Abstract
This paper presents a study of the empirical approach to the estimation of power losses in composite cores excited by harmonic flux density waveforms. Nowadays, magnetic cores operating in power electronic devices are excited by distorted (e.g., harmonic) flux density waveforms. Magnetic material properties are mostly determined for sinusoidal waveforms of the magnetic flux density. However, these properties can vary significantly in the case of harmonic excitations, which affects the devices’ efficiency. The effect of harmonic flux density waveform parameters (amplitude ratio and phase angle) on the level of power losses in soft magnetic composites is analyzed. A simple, empirical model of harmonic losses based on standardized measurements, i.e., carried out for sinusoidal flux density waveforms, is modified and validated. It is revealed that the empirical approach to estimating harmonic losses can be applied to magnetic composites with satisfactory modelling results.
1. Introduction
Magnetic cores are integral parts of electric devices. Core properties such as saturation induction BS or specific power losses PS determine the operating parameters and efficiency of electric devices. According to international standards [1,2,3], the properties of magnetic materials are determined for a sinusoidal waveform of magnetic flux density inside the sample. Therefore, all manufacturers of soft magnetic materials provide material characteristics measured under such sinusoidal excitation conditions, which are then taken into account in the design of magnetic circuits. However, in many electric devices—especially those using power electronics converters—magnetic cores operate under non-sinusoidal excitation conditions. Control and modulation techniques used in modern power supply and energy conversion systems generate additional harmonics in the excitation signal magnetizing ferromagnetic cores. A commonly used modulation technique in power electronics converters is Pulse–Width Modulation (PWM), including its variants, enabling the control of converter-fed drives, such as Space Vector Pulse–Width Modulation (SVPWM). The properties of magnetic cores working under such conditions are usually different than in the case of sinusoidal waveforms [4,5,6,7], resulting in the reduced efficiency of electrical devices. Complicated converter control methods cause the appearance of harmonics that affect not only the magnetic elements in the converter itself, but also the properties of magnetic circuits in supplied devices [8,9,10], especially in the case of electric drives [11,12] or induction heaters [13]. The issues related to conventional soft magnetic materials (i.e., electrical steel sheets) working under excitations containing additional harmonics have already been described in detail in many works, e.g., [14,15,16,17,18]. For this reason, the paper focuses on modern magnetic materials working under harmonic excitations, such as soft magnetic composites (SMC).
The typical materials used as magnetic cores in power electronics systems are ferrites. These materials are produced by the sintering of powdered metal oxides. Ferrites have low saturation induction (0.3–0.5 T) and high magnetic permeability values [19,20]. Alternative materials that are increasingly used as magnetic cores in power electronics converters are soft magnetic composites. SMC are made of a magnetic powder, obtained by grinding magnetic material (e.g., nanocrystalline ribbons) in high-energy mills or by atomizing materials from the liquid phase. Magnetic powder is doped with dielectric binders and then formed into cores of a given shape using the compression moulding method. Dielectric binders create an insulating layer on the surface of magnetic powder grains, which increases the material resistivity and reduces power losses, but also deteriorates its magnetic properties—saturation induction of SMC usually does not exceed 1.5 T [21,22,23,24,25]. Soft magnetic composites, thanks to their unique combination of magnetic and mechanical properties, enable the miniaturization and tailoring of magnetic circuits and are used in application areas limited for classical magnetic materials, such as electrical sheets and soft ferrites [21,25]. The analysis and modelling of magnetic composite properties are the subject of scientific studies. For example, the results of loss analysis in soft magnetic composites are presented in [26], however, without taking into account the effect of harmonic excitations. The effect of harmonics on power losses in composite materials is investigated in [27], but a calculation procedure is not clearly presented.
In summary, the analysis of magnetic properties under non-sinusoidal magnetic flux density waveforms is a key issue for scientists and engineers involved in the design of electrical devices, especially those using new types of soft magnetic cores. Therefore, this paper is focused on the validation of a simple, empirical model of harmonic losses based on standardized measurements, i.e., carried out for sinusoidal flux density waveforms.
2. Sample and Measurements
A magnetic composite representing a new class of soft magnetic materials was selected for this study. The sample was the Somaloy 700 ring core (depicted in Figure 1), made of nanocrystalline powder and epoxy resin. Hysteresis loops and specific power losses were measured using an MPG200 measuring system (Brockhaus Measurements, Lüdenscheid, Germany) for sinusoidal and distorted flux density waveforms.
Figure 1.
The soft magnetic composite sample made of Somaloy 700.
