scholar] [CrossRef]
  26. Wang, J.; Guo, X. Adsorption Kinetic Models: Physical Meanings, Applications, and Solving Methods. J. Hazard. Mater. 2020, 390, 122156. [Google Scholar] [CrossRef]
  27. Azizian, S. Kinetic Models of Sorption: A Theoretical Analysis. J. Colloid. Interface Sci. 2004, 276, 47–52. [Google Scholar] [CrossRef]
  28. Guo, B.; Zhang, J.; Wang, Y.; Qiao, X.; Xiang, J.; Jin, Y. Study on CO2 Adsorption Capacity and Kinetic Mechanism of CO2 Adsorbent Prepared from Fly Ash. Energy 2023, 263, 125764. [Google Scholar] [CrossRef]
  29. Benjelloun, M.; Miyah, Y.; Akdemir Evrendilek, G.; Zerrouq, F.; Lairini, S. Recent Advances in Adsorption Kinetic Models: Their Application to Dye Types. Arab. J. Chem. 2021, 14, 103031. [Google Scholar] [CrossRef]
  30. Yoro, K.O.; Amosa, M.K.; Sekoai, P.T.; Mulopo, J.; Daramola, M.O. Diffusion Mechanism and Effect of Mass Transfer Limitation during the Adsorption of CO2 by Polyaspartamide in a Packed-Bed Unit. Int. J. Sustain. Eng. 2020, 13, 54–67. [Google Scholar] [CrossRef]
  31. Boyd, G.E.; Adamson, A.W.; Myers, L.S. The Exchange Adsorption of Ions from Aqueous Solutions by Organic Zeolites. II. Kinetics. J. Am. Chem. Soc. 1947, 69, 2836–2848. [Google Scholar] [CrossRef] [PubMed]
  32. Song, G.; Zhu, X.; Chen, R.; Liao, Q.; Ding, Y.D.; Chen, L. An Investigation of CO2 Adsorption Kinetics on Porous Magnesium Oxide. Chem. Eng. J. 2016, 283, 175–183. [Google Scholar] [CrossRef]
  33. Weber, W.J.; Morris, J.C. Kinetics of Adsorption on Carbon from Solution. J. Sanit. Eng. Div. 1963, 89, 31–59. [Google Scholar] [CrossRef]
  34. Ramirez-Gutierrez, C.F.; Arias-Niquepa, R.; Prías-Barragán, J.J.; Rodriguez-Garcia, M.E. Study and Identification of Contaminant Phases in Commercial Activated Carbons. J. Environ. Chem. Eng. 2020, 8, 103636. [Google Scholar] [CrossRef]
  35. Sujiono, E.H.; Zabrian, D.; Zurnansyah; Mulyati; Zharvan, V.; Samnur; Humairah, N.A. Fabrication and Characterization of Coconut Shell Activated Carbon Using Variation Chemical Activation for Wastewater Treatment Application. Results Chem. 2022, 4, 100291. [Google Scholar] [CrossRef]
  36. Kurzweil, P. Supercapacitors | Carbon Technologies. In Encyclopedia of Electrochemical Power Sources, 2nd ed.; Elsevier: Amsterdam, The Netherlands, 2025; pp. 402–425. [Google Scholar] [CrossRef]
  37. Ford, M.H.; Auerbach, S.M.; Monson, P.A. On the Mechanical Properties and Phase Behavior of Silica: A Simple Model Based on Low Coordination and Strong Association. J. Chem. Phys. 2004, 121, 8415–8422. [Google Scholar] [CrossRef]
  38. Chew, T.W.; H’Ng, P.S.; Luqman Chuah Abdullah, B.C.T.G.; Chin, K.L.; Lee, C.L.; Mohd Nor Hafizuddin, B.M.S.; TaungMai, L. A Review of Bio-Based Activated Carbon Properties Produced from Different Activating Chemicals during Chemicals Activation Process on Biomass and Its Potential for Malaysia. Materials 2023, 16, 7365. [Google Scholar] [CrossRef]
