Abstract
This study aims to assess the thermal performance of silica sand as a heat storage medium within a shell-and-tube sensible heat storage thermal energy system that operates using water as the heat transfer fluid. Two types of silica sand were analyzed, fine sand and coarse sand, to determine which was the best for heat transfer and storage. It was found that the fine sand, which had smaller particles compared to the coarse sand, enhanced the heat transfer in the system. The fine sand required 11.86 h to charge using the benchmark case and 17.58 h to discharge, whereas the coarse sand required 13.36 h to charge and 16.55 h to discharge. Methods of enhancement are also explored by comparing the system performance with the inclusion of four different configurations of copper fins to investigate against a benchmark case without fins in the system with fine sand. When equipped with four radial fins, the system demonstrated a significant enhancement, reducing charging and discharging times by 59.02% and 69.17%, respectively, compared to the baseline. Moreover, the system exhibited an even greater improvement with eight radial fins, cutting charging and discharging times by 63.74% and 78.5%, respectively, surpassing the improvements achieved with four radial fins. The ten annular fins decreased the charging time by 42.58% and the discharge by 62.4%, whereas the twenty annular fins decreased the charging by 56.24% and the discharging by 68.26% when compared to the baseline.
1. Introduction
Renewable energy sources continue to trend upwards as society increasingly seeks sustainable alternatives to fossil fuels to mitigate environmental impacts and meet growing energy demands. Thermal energy storage (TES) plays a key role in applying renewable energy sources. It is commonly based on latent, thermochemical, and sensible heat storage techniques [1]. In latent heat thermal energy storage (LHTES) units, the energy storage medium is referred to as a phase change material (PCM). PCMs undergo a phase-change process, effectively storing or releasing energy as latent heat [2]. Thermochemical energy storage utilizes reversible chemical reactions to store and release energy [3]. Sensible heat storage materials (SHSMs) are described as materials that do not change phase throughout the storage procedure [4]. The sensible heat thermal energy storage (SHTES) system has the benefits of being simple in construction, having moderate thermal conductivity, and offering cheaper costs of storage media, namely, rocks, concrete, and sand. Despite its benefits, it is limited by a lower energy storage density, which means a larger storage device is required to store significant amounts of energy [5]. The extent of this work is limited to sensible heat-based thermal energy storage systems.
Mabrouk et al.’s [6] review focused on advances in sensible and latent heat storage through porous media. They compared SHTES and LHTES in terms of principles, advantages, materials, and applications. SHTES involves a temperature change, which is cost-effective and utilizes materials like water, rock, and concrete, whereas LHTES relies on phase change (solid/liquid), provides high storage density, and employs materials like paraffin and salt hydrates. SHTES is used in concentrated solar power (CSP), desalination, and building heating, while LHTES finds applications in building heating/cooling and industrial waste heat storage. Among the three primary categories of TES systems, sensible heat storage predominates in domestic-scale applications. This preference stems from the fact that SHSMs typically exhibit relatively higher thermal conductivities compared to PCMs, which allows for higher rates of heat transfer while charging and discharging [7]. Passive methods for enhancing LHTES systems, as discussed by Shank et al. [8], encompass several strategies. These strategies involve the integration of heat pipes, dispersion of conductive nanoparticles, and impregnation of porous matrices, as well as the utilization of extended surfaces/fins in the LHTES system. Khatod et al. [9] conducted a review of solar stills with SHSMs to find the best material for different types of solar still designs. Solid SHSMs were found to increase productivity by 48% compared to conventional solar stills, acting as an additional heat source. Sand was highlighted as an excellent SHSM due to its high heat capacity and porous structure. Reddy et al. [10] studied the thermal performance of SHTES systems experimentally. The goal was to compare the difference in SHTES and LHTES using similar storage materials. It was observed that the discharging time was higher in combined sensible and latent systems than in conventional SHTES systems. Lugolole et al. [7] experimentally compared three SHTES systems with different flow rates. Two packed storage systems using sunflower oil with pebbles were contrasted with a tank containing only oil. The small-pebble TES system resulted in a faster temperature rise rate and the highest charging energy and exergy rates, making it the most efficient. Kuravi et al. [11] developed a high-temperature TES system for central receivers of CSP plants. Utilizing air as the HTF and high-density bricks, they observed that increasing the mass flow rate decreased charging time. The study revealed performance differences between small storage units and large energy storage units, indicating