The MPG200 measuring system is designed to measure the properties of soft magnetic material such as total specific power loss, peak value of magnetic flux density, remanence, peak value of field strength, effective field strength, coercive field strength, alternating/differential permeability, and hysteresis curves. The measuring coil system consists of a primary winding generating a magnetic flux inside the sample and a secondary (measuring) winding. The magnetic field is determined by the current , the number of primary windings and the magnetic length of the coil :
The primary winding is supplied by the power amplifier and the value of the magnetizing current is measured as a voltage drop across the shunt resistor. The voltage induced in the secondary winding is used to calculate the magnetic flux density:
where is the number of secondary windings and is the sample cross section. The measuring process is supervised by the processor that controls measurement signal parameters and their conversion into the appropriate physical parameters [28]. The general view of the MPG measuring system is depicted in Figure 2.
Figure 2.
The MPG200 measuring system: (a) system diagram [28], (b) measurement window, (c) general view of the system at Częstochowa University of Technology.
Standard measurements are performed under sinusoidal flux density waveforms. Optionally, it is possible to use excitations such as free-form, harmonic, or PWM signals in the measurements. The sinusoidal flux density waveform is controlled by the MPG200 system using digital feedback. In the case of distorted flux density waveform containing harmonics, the fundamental frequency is overlaid by its multiple frequencies, according to the formula
where is the amplitude of the fundamental flux density, is the amplitude of the n-th flux density harmonic, and is the phase angle of the n-th flux density harmonic. Harmonic flux density waveforms are generated with a given ratio of the harmonic amplitude to the fundamental signal amplitude [28].
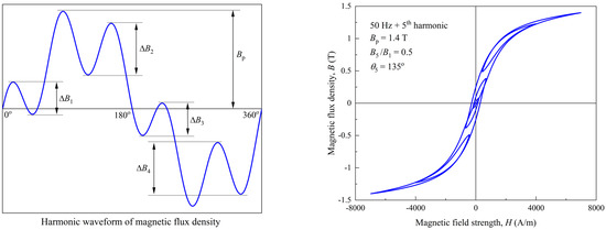
Preliminary measurements were carried out for sinusoidal and distorted magnetic flux density waveforms (50 Hz sine + 3rd harmonic, 50 Hz sine + 5th harmonic) for the peak flux density ranging from 0.2 T to 1.4 T with a step of 0.2 T and for a constant value of the harmonic amplitude ratio of = 0.7 and the phase angle of = 0°. Hysteresis loops measured at = 1.4 T (i.e., near the saturation) are depicted in Figure 3a–c. In the case of the harmonic waveforms, additional minor loops can be observed. It is well known that the hysteresis loop area represents power losses dissipated during the magnetization process. Therefore, the existence of additional loops results in a change in the power losses level. The values of the specific power losses measured for the above-described waveforms are depicted in Figure 4. It is easy to observe that specific power losses are much higher for the harmonic waveforms when compared to the sinusoidal ones. For example, in the case of the major loop measured at the 5th harmonic waveform, the level of power losses is more than twice as high.
Figure 3.
Hysteresis loops of the Somaloy 700 core measured at = 1.4 T [29].
Figure 4.
Specific power loss of the Somaloy 700 core measured at the sinusoidal and the harmonic flux density waveforms ( = 0.7, = 0°) [29].
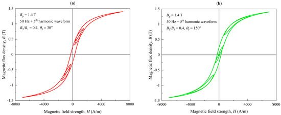
In order to determine the effect of the harmonic amplitude ratio and the phase angle on the level of power losses, measurements were carried out for the constant value of peak flux density = 1.4 T and with various configurations of harmonic waveform parameters, i.e., harmonic amplitude ratio = 0.2–0.8 and phase angle = 0°–180°. Changing the values of the harmonic waveform parameters causes a change in the position (according to ) and size (according to ) of minor hysteresis loops, as depicted in Figure 5a–c and, consequently, a change in the loss values generated in the magnetization process. Exemplary power loss measurements obtained for the 5th harmonic flux density waveform are depicted in Figure 6. In the case of changes in the harmonic amplitude ratio, a significant (over 100%) and practically linear increase in the loss level is observed. Whereas, when changing the phase angle, the increase in the loss level is only about 20%.

Figure 5.
Hysteresis loops measured at B harmonic waveforms with various parameters and θ5.
Figure 6.
Specific power losses measured at the 5th harmonic flux density waveform with different parameter configurations: (a) losses versus harmonic amplitude ratio, (b) losses versus phase angle, (c) losses plane.