  39. Wang, Y.; Duan, Y.; Liang, X.; Tang, L.; Sun, L.; Wang, R.; Wei, S.; Huang, H.; Yang, P.; Hu, H. Hierarchical Porous Activated Carbon Derived from Coconut Shell for Ultrahigh-Performance Supercapacitors. Molecules 2023, 28, 7187. [Google Scholar] [CrossRef]
  40. Freitas, J.V.; Nogueira, F.G.E.; Farinas, C.S. Coconut Shell Activated Carbon as an Alternative Adsorbent of Inhibitors from Lignocellulosic Biomass Pretreatment. Ind. Crops Prod. 2019, 137, 16–23. [Google Scholar] [CrossRef]
  41. Ewansiha, C.J.; Ebhoaye, J.E.; Asia, I.O.; Ekebafe, L.O.; Ehigie, C. Proximate and Mineral Composition of Coconut (Cocos Nucifera) Shell. Int. J. Pure Appl. Sci. Technol. 2012, 13, 57. [Google Scholar]
  42. Rouquerol, J.; Rouquerol, F.; Llewellyn, P.; Maurin, G.; Sing, K.S.W. Adsorption by Powders and Porous Solids: Principles, Methodology and Applications, 2nd ed.; Academic Press: Cambridge, MA, USA, 2013. [Google Scholar]
  43. Chang, S.S.; Clair, B.; Ruelle, J.; Beauchêne, J.; Di Renzo, F.; Quignard, F.; Zhao, G.J.; Yamamoto, H.; Gril, J. Mesoporosity as a New Parameter for Understanding Tension Stress Generation in Trees. J. Exp. Bot. 2009, 60, 3023–3030. [Google Scholar] [CrossRef] [PubMed]
  44. Thommes, M.; Kaneko, K.; Neimark, A.V.; Olivier, J.P.; Rodriguez-Reinoso, F.; Rouquerol, J.; Sing, K.S.W. Physisorption of Gases, with Special Reference to the Evaluation of Surface Area and Pore Size Distribution (IUPAC Technical Report). Pure Appl. Chem. 2015, 87, 1051–1069. [Google Scholar] [CrossRef]
  45. Marsh, H.; Rodriguez-Reinonso, F. Activated Carbon Elsevier Science & Technology Books; Elsevier: Amsterdam, The Netherlands, 2006. [Google Scholar]
  46. Al Mesfer, M.K.; Danish, M. Breakthrough Adsorption Study of Activated Carbons for CO2 Separation from Flue Gas. J. Environ. Chem. Eng. 2018, 6, 4514–4524. [Google Scholar] [CrossRef]
  47. Peacok, T.M.; Sariol, H.C.; Torres, J.P.; Yperman, J.; Roca, Á.S.; Carleer, R.; García, L.S. Mathematical Tool Based on Breakthrough Curves to Evaluate the Economic Advantages of Chemical Regeneration of Activated Carbon in Power Plants: A Comparative Study. Appl. Sci. 2021, 11, 11786. [Google Scholar] [CrossRef]
  48. Verma, C.; Quraishi, M.A. (Eds.) Activated Carbon; The Royal Society of Chemistry: London, UK, 2023; ISBN 978-1-83916-780-5. [Google Scholar]
  49. Ha, S.H.; Younis, S.A.; Vikrant, K.; Szulejko, J.E.; Kim, K.H. Evidence of the Dominant Role of Particle Size in Controlling the Dynamic Adsorption Breakthrough Behavior of Gaseous Benzene in a Microporous Carbon Bed System. Chem. Eng. J. 2022, 427, 130977. [Google Scholar] [CrossRef]
  50. Xinzhe, L.; Mingyang, Z.; Juan, C.; Zhengyu, H.; Shuaifei, X.; Mingxuan, T.; Chenchen, Z. Adsorption of CO2 by Surface Modified Coal-Based Activated Carbons: Kinetic and Thermodynamic Analysis. Pol. J. Chem. Technol. 2022, 24, 19–28. [Google Scholar] [CrossRef]