optimal design and operating conditions for maximum thermal efficiency. Sorour [12] investigated a compact SHTES system utilizing gypsum rocks. Findings revealed a threshold for enhancing storage efficiency, influenced by the storage unit size. Mostafavi Tehrani et al. [13] compared the annual performances of single-medium thermocline, double-medium thermocline, and shell-and-tube systems with that of a conventional two-tank molten salt storage system. The use of concrete with a porosity of 0.2 was chosen due to the increased operational hours and energy absorption/storage, which can lead to higher annual electricity generation by the power cycle, up to 100% annually. Sharma et al. [14] experimentally studied the characterization of a SHTES system packed with pebbles. It was observed that even for low-thermal-conductivity materials like pebbles, the azimuthal variation in the temperature inside the SHTES system is negligible, but there is a variation of 25 °C in the axial direction. Rao et al. [15] studied the efficiency of a lab-scale SHTES system made of cast steel and concrete experimentally. The heat transfer rate during the storage or discharge period was much better in cast steel prototypes than the concrete prototypes because of the higher thermal conductivity of the cast steel. A study conducted by Tiskatine et al. [16] focused on the suitability and characteristics of rocks for SHTES in CSP plants experimentally. The findings of the study indicate that natural rocks are highly promising materials for large-scale CSP systems, particularly when air is used as the HTF. Prasad et al. [17] optimized a lab-scale solar thermal power plant SHTES prototype. Using a cylindrical unit with concrete, cast steel, cast iron, and embedded charging tubes, copper fins were added to improve the heat transfer within the concrete. Six fins provided an optimal charging time. Elouali et al. [18] discussed different physical models to numerically measure the thermal performance of packed beds for SHTES with air as the HTF. It was found that the thermal behavior of the packed beds was strongly affected by the mass velocity of the HTF, the solid particle diameter, and the porosity of the bed. Ozrahat et al. [19] experimentally investigated the thermal performance of the concrete column, which was designed to be used as a TES medium in the building structure. The result showed that the amount of heat needed for heating a flat can be controlled by airflow velocity and flow temperature. Vijayan et al. [20] analyzed a corrugated absorber plate solar air heater with and without a packed-bed SHTES. While the collector with a packed bed exhibited a lower temperature rise during peak sunshine, it extended operation for up to 4 h.
Zhang et al. [21] presented a prototype for high-temperature SHTES using solid graphite blocks with embedded tubes. The mass flow rate affected discharging power, emphasizing the significance of flow distribution in parallel tubes. Wang et al. [22] investigated concrete mixes for SHTES, focusing on cyclic temperature-dependent thermal conductivity and specific heat. Siliceous aggregate concrete with 72% aggregate content exhibited a 23–37% increase in thermal conductivity at elevated temperatures compared to conventional mixes. A higher water-to-cement ratio minimally affected thermal conductivity at elevated temperatures, with minimal impact on specific heat. Goker Türkakar [23] numerically studied solar air heaters with packed-bed SHTES devices. It was found that segmented beds resulted in significant improvements of 85% and 135% in thermal energy storage and stratification levels, respectively. Qui et al. [24] focused on the impact of climate warming and aeolian sand filling on the heat transfer characteristics of porous rock layers (PRLs) and the thermal state of the underlying permafrost. The study found that the natural convection of the closed PRL occurred only in winter and decreased with the sand-filling thickness. Under a warming scenario, the cooling performance of the PRL could offset the adverse impact of climate warming for the first 20 years. However, the long-term cooling performance of the PRL was found to diminish over time.
The review of existing literature on sensible heat thermal energy storage revealed a gap that this study addresses by focusing on the underexplored use of silica sand as a sensible heat storage material. While previous studies have investigated various sensible heat storage materials, few have comprehensively evaluated the performance of silica sand in such applications. This research is novel in its approach to improving the thermal performance of a SHTES system by utilizing both radial and annular fins while also examining the influence of silica sand particle size. A key innovation of this work is maintaining equivalent copper material usage across all fin configurations, ensuring that improvements in thermal efficiency are achieved without increasing material costs. The study introduces four distinct fin configurations—two radial and two annular—offering a new perspective on enhancing heat transfer in SHTES systems. By experimentally analyzing the impact of these fin designs and silica sand particle sizes on both charging and discharging processes, this work contributes valuable insights into optimizing sensible heat thermal energy storage systems performance for practical applications.