3. Empirical Model of Harmonic Losses
The effect of harmonic waveforms on specific power losses in magnetic materials was the subject of many studies. One approach to analyzing this effect is an empirical model proposed by J.D. Lavers [30,31], based on the assumption that the power losses for harmonic excitation can be estimated on the basis of measured sinusoidal power losses and correction factors related to the shape and specific parameters of the harmonic flux density waveforms exciting the magnetic core. In this approach, the total power losses are analyzed as the sum of two components: eddy currents and hysteresis losses. The eddy current loss component for harmonic flux density waveforms is given as
where and are the eddy current losses for sine and harmonic flux density waveforms measured at peak flux density , is the eddy current correction factor given as
where , are the amplitude of fundamental and n-th harmonic waveforms, respectively. In the case of the hysteresis loss component, the effect of harmonic flux density waveforms on the loss level is expressed by the minor loop correction factor :
where is a coefficient that is assumed to be related to the magnetic material type, whereas represents the unweighted algebraic sum of the flux density reversals , occurring in harmonic waveforms and responsible for the formation of minor hysteresis loops:
but only the reversals occurring in the positive half of harmonic waveforms are considered. Similarly to the eddy current loss component, the hysteresis losses for harmonic waveforms are given as
The value of the factor should be estimated based on loss measurements for a broad range of materials and flux density waveforms.
Total power losses under harmonic excitations are calculated as a sum of the eddy current (Equation (4)) and hysteresis (Equation (8)) loss components. This approach has been validated for thin laminations over a wide range of harmonic flux density waveforms with satisfactory results. It should be noted, however, that the idea of loss separation into components is considered artificial by some researchers. They suggest that losses in magnetic materials should be considered as total, as these are caused by one physical phenomenon, i.e., the eddy current flow at various spatial scales: microscale (caused by Barkhausen jumps), intermediate scale (around domain walls), and macroscale (in the entire sample volume) [32,33]. This approach to the losses analysis in magnetic cores is also justified from an engineering point of view, because designers of electric and power electronic systems need information about the total losses in magnetic circuits. For this reason, the paper proposes the use of only the modified Equation (8) to analyze total power losses under harmonic excitation conditions in the form
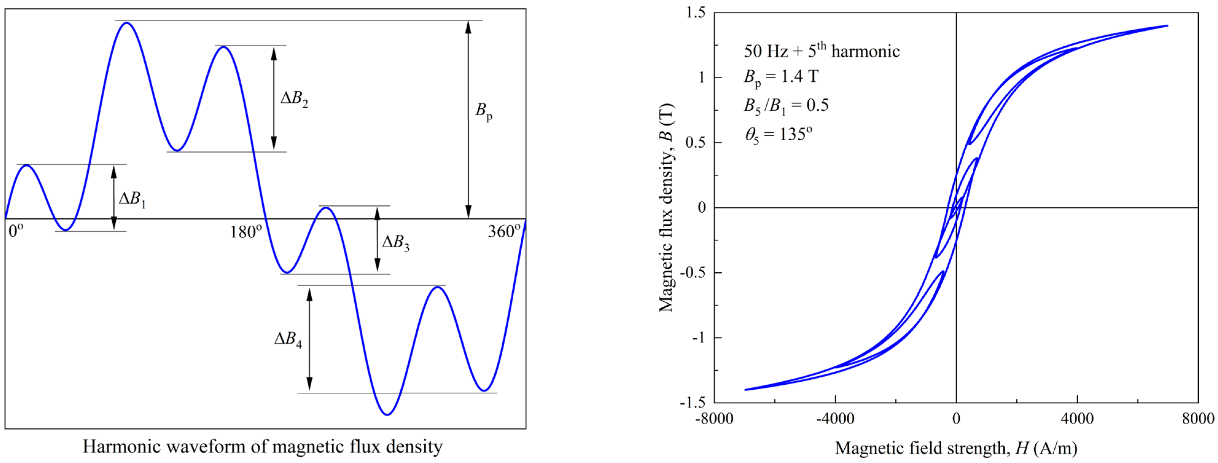
where is the correction factor, calculated according to Equation (6). The basic modification compared to the original model is to include all flux density reversals in the sum , not only those occurring in the positive half-period of flux density waveform. This is because the total losses generated in one magnetization cycle are associated with the major loop as well as all minor loops resulting from flux reversals occurring in the entire harmonic waveform, as shown in Figure 7.
Figure 7.
Harmonic flux density waveform and associated hysteresis loop.