  51. Abdeljaoued, A.; Querejeta, N.; Durán, I.; Álvarez-Gutiérrez, N.; Pevida, C.; Chahbani, M.H. Preparation and Evaluation of a Coconut Shell-Based Activated Carbon for CO2/CH4 Separation. Energies 2018, 11, 1748. [Google Scholar] [CrossRef]
  52. Ibrahim, H.G.; Al-Meshragi, M.A. Experimental Study of Adsorption on Activated Carbon for CO2 Capture. In CO2 Sequestration; IntechOpen: London, UK, 2020. [Google Scholar]
  53. Li, B.; Zeng, S.; Jiang, C.; Li, G.; Bai, L.; Xu, F.; Zhang, X. Dynamic Breakthrough Performance of Low Concentration CO2 Adsorption in Fixed-Bed Column with Porous Amino Acid Ionic Liquid Composites. Sep. Purif. Technol. 2024, 349, 127901. [Google Scholar] [CrossRef]
  54. Wang, H.; Xiang, J.; Deng, X.; Gao, W. Molecular Simulation of the Adsorption and Diffusion Properties of CH4 and CO2 in the Microporous System of Coal. Fuel 2024, 360, 130566. [Google Scholar] [CrossRef]
  55. Selmert, V.; Kretzschmar, A.; Kungl, H.; Tempel, H.; Eichel, R.A. Breakthrough Analysis of the CO2/CH4 Separation on Electrospun Carbon Nanofibers. Adsorption 2024, 30, 107–119. [Google Scholar] [CrossRef]
  56. Nguyen, X.C.; Kang, J.H.; Bang, G.; Kim, K.M.; Lee, C.H. Pelletized Activated Carbon-Based CO-Selective Adsorbent with Highly Oxidation-Stable and Aggregation-Resistant Cu(I) Sites. Chem. Eng. J. 2023, 451, 138758. [Google Scholar] [CrossRef]
  57. Kim, K.H.; Kim, M.H. Adsorption of CO2, CO, H2, and N2 on Zeolites, Activated Carbons, and Metal-Organic Frameworks with Different Surface Nonuniformities. Sustainability 2023, 15, 11574. [Google Scholar] [CrossRef]
  58. Zhang, B.; Liu, P.; Huang, Z.; Liu, J. Adsorption Equilibrium and Diffusion of CH4, CO2, and N2 in Coal-Based Activated Carbon. ACS Omega 2023, 8, 10303–10313. [Google Scholar] [CrossRef]
  59. Baamran, K.; Al-Naddaf, Q.; Lawson, S.; Ali Rownaghi, A.; Rezaei, F. Kinetic Process Assessment of H2 Purification over Highly Porous Carbon Sorbents under Multicomponent Feed Conditions. Sep. Purif. Technol. 2023, 306, 122695. [Google Scholar] [CrossRef]
  60. Nogueira, J.M.F. Microscale Gas Generator of Methane for the Dead Time Determination of Capillary Columns. Fresenius J. Anal. Chem. 2000, 368, 389–391. [Google Scholar] [CrossRef]
  61. Zhang, J.; Li, L.; Qin, Q. Effects of Micropore Structure of Activated Carbons on the CH4/N2 Adsorption Separation and the Enrichment of Coal-Bed Methane. Clean. Energy 2021, 5, 329–338. [Google Scholar] [CrossRef]
  62. Lee, S.Y.; Park, S.J. A Review on Solid Adsorbents for Carbon Dioxide Capture. J. Ind. Eng. Chem. 2015, 23, 1–11. [Google Scholar] [CrossRef]
  63. Lahuri, A.H.; Rahim, A.A.; Nordin, N.; Adnan, R.; Jaafar, N.F.; Taufiq-Yap, Y.H. Comparative Studies on Adsorption Isotherm and Kinetic for CO2 Capture Using Iron Oxide Impregnated Activated Carbon. Catal. Today 2023, 418, 114111. [Google Scholar] [CrossRef]
  64. Do, D.D. Adsorption Analysis: Equilibria and Kinetics; World Scientific: Singapore, 1998; Volume 2. [Google Scholar]