2. Materials and Methods
2.1. Apparatus and Experimental Methods
The SHTES system in this study comprises three primary components: a storage medium, a container, and a heat exchange mechanism. In the experimental setup, silica sand was employed as the storage medium, which included two variations: coarse sand and fine sand. A Mastersizer 2000 was used to analyze the particle size distribution of the fine and coarse sand, which is illustrated in Figure 1. The two specific silica sand particle sizes used in the experiments were selected because they were the types available and provided by the supplier for this study. These particle sizes represented the standard grades available from the supplier and were commonly used in commercial applications. While these two sizes may not cover the full spectrum of silica sand particles used in all potential applications, they are representative of the materials currently utilized in industry.
Figure 1.
Sand particle size distribution (A) and sand samples (B).
The container for the SHSM consisted of an acrylic tube measuring 30.58 cm (12 in.) in height and 19.05 cm (7.5 in.) in inner diameter. To encase the container, 2.54 cm (1 in.) thick foam insulation was applied to minimize the heat loss to the surrounding environment. The container top and bottom were sealed with 1.27 cm (0.5 in.) thick acrylic sheets affixed to the tube. A shell-and-tube configuration was chosen based on its ability to enhance heat transfer through fins, which significantly increased the surface area for conduction, improving the charging and discharging efficiency of the system. An overview of the experimental setup is depicted in Figure 2.
Figure 2.
(A) The experimental setup and (B) the thermocouple locations.
Water was used as the HTF, which was passed through a 2.54 cm (1 in.) diameter copper pipe placed in the center of the container. The central pipe ran through the entire height of the container and was 30.58 cm (12 in.) in length for all cases. The fins that were used in this study were made of copper and were attached to the central pipe. Copper was chosen for the construction of the central pipe and the fins due to its high thermal conductivity and ease of manufacturing.
To manage the charging and discharging operations of the system, two separate HTF flows were integrated into the SHTES system. For the charging phase, a 7-gallon (26.50 L) hot water reservoir was employed, featuring an immersion circulatory heater. This reservoir facilitated the pumping of HTF through a central copper pipe positioned at the center of the container. The HTF was heated to 70 °C before being redirected back to the hot water tank at a flow rate of 2 gallons per minute (7.57 L/min). Conversely, during the discharging process, a submersible pump was utilized to transfer the HTF from a 20-gallon (75.71 L) cold-water reservoir. This cold-water reservoir was cooled by an ActiveAQUA Hydroculture chiller with a power rating of 0.25 horsepower (186 watts) to 15 °C. The water temperature of 70 °C for charging and 15 °C for discharging was chosen to simulate realistic conditions for moderate-temperature HTFs used in applications such as solar water heating systems, domestic heating, and industrial waste heat recovery, where efficient heat storage and retrieval at moderate temperatures are required. This temperature was selected with safety in mind, keeping the water well below the boiling point to avoid any potential hazards during testing. Additionally, the acrylic container used in the setup has a safe operating temperature limit of 80 °C, which was well above the operating temperatures in our experiments to prevent any material degradation or failure. The HTF was circulated at a flow rate of 1 gallon per minute (3.78 L/min). The discharging process mirrored the charging process in most aspects, with the primary difference being the utilization of the chiller and the reduced HTF flow rate.
All experiments were conducted under controlled room conditions, maintaining a constant temperature of 21 °C as monitored by a digital indoor thermometer. To monitor the temperature within the silica sand, a total of nine K-type thermocouples were placed within the container. These thermocouples featured a 0.318 cm (0.125 in.) diameter, a stainless steel cover, and an uncertainty of ±0.5 °C. They were arranged in three vertical sets, evenly spaced around the central pipe. TC1, TC4, and TC7 were positioned 7.62 cm (3.0 in.) from the outer wall of the container. TC2, TC6, and TC8 were located 4.13 cm (1.625 in.) from the outer wall of the container, while TC3, TC6, and TC9 were situated at a depth of 0.66 cm (0.26 in.) inside the container. For visual reference, please consult Figure 2B to view the precise locations of these thermocouples within the container.
The temperature monitoring system utilized a combination of thermocouples and resistance temperature detectors (RTDs) connected to a National Instruments (NI) cDAQ-9188 data acquisition unit. This data acquisition unit was linked to a computer running NI LabVIEW software, which actively recorded temperature readings at 5 s intervals throughout the testing process. Additionally, thermal images were captured hourly during the initial six hours of the charging process to closely monitor the behavior of the SHSM. For thermal imaging, a Hti HT18 thermal camera was employed.