4. Validation of the Harmonic Loss Model: Results and Discussion
The proposed harmonic loss model, given by Equation (9), was validated for the Somaloy 700 composite sample using loss measurements carried out for sinusoidal and 5th harmonic flux density waveforms with an amplitude = 1.4 T, phase angles = 0°, 30°, 60°… 180° and harmonic amplitude ratios = 0.2, 0.4, 0.6, and 0.8. For each phase angle , a set of loss measurements at different values were used to determine the values of the coefficient. The measured and modelled values of harmonic losses for the phase angle = 120° are compared in Figure 8: these show satisfactory agreement. The coefficient values estimated for different phase angles are presented in Figure 9. These values vary in the range from 0.4 to 0.48, and its average value for the entire range of phase angle changes is = 0.43011.
Figure 8.
Measured and modelled harmonic losses.
Figure 9.
Estimated values of the coefficient.
The average value of the coefficient was used to validate the loss model for the arbitrary selected harmonic flux density waveforms, i.e.,
- 50 Hz sine + 3rd harmonic, = 0.5, = 115°;
- 50 Hz sine + 3rd harmonic, = 0.7, = 145°;
- 50 Hz sine + 3rd harmonic, = 0.9, = 80°;
- 50 Hz sine + 5th harmonic, = 0.3, = 45°;
- 50 Hz sine + 5th harmonic, = 0.5, = 135°;
- 50 Hz sine + 5th harmonic, = 0.7, = 75°;
- 50 Hz sine + 7th harmonic, = 0.3, = 15°;
- 50 Hz sine + 7th harmonic, = 0.5, = 60°;
- 50 Hz sine + 7th harmonic, = 0.7, = 25°,
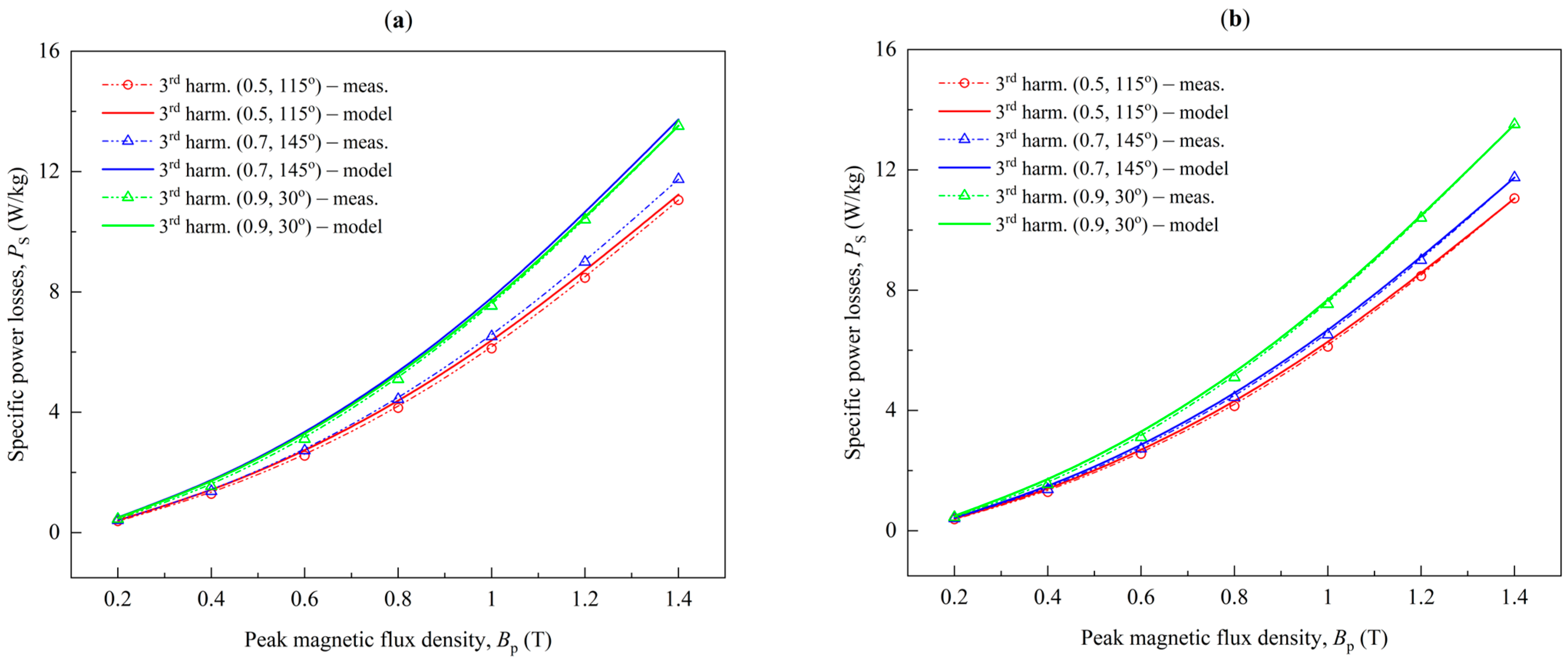
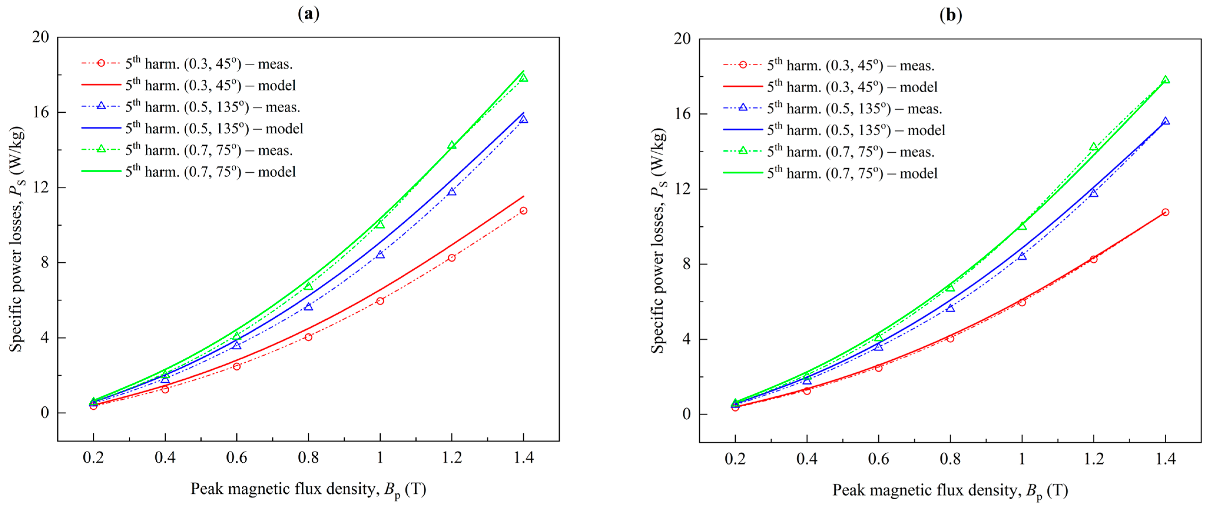
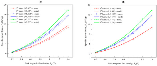
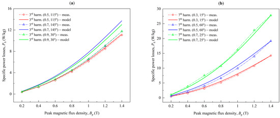