  65. Songolzadeh, M.; Soleimani, M.; Takht Ravanchi, M. Using Modified Avrami Kinetic and Two Component Isotherm Equation for Modeling of CO2/N2 Adsorption over a 13X Zeolite Bed. J. Nat. Gas Sci. Eng. 2015, 27, 831–841. [Google Scholar] [CrossRef]
  66. Serna-Guerrero, R.; Sayari, A. Modeling Adsorption of CO2 on Amine-Functionalized Mesoporous Silica. 2: Kinetics and Breakthrough Curves. Chem. Eng. J. 2010, 161, 182–190. [Google Scholar] [CrossRef]
  67. Rashidi, N.A.; Bokhari, A.; Yusup, S. Evaluation of Kinetics and Mechanism Properties of CO2 Adsorption onto the Palm Kernel Shell Activated Carbon. Environ. Sci. Pollut. Res. 2021, 28, 33967–33979. [Google Scholar] [CrossRef] [PubMed]
  68. Patel, H. Fixed-Bed Column Adsorption Study: A Comprehensive Review. Appl. Water Sci. 2019, 9, 45. [Google Scholar] [CrossRef]
  69. Boonchuay, A.; Worathanakul, P. The Diffusion Behavior of CO2 Adsorption from a CO2/N2 Gas Mixture on Zeolite 5A in a Fixed-Bed Column. Atmosphere 2022, 13, 513. [Google Scholar] [CrossRef]
  70. Tobarameekul, P.; Sangsuradet, S.; Worathanakul, P. Comparative Study of Zn Loading on Advanced Functional Zeolite NaY from Bagasse Ash and Rice Husk Ash for Sustainable CO2 Adsorption with ANOVA and Factorial Design. Atmosphere 2022, 13, 314. [Google Scholar] [CrossRef]
  71. Choi, S.; Drese, J.H.; Jones, C.W. Adsorbent Materials for Carbon Dioxide Capture from Large Anthropogenic Point Sources. ChemSusChem 2009, 2, 796–854. [Google Scholar] [CrossRef]
  72. Ramírez-Rodríguez, T.; De Landa Castillo-Alvarado, F. Application of the Intra-Particle Diffusion Model for Activated Carbon Fibers in an Aqueous Medium. In Proceedings of the Materials Research Society Symposium Proceedings; Cambridge University Press: Cambridge, UK, 2012; Volume 1373. [Google Scholar]
  73. Wang, J.; Guo, X. Rethinking of the Intraparticle Diffusion Adsorption Kinetics Model: Interpretation, Solving Methods and Applications. Chemosphere 2022, 309, 136732. [Google Scholar] [CrossRef] [PubMed]
  74. Schwaab, M.; Steffani, E.; Barbosa-Coutinho, E.; Severo Júnior, J.B. Critical Analysis of Adsorption/Diffusion Modelling as a Function of Time Square Root. Chem. Eng. Sci. 2017, 173, 179–186. [Google Scholar] [CrossRef]
  75. Egirani, D.E.; Poyi, N.R.; Shehata, N. Preparation and Characterization of Powdered and Granular Activated Carbon from Palmae Biomass for Cadmium Removal. Int. J. Environ. Sci. Technol. 2020, 17, 2443–2454. [Google Scholar] [CrossRef]
  76. Sabzehmeidani, M.M.; Mahnaee, S.; Ghaedi, M.; Heidari, H.; Roy, V.A.L. Carbon Based Materials: A Review of Adsorbents for Inorganic and Organic Compounds. Mater. Adv. 2021, 2, 598–627. [Google Scholar] [CrossRef]
  77. Saini, V.K.; Shankar, A. How to Improve Selectivity of a Material for Adsorptive Separation Applications. In Handbook of Environmental Materials Management; Springer International Publishing: Berlin/Heidelberg, Germany, 2019. [Google Scholar]
Figure 1. Scheme of experimental adsorption experiments.