The charging tests initiate once the system has fully equilibrated with the ambient room temperature. Conversely, the discharging tests start promptly when the SHSM reaches a fully charged state, defined as the average of all thermocouple temperatures reaching 57 °C or above. The discharging phase concludes when all the thermocouple temperatures drop below the 25 °C threshold.
2.2. Fin Configurations
The fin configuration designs were based on a study performed by Tiari and Hockins [25]. Copper was chosen as the material for the fins and the central pipe due to its high thermal conductivity and compatibility with the selected temperature range. The study investigates the thermal characteristics of a latent heat thermal energy storage system with annular and radial fins.
The current study investigates the impact of four distinct fin configurations on the charging and discharging processes of the SHTES system. These configurations are compared to a benchmark case with no fins. Configurations 1a and 1b feature annular fins equidistant from each other and the container top and bottom, with a length of 4.0 cm, and with configuration 1a having ten fins and configuration 1b having twenty. Configuration 1a features fins with a thickness of 1.59 mm (1/16 inch), spaced 2.63 cm apart, whereas configuration 1b has fins with a thickness of 0.79 mm (1/32 inch), spaced 1.31 cm apart. Configuration 2a includes four radial fins, each positioned at a 90° angle around the central axis, with a thickness of 1.59 mm. Configuration 2b incorporates eight radial fins, arranged at a 45° angle around the central axis, with a thickness of 0.79 mm. The novelty lies in testing different fin configurations while maintaining the same amount of copper fin material, allowing for a comprehensive evaluation of their impact on the system thermal performance during charging and discharging processes. The specific dimensions for each fin configuration are provided in Table 1.
Table 1.
The dimensions of the radial and annular fin configurations.
Two radial and two annular fin configurations were examined in the charging and discharging processes of the system. The length of the uniform fins, including one configuration with four fins and another with eight fins, remains constant along the length of the container. The radial and annular fin configurations are illustrated in Figure 3. In the annular fins (ten and twenty fins), there is an even distribution, where they are equidistant from each other as well as from both the top and bottom of the container. The objective of this experiment is to evaluate the effectiveness of four fin configurations. This evaluation is carried out by comparing the durations required for charging and discharging the SHTES system. Each of the four fin configurations employs an equal quantity of copper. This equalization is accomplished by reducing the thickness of the twenty fins in comparison to the ten fins and by reducing the thickness of eight fins in comparison to four fins, thus ensuring that both configurations contain an equivalent copper content.
Figure 3.
The radial and annular fin configurations.
2.3. Error Evaluation
The process of evaluating errors is intended to determine the extent of uncertainty associated with data acquisition. In this study, the thermocouples exhibit a measurement uncertainty of approximately ±0.5 °C [26]. The RTDs exhibit an accuracy of ±0.29 °C at 70 °C and ±0.18 °C at 15 °C (Omega. “RTD Probe with Insulated Wire and Shrink-Tube Support”, 2023) [27]. Similarly, the flow meter and thermal imaging camera have accuracies of ±2% [28] and ±2 °C [29] respectively. In the process of computing thermal power, shown in Equation (1), factors in crucial variables include the mass flow rate of the HTF, the specific heat of water (cp), and the temperature difference gauged by RTDs positioned at the inlet and outlet of the HTF within the sand container. Assessing the level of uncertainty in this thermal power determination involves the utilization of Equation (2), derived from the work of Moffat [30]. The experimental uncertainty in the calculated thermal power, as per Equation (2), is found to be 8.2%.