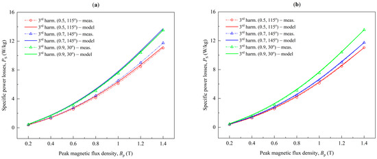
with peak flux density = 0.2, 0.4, …, 1.4 T. Hysteresis loops measured for the above-mentioned harmonic excitations and chosen values are depicted in Figure 10, Figure 11 and Figure 12a–c for the 3rd, 5th, and 7th harmonic signals, respectively. The results of harmonic loss modelling are depicted in Figure 13a, Figure 14a, and Figure 15a, while the corresponding modelling errors for the considered values are given in Table 1, Table 2 and Table 3. It can be observed that for some harmonic waveforms, the modelled loss curves are below the measurement values in the entire range of magnetic flux density and the maximum modelling errors exceed 33.3%. This indicates that using the average value of the coefficient does not provide satisfactory modelling results.
Figure 10.
Exemplary hysteresis loops measured at 3rd harmonic flux density waveforms, used in the loss model validation.

Figure 11.
Exemplary hysteresis loops measured at 5th harmonic flux density waveforms, used in the loss model validation.
Figure 12.
Exemplary hysteresis loops measured at 7th harmonic flux density waveforms, used in the loss model validation.
Figure 13.
Results of the 3rd harmonic loss modelling for the Somaloy 700 core: (a) using an average value of the material coefficient = 0.43011, (b) using variable values of the material coefficient k (dots—measurements; solid line—modelling).
Figure 14.
Results of the 5th harmonic loss modelling for the Somaloy 700 core: (a) using an average value of the material coefficient = 0.43011, (b) using variable values of the material coefficient k (dots—measurements; solid line—modelling).