Figure 1. Scheme of experimental adsorption experiments.
Energies 17 06011 g001
Figure 2. SEM micrographs of the activated carbon used with different granulometries: GAC (a,b) and PAC (c,d). Figures (b,d) correspond to micrographs at higher magnification.
Figure 2. SEM micrographs of the activated carbon used with different granulometries: GAC (a,b) and PAC (c,d). Figures (b,d) correspond to micrographs at higher magnification.
Energies 17 06011 g002
Figure 3. XRD pattern showing the main minerals that appear in the composition of the activated carbon.
Figure 3. XRD pattern showing the main minerals that appear in the composition of the activated carbon.
Energies 17 06011 g003
Figure 4. Pore size distribution of GAC in black and PAC in red. The incremental pore volume is shown with solid lines, while the cumulative volume is shown with dashed lines.
Figure 4. Pore size distribution of GAC in black and PAC in red. The incremental pore volume is shown with solid lines, while the cumulative volume is shown with dashed lines.
Energies 17 06011 g004
Figure 5. N2 adsorption–desorption isotherms for the activated carbon used with different granulometries: granular (GAC in black) and pelletized (PAC in red): (solid lines) adsorption, (dashed lines) desorption.
Figure 5. N2 adsorption–desorption isotherms for the activated carbon used with different granulometries: granular (GAC in black) and pelletized (PAC in red): (solid lines) adsorption, (dashed lines) desorption.
Energies 17 06011 g005
Figure 6. Breakthrough curves of GAC at different gas flow rates: (a) 0.5 L/min; (b) 1 L/min.
Figure 6. Breakthrough curves of GAC at different gas flow rates: (a) 0.5 L/min; (b) 1 L/min.
Energies 17 06011 g006
Figure 7. Breakthrough curves of H2 using GAC at different gas flow rates: 0.5 L/min and 1 L/min. The different phases during which the gases shown on the left are released are indicated vertically.
Figure 7. Breakthrough curves of H2 using GAC at different gas flow rates: 0.5 L/min and 1 L/min. The different phases during which the gases shown on the left are released are indicated vertically.
Energies 17 06011 g007
Figure 8. Breakthrough curves of PAC at different gas flow rates: (a) 0.5 L/min; (b) 1 L/min.
Figure 8. Breakthrough curves of PAC at different gas flow rates: (a) 0.5 L/min; (b) 1 L/min.
Energies 17 06011 g008
Figure 9. Fitting results for experimental data of PAC at different gas flow rates.
Figure 9. Fitting results for experimental data of PAC at different gas flow rates.
Energies 17 06011 g009
Figure 10. Fitting results for experimental data of GAC at different gas flow rates.
Figure 10. Fitting results for experimental data of GAC at different gas flow rates.
Energies 17 06011 g010
Figure 11. Boy diffusion model plots at different gas flow rates and linear regression (dotted line): (a) PAC; (b) GAC.
Figure 11. Boy diffusion model plots at different gas flow rates and linear regression (dotted line): (a) PAC; (b) GAC.
Energies 17 06011 g011
Figure 12. Interparticle diffusion model plots at different gas flow rates and linear regression (dotted line): (a) PAC; (b) GAC.
Figure 12. Interparticle diffusion model plots at different gas flow rates and linear regression (dotted line): (a) PAC; (b) GAC.
Energies 17 06011 g012
Figure 13. Weber–Morris model plots for PAC at different gas flow rates and linear regression (dotted line): (a) 0.5 L/min; (b) 1 L/min.