3. Results and Discussion
3.1. Benchmark Case
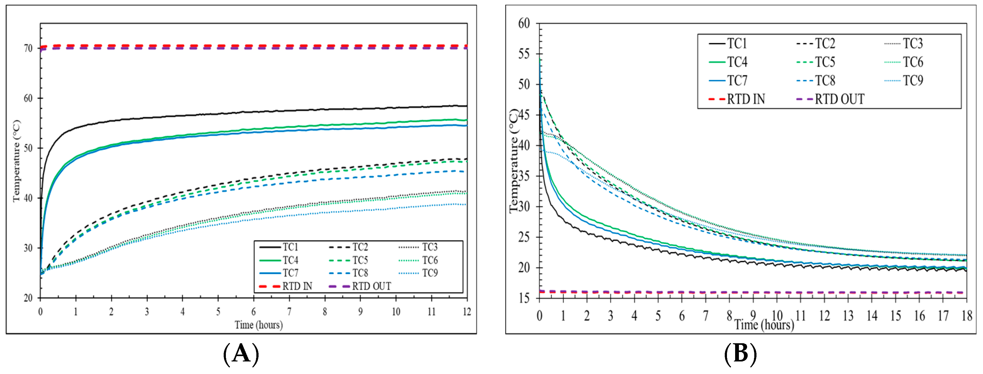
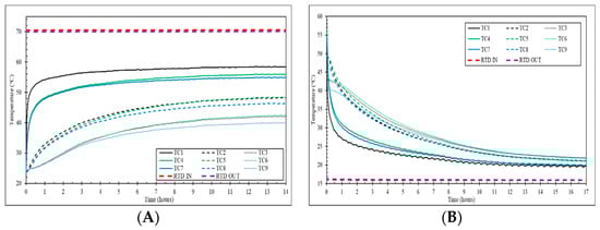
A benchmark case with no fins was run as a baseline for the charging and discharging processes. The coarse and fine sand temperature distribution during the charging and discharging of the benchmark case is illustrated in Figure 4 and Figure 5, respectively. The benchmark case with coarse sand requires 13.36 h to fully charge and 16.55 h to discharge. Charging tests are run when the SHSM is in equivalence with room temperature (21 °C), and the HTF is circulated at about 70 °C and 7.57 L/min (2 GPM). Discharging tests are started directly after the system is fully charged, and the HTF is circulated at 15 °C and 3.79 L/min (1 GPM). The discharging process is considered complete when all the thermocouple temperatures fall below 25 °C.
Figure 4.
SHSM temperature distribution during benchmark (A) charging and (B) discharging tests (coarse sand).
Figure 5.
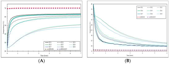
Temperature distribution during benchmark (A) charging and (B) discharging tests (fine sand).
In the initial hour of the coarse sand experiment, a noticeable heat transfer rate occurs near the central pipe (TC1, TC4, and TC7), as depicted in Figure 4A. During this period, the temperature of sand rapidly increases and then gradually plateaus. This trend is particularly evident in TC1, which continues to rise at a consistent rate even after 5 h. Conversely, the rate of temperature increase in TC4 and TC7 becomes more gradual over time.
The thermocouples TC1, TC4, and TC7 exhibited a temperature increase and then plateaued; this is due to the fact that they are located closest to the central pipe that is carrying the HTF. This behavior is consistent across various other thermocouples. The thermocouples positioned between the HTF pipe and the container wall (TC2, TC6, TC8, TC3, TC5, and TC9) register temperature increases following a similar pattern. Notably, TC1, TC4, and TC7 are located directly across but at different depths from TC3, TC6, and TC9 within the container. As a result, the temperature distribution of the SHSM becomes apparent as these paired thermocouples exhibit similar temperature trends throughout the experiment.
Similarly, during the discharging cycle, the thermocouples closer to the HTF (TC1, TC4, and TC7) experienced a drastic temperature change before stabilizing. Although the thermocouples that were placed further away from the HTF did experience a temperature change before stabilizing, it took longer due to their position to the HTF.
Around four hours into the test, the initial rapid temperature increase observed in the thermocouples at the bottom of the container started to slow down. This deceleration in temperature rise corresponded to a reduction in the temperature difference between the HTF and SHSM. This change can be attributed to the diminishing efficiency of thermal conduction through the SHSM, which subsequently affects the charging process. Ultimately, the thermocouples closest to the central pipe (TC1, TC4, and TC7) register a noticeable temperature difference due to their proximity to the heated HTF.