Figure 15.
Results of the 7th harmonic loss modelling for the Somaloy 700 core: (a) using an average value of the material coefficient = 0.43011, (b) using variable values of the material coefficient k (dots—measurements; solid line—modelling).
Table 1.
Errors for the 3rd harmonic loss modelling.
Table 2.
Errors for the 5th harmonic loss modelling.
Table 3.
Errors for the 7th harmonic loss modelling.
In order to improve the modelling results, it is proposed to estimate the coefficient for a given harmonic waveform from loss measurements near the saturation, and then use it to calculate harmonic losses for other values of peak flux density. The loss modelling results and associated modelling errors obtained for the proposed modification are presented in Figure 13b, Figure 14b, and Figure 15b, and Table 1, Table 2 and Table 3. In the case of the modified approach, improved modelling results are obtained: for = 1.4 T the modelling errors are close to 0, while for the remaining values the maximum errors are lower than in the previous case and do not exceed 17%, except for two measurement points for which the errors exceed 20%. Most of the coefficient values range from 0.38 to 0.41 (except for three values), i.e., in a range similar to the previously obtained values. Thereby, it can be hypothesized that the coefficient is a material-related parameter, as suggested in [31], but this requires further investigation for a broad class of soft magnetic materials.
5. Conclusions
This paper presented the measurements and analysis of hysteresis loops and specific power losses in magnetic cores excited with sinusoidal and harmonic waveforms of magnetic flux density. A significant effect of harmonic waveform parameters (i.e., amplitude ratio and phase angle) on the power loss level was found. Lavers’s empirical approach to estimating power losses in harmonic conditions has been modified, which allows the determination of total core losses without a separate analysis of the eddy current and hysteresis loss components. The proposed method of estimating harmonic losses was validated for a new class of soft magnetic materials—nanocrystalline composites—providing satisfactory accuracy of harmonic loss modelling. The obtained results confirmed that the harmonic losses can be simply estimated on the basis of standardized loss measurements (for sinusoidal excitations) and the shape of harmonic flux density waveforms inside the sample. It was also revealed that the appropriate calculation of the coefficient is crucial for the accuracy of harmonic loss estimation. Furthermore, the coefficient is assumed to be a material-related parameter, but this hypothesis requires further investigation for a broad class of soft magnetic materials.
Future research will be focused on the analysis and modelling of the magnetic core properties operating under non-sinusoidal excitations, such as PWM signals or symmetric and asymmetric triangular waveforms, including DC bias conditions.
Author Contributions
Conceptualization, M.N. and B.K.; methodology, M.N. and B.K.; software, M.N. and D.G.; validation, M.N. and D.G.; formal analysis, M.N., J.K. and B.K.; investigation, M.N.; resources, M.N. and D.G.; data curation, M.N., D.G. and J.K.; writing–original draft preparation, M.N., D.G., B.K. and J.K.; writing–review and editing, M.N. and B.K.; visualization, M.N., D.G. and J.K.; supervision, M.N. All authors have read and agreed to the published version of the manuscript.
Funding
This research received no external funding.
Data Availability Statement
The data presented in this study are available on request from the corresponding author.
Acknowledgments
This article is a revised and expanded version of a paper entitled “The estimation of magnetic losses in composite cores excited by harmonic magnetic flux density waveforms”, which was presented at the XVIII Symposium of Electromagnetic Phenomena in Nonlinear Circuits EPNC2024, Portorož, Slovenia, 18–21 June 2024.
Conflicts of Interest
The authors declare no conflicts of interest.
References
- IEC 60404-2:1996; Magnetic Materials. Part 2: Methods of Measurements of the Magnetic Properties of Electrical Steel Sheet by Means of an Epstein Frame. International Electrotechnical Commission: Geneva, Switzerland, 1996. Available online: https://webstore.iec.ch/en/publication/2063 (accessed on 15 September 2024).
- IEC 60404-3:2022; Magnetic Materials. Part 3: Methods of Measurement of the Magnetic Properties of Magnetic Sheet and Strip by Means of a Single Sheet Tester. International Electrotechnical Commission: Geneva, Switzerland, 2022. Available online: https://webstore.iec.ch/en/publication/66641 (accessed on 15 September 2024).
- IEC 60404-6:2018; Magnetic Materials. Part 6: Methods of Measurement of the Magnetic Properties of Magnetically Soft Metallic and Powder Materials at Frequencies in the Range 20 Hz to 100 kHz by the Use of Ring Specimens. International Electrotechnical Commission: Geneva, Switzerland, 2018. Available online: https://webstore.iec.ch/en/publication/27825 (accessed on 15 September 2024).