Figure 13. Weber–Morris model plots for PAC at different gas flow rates and linear regression (dotted line): (a) 0.5 L/min; (b) 1 L/min.
Energies 17 06011 g013
Figure 14. Weber–Morris model plots for GAC at different gas flow rates and linear regression (dotted line): (a) 0.5 L/min; (b) 1 L/min.
Figure 14. Weber–Morris model plots for GAC at different gas flow rates and linear regression (dotted line): (a) 0.5 L/min; (b) 1 L/min.
Energies 17 06011 g014
Table 1. Specifications of used adsorbents.
Table 1. Specifications of used adsorbents.
SpecificationGACPAC
Bulk density (kg/m3)454520
Water content (%)2.15.0
Iodine number (mg/g)9981000
Mechanical strength (%)95.997.0
Table 2. Chemical composition of the activated carbons used. The concentration is expressed in weight percentage.
Table 2. Chemical composition of the activated carbons used. The concentration is expressed in weight percentage.
Chemical Element%wt
Si14.09
Ca12.19
Al3.81
Fe2.05
Mg0.89
Na0.83
K0.73
S0.54
Table 3. BET surface area, total pore volume, and average pore diameter of the studied activated carbon.
Table 3. BET surface area, total pore volume, and average pore diameter of the studied activated carbon.
GACPAC
BET surface area (m2·g−1)112144
Average pore diameter (nm)3.422.5
Total pore volume(cm3·g−1)0.270.15
Total micropore volume (cm3·g−1)0.220.01
Table 4. Comparison of kinetic model constants for PAC.
Table 4. Comparison of kinetic model constants for PAC.
Kinetic ModelParametersFlow Rate
0.5 L/min1 L/min
Experimentalqe (mg/kg)0.14150.0763
Pseudo-First Orderqe (mg/kg)0.12210.0304
k1 (s−1)0.07250.056
R20.99290.9585
SSE0.22941.2002
χ238.77997879.7
Pseudo-Second Orderqe (mg/kg)0.16750.0785
k2 (kg/mg·s)0.05940.4280
R20.99740.9989
SSE0.00240.0037
χ21.24492.1715
Elovichqe (mg/kg)0.14690.0774
α (mg/kg·s)0.00470.0431
β (kg/mg)30.39591.743
R20.96830.9346
SSE0.02040.0046
χ2168,7404.7607
Avramiqe (mg/kg)0.14020.0747
kA (L/mg·s)0.00800.0071
n0.94010.5571
R20.99590.9290
SSE0.00190.0043
χ20.54654.0798
Table 5. Comparison of kinetic model constants for GAC.
Table 5. Comparison of kinetic model constants for GAC.
Kinetic ModelParametersFlow Rate
0.5 L/min1 L/min
Experimentalqe (mg/kg)1.20000.7916
Pseudo-First Orderqe (mg/kg)0.81630.4149
k1 (s−1)0.00210.0031
R20.96030.9455
SSE330.63175.14
χ2788.592446.2
Pseudo-Second Orderqe (mg/kg)1.40210.8687
k2 (kg/mg·s)0.00220.0095
R20.98230.9941
SSE10.6061.4214
χ236.48614.099
Elovichqe (mg/kg)1.32590.8462
α (mg/kg·s)0.01160.0215
β (kg/mg)3.42116.0423
R20.90280.9065
SSE21.5473.4444
χ2623.9747.113
Avramiqe (mg/kg)1.19740.7867
kA (L/mg·s)0.00260.0044
n1.01890.8594
R20.97310.9519
SSE5.26381.8741
χ212.36912.666
Table 6. Fitting parameters for Boyd film diffusion model for both adsorbents.
Table 6. Fitting parameters for Boyd film diffusion model for both adsorbents.
AdsorbentParametersFlow Rate
0.5 L/min1 L/min
PACslope0.00900.0079
intercept0.1586−0.4149
R20.82420.9947
GACslope0.00380.0067
intercept−0.7163−0.4958
R20.96950.9597
Table 7. Summary of Weber–Morris diffusion model for both adsorbents.