Figure 5A illustrates that the temperature of fine sand rapidly increases within the first hour of the experiment near the central pipe (TC1, TC4, and TC7), indicating significant heat transfer through SHSM. After 6 h, TC1 shows a consistent temperature increase, while TC4 and TC7 experience a gradual temperature rise. This observation suggests that the thermocouples closer to the HTF will experience a greater initial temperature increase before stabilizing, whereas the thermocouples further from the HTF experience a gradual temperature increase before stabilizing. Similar trends are observed in other thermocouples as well. The temperature rises in the thermocouples located the furthest from the heat transfer fluid (HTF) pipe and the container wall (TC2, TC6, TC8, TC3, TC5, TC9) follow the same pattern as the ones located in the vicinity of the central pipe. The initial rapid temperature rise observed in the thermocouples located at the bottom of the container slows down after 5 h of the experiment. The decrease in temperature difference between the HTF and SHSM reduces the rate of heat transfer, slowing down the charging process due to slow thermal conduction through the SHSM. As a result, the temperature of the thermocouples in closer proximity to the outer surface of the container (TC3, TC6, and TC9) eventually rises. This case required 11.86 h to fully charge and 17.58 h to discharge.
In this study, motivation was drawn from the findings in energy storage research, and Figure 6 served as a valuable reference point for the decision-making process. As a result, the focus was placed on enhancing the performance of the SHTES system by using fine sand with various fin configurations. This decision aligns with the goal of contributing valuable insights into the field and sharing the findings in this work.
Figure 6.
Thermal power supplied to fine and coarse sand while charging at benchmark.
3.2. Annular Fin Configuration
The incorporation of fins, regardless of their type, has proven to be a substantial enhancement to the heat transfer processes within the SHTES system [29]. Fins play a pivotal role in expediting both the charging and discharging phases of the SHTES system. The primary mechanism through which fins contribute to this enhancement is by significantly increasing the heat transfer rate to and from the SHSM. Fins achieve this by providing a larger surface area for conduction and penetrating deeper into the SHSM, even in regions distant from the central pipe. This enhanced heat transfer rate facilitates a faster and more extensive charging process with a more uniform temperature distribution within the container.
During the discharging phase, fins help to facilitate the transfer of thermal energy from the hot SHSM, particularly the sand situated far from the central HTF pipe. This transfer accelerates the overall discharging of the SHSM. In summary, the addition of annular fins serves as a substantial catalyst for increasing the heat transfer rate to and from the SHSM, expediting both the charging and discharging cycles. Table 2 provides data about the durations required for charging and discharging the configuration assisted with ten and twenty annular fins.
Table 2.
The total charging and discharging durations for annular configurations, with a percentage decrease compared to the benchmark case.
3.2.1. Ten-Annular-Fin Configuration
In the case of the 10-fin configuration, the acceleration exceeded 42.58%. Fins are essential for allowing thermal energy to circulate deeper within the sand, even in areas that are far from the central pipe. This deep penetration increases the total heat transfer rate, which enables faster charging and discharging. Fins achieve this by increasing the interfacial surface area available for conducting heat and lowering the thermal resistance between the central pipe and the storage medium.
The inclusion of annular fins notably amplified the heat transfer rate, reducing the time required for both the charging and discharging cycles to reach completion. The 10-fin configuration demonstrated an impressive 42.58% reduction in charging time, completing the process in just 6.81 h compared to the benchmark case. The thermal images of the SHSM for the 10-fin configuration can be seen in Figure 7.
Figure 7.
Thermal images taken during the charging of the system assisted by ten annular fins.
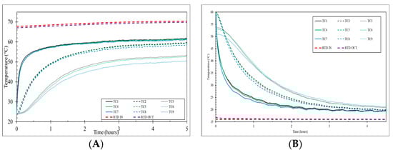
During the initial two hours of the charging cycle, as depicted in Figure 7, these fins significantly elevated the temperature of the sand. This temperature increase was observed sequentially, with the sand nearest to the central pipe (TC1, TC4, and TC7) experiencing the initial rise. Subsequently, the sand located at the center of the container (TC2, TC5, TC8) followed, and finally, the sand closest to the outer wall (TC3, TC6, and TC9) exhibited an increase in temperature. The temporal evolution of the sand temperature during the charging process in configuration 1a is further clarified in Figure 8A.
Figure 8.
Sand temperature distribution during (A) charging and (B) discharging tests of the case assisted by 10 annular fins.
The 10-fin configuration significantly improved the total discharging process when compared to the benchmark case, reducing its duration by a remarkable 62.40% and completing the process in just 6.61 h. The discharging process, as illustrated in Figure 8B, exhibited behavior similar to that of the benchmark but with a considerably shorter duration. Notably, in this scenario, the temperature of the sand near the central pipe exhibited a significant decrease compared to the benchmark case.
3.2.2. Twenty-Annular-Fin Configuration