- Van den Bossche, A.; Valchev, V.C.; Van den Sype, D.M.; Van den Bossche, L.P. Ferrite losses of cores with square wave voltage and dc bias. J. Appl. Phys. 2006, 99, 08M908. [Google Scholar] [CrossRef]
- Górecki, K.; Detka, K. Improved method for measuring power losses in the inductor core. IEEE Trans. Instrum. Meas. 2021, 70, 1500710. [Google Scholar] [CrossRef]
- Petrescu, L.-G.; Petrescu, M.-C.; Cazacu, E.; Constantinescu, C.-D. Estimation of energy losses in nanocrystalline FINEMET alloys working at high frequency. Materials 2021, 14, 7745. [Google Scholar] [CrossRef] [PubMed]
- Najgebauer, M.; Gzieł, D. The analysis of magnetic core properties under non-sinusoidal excitation waveforms. Przegląd Elektrotechniczny 2023, 99, 234–237. (In Polish) [Google Scholar] [CrossRef]
- Ionita, V.; Cazacu, E.; Petrescu, L. Effect of voltage harmonics on iron losses in magnetic cores with hysteresis. In Proceedings of the 18th International Conference on Harmonics and Quality of Power (ICHQP), Ljubljana, Slovenia, 13–16 May 2018; pp. 1–5. [Google Scholar] [CrossRef]
- Kaihara, H.; Takahashi, N.; Nakano, M.; Kawabe, M.; Nomiyama, T.; Shiozaki, A.; Miyagi, D. Effect of carrier frequency and circuit resistance on iron loss of electrical steel sheet under Single-Phase Full-Bridge PWM inverter excitation. IEEE Trans. Magn. 2012, 48, 3454–3457. [Google Scholar] [CrossRef]
- Rupanagunta, P.; Hsu, J.S.; Weldon, W.F. Determination of iron core losses under influence of third-harmonic flux component. IEEE Trans. Magn. 1991, 27, 768–777. [Google Scholar] [CrossRef][Green Version]
- Guo, P.; Li, Y.; Lin, Z.; Li, Y.; Su, P. Characterization and calculation of losses in soft magnetic composites for motors with SVPWM excitation. Appl. Energy 2023, 349, 121631. [Google Scholar] [CrossRef]
- Xue, S.; Feng, J.; Guo, S.; Chen, Z.; Peng, J.; Chu, W.; Xue, P.; Zhu, Z.Q. Iron loss model for electrical machines fed by low switching frequency PWM. In Proceedings of the IEEE International Magnetics Conference (INTERMAG), Dublin, Ireland, 24–28 April 2017; p. 1. [Google Scholar] [CrossRef]
- Popescu, M.; Bitoleanu, A.; Dobriceanu, M. Analysis and optimal design of matching inductance for induction heating system with voltage inverter. In Proceedings of the 8th International Symposium on Advanced Topics in Electrical Engineering (ATEE), Bucharest, Romania, 23–25 May 2013; pp. 1–6. [Google Scholar] [CrossRef]
- Fiorillo, F.; Novikov, A. An improved approach to power losses in magnetic laminations under nonsinusoidal induction waveform. IEEE Trans. Magn. 1990, 26, 2904–2910. [Google Scholar] [CrossRef]
- Amar, M.; Kaczmarek, R. A general formula for prediction of iron losses under nonsinusoidal voltage waveform. IEEE Trans. Magn. 1995, 31, 2504–2509. [Google Scholar] [CrossRef]
- Barbisio, E.; Fiorillo, F.; Ragusa, C. Predicting loss in magnetic steels under arbitrary induction waveform and with minor hysteresis loops. IEEE Trans. Magn. 2004, 40, 1810–1819. [Google Scholar] [CrossRef]
- Toda, H.; Senda, K.; Morimoto, S.; Hiratani, T. Influence of various non-oriented electrical steels on motor efficiency and iron loss in switched reluctance motor. IEEE Trans. Magn. 2013, 49, 3850–3853. [Google Scholar] [CrossRef]
- Mohan Unniachanparambil, G.; Kulkarni, S.V. Comparison of dynamic loss inclusion under asymmetrical minor loops using Lavers formula and inverse Jiles-Atherton model. IEEE Trans. Magn. 2024, 60, 7000304. [Google Scholar] [CrossRef]
- Fiorillo, F.; Bertotti, G.; Appino, C.; Pasquale, M. Soft magnetic materials. In Wiley Encyclopedia of Electrical and Electronics Engineering; John Wiley & Sons Inc.: Hoboken, NJ, USA, 2016; pp. 1–42. [Google Scholar] [CrossRef]