Table 7. Summary of Weber–Morris diffusion model for both adsorbents.
AdsorbentParametersFlow Rate
0.5 L/min1 L/min
PACkWM (mg/kg·s0.5)0.00100.0002
C (mg/kg)−0.00270.0015
R20.96710.8956
SSE2.26966.4600
χ2108,74774,417
GACkWM (mg/kg·s0.5)0.04580.0175
C (mg/kg)−0.23960.0654
R20.89640.8458
SSE332.1756.959
χ22365.8351.50
Table 8. Intraparticle diffusion parameters for CO2 adsorption at different stages for PAC.
Table 8. Intraparticle diffusion parameters for CO2 adsorption at different stages for PAC.
Adsorption StagesParametersFlow Rate
0.5 L/min1 L/min
1stkWM,1 (mg/kg·s0.5)0.00420.0074
C (mg/kg)−0.0033−0.0061
R20.98470.9827
2ndkWM,2 (mg/kg·s0.5)0.00970.0114
C (mg/kg)−0.0157−0.0138
R20.99020.9746
3rdkWM,3 (mg/kg·s0.5)0.00260.0011
C (mg/kg)0.08110.0503
R20.9740.9826
Table 9. Intraparticle diffusion parameters for CO2 adsorption at different stages for GAC.
Table 9. Intraparticle diffusion parameters for CO2 adsorption at different stages for GAC.
Adsorption StagesParametersFlow Rate
0.5 L/min1 L/min
1stkWM,1 (mg/kg·s0.5)0.00850.0136
C (mg/kg)−0.0074−0.0118
R20.98110.9811
2ndkWM,2 (mg/kg·s0.5)0.05900.0591
C (mg/kg)−0.3433−0.2228
R20.98010.9776
3rdkWM,3 (mg/kg·s0.5)0.00770.00071
C (mg/kg)0.86710.5473
R20.98450.9698
Disclaimer/Publisher’s Note: The statements, opinions and data contained in all publications are solely those of the individual author(s) and contributor(s) and not of MDPI and/or the editor(s). MDPI and/or the editor(s) disclaim responsibility for any injury to people or property resulting from any ideas, methods, instructions or products referred to in the content.

Share and Cite

MDPI and ACS Style

Maceiras, R.; Feijoo, J.; Perez-Rial, L.; Alvarez-Feijoo, M.A.; Eslami, N. Influence of Activated Carbon Granulometry on H2 Purification in Glycerol Reforming Syngas: Adsorption and Kinetic Analysis. Energies 2024, 17, 6011. https://doi.org/10.3390/en17236011

AMA Style

Maceiras R, Feijoo J, Perez-Rial L, Alvarez-Feijoo MA, Eslami N. Influence of Activated Carbon Granulometry on H2 Purification in Glycerol Reforming Syngas: Adsorption and Kinetic Analysis. Energies. 2024; 17(23):6011. https://doi.org/10.3390/en17236011

Chicago/Turabian Style

Maceiras, Rocio, Jorge Feijoo, Leticia Perez-Rial, Miguel A. Alvarez-Feijoo, and Naser Eslami. 2024. "Influence of Activated Carbon Granulometry on H2 Purification in Glycerol Reforming Syngas: Adsorption and Kinetic Analysis" Energies 17, no. 23: 6011. https://doi.org/10.3390/en17236011

APA Style

Maceiras, R., Feijoo, J., Perez-Rial, L., Alvarez-Feijoo, M. A., & Eslami, N. (2024). Influence of Activated Carbon Granulometry on H2 Purification in Glycerol Reforming Syngas: Adsorption and Kinetic Analysis. Energies, 17(23), 6011. https://doi.org/10.3390/en17236011

Note that from the first issue of 2016, this journal uses article numbers instead of page numbers. See further details here.

Article Metrics

Back to TopTop