- Rodriguez-Sotelo, D.; Rodriguez-Licea, M.A.; Soriano-Sanchez, A.G.; Espinosa-Calderon, A.; Perez-Pinal, J.F. Advanced ferromagnetic materials in power electronic converters: A state of the art. IEEE Access 2020, 8, 56238–56252. [Google Scholar] [CrossRef]
- Hultman, L.O.; Jack, A.G. Soft magnetic composites—Materials and applications. In Proceedings of the IEEE International Electric Machines and Drives Conference. IEMDC’03, Madison, WI, USA, 1–4 June 2003; pp. 516–522. [Google Scholar] [CrossRef]
- Shokrollahi, H.; Janghorban, K. Soft magnetic composite materials (SMCs). J. Mater. Process. Technol. 2007, 189, 1–12. [Google Scholar] [CrossRef]
- Ślusarek, B. Powder magnetic materials. Przegląd Elektrotechniczny 2010, 86, 16–19. [Google Scholar]
- Hamler, A.; Goričan, V.; Šuštaršič, B.; Sirc, A. The use of soft magnetic composite materials in synchronous electric motor. J. Magn. Magn. Mater. 2006, 304, e816–e819. [Google Scholar] [CrossRef]
- Najgebauer, M. Advances in contemporary soft magnetic materials—A review. In Proceedings of the 10th International Conference on Electrical, Electronic and Computing Engineering (IcETRAN), East Sarajevo, Bosnia and Hercegovina, 5–8 June 2023. [Google Scholar] [CrossRef]
- Asari, A.R.; Guo, Y.; Zhu, J. Performances of SOMALOY 700 (5P) and SOMALOY 500 materials under 1-D alternating magnetic flux density. In Proceedings of the International UNIMAS STEM 12th Engineering Conference (EnCon), Kuching, Malaysia, 28–29 August 2019; pp. 52–58. [Google Scholar] [CrossRef]
- Yu, X.; Li, Y.; Yang, Q.; Zhang, C.; Liu, Y.; Gong, X. Research of harmonic effects on core loss in soft magnetic composite materials. IEEE Trans. Magn. 2019, 55, 6100305. [Google Scholar] [CrossRef]
- Brockhaus GmbH & Co. KG. MPG200 Measurement Device: Operating Manual; Brockhaus GmbH & Co. KG: Lüdenscheid, Germany, 2018. [Google Scholar]
- Najgebauer, M.; Gzieł, D.; Koprivica, B.; Rosić, M. The estimation of magnetic losses in composite cores excited by harmonic magnetic flux density waveforms. In Proceedings of the XVIII Symposium of Electromagnetic Phenomena in Nonlinear Circuits (EPNC2024), Portorož, Slovenia, 18–21 June 2024. [Google Scholar]
- Lavers, J.D.; Biringer, P.P. The effect of third harmonic flux on the core loss in a magnetic frequency multiplier. IEEE Trans. Magn. 1978, 14, 993–995. [Google Scholar] [CrossRef]
- Lavers, J.D.; Biringer, P.P.; Hollitscher, H. A simple method of estimating the minor loop hysteresis loss in thin laminations. IEEE Trans. Magn. 1978, 14, 386–388. [Google Scholar] [CrossRef]
- Culity, B.D.; Graham, C.D. Introduction to Magnetic Materials, 2nd ed.; John Wiley & Sons Inc.: Hoboken, NJ, USA, 2009. [Google Scholar] [CrossRef]
- Najgebauer, M. Application of fractional scaling in modelling of magnetic power losses. Acta Phys. Pol. A 2015, 128, 107–110. [Google Scholar] [CrossRef]
Disclaimer/Publisher’s Note: The statements, opinions and data contained in all publications are solely those of the individual author(s) and contributor(s) and not of MDPI and/or the editor(s). MDPI and/or the editor(s) disclaim responsibility for any injury to people or property resulting from any ideas, methods, instructions or products referred to in the content. |
© 2024 by the authors. Licensee MDPI, Basel, Switzerland. This article is an open access article distributed under the terms and conditions of the Creative Commons Attribution (CC BY) license (https://creativecommons.org/licenses/by/4.0/).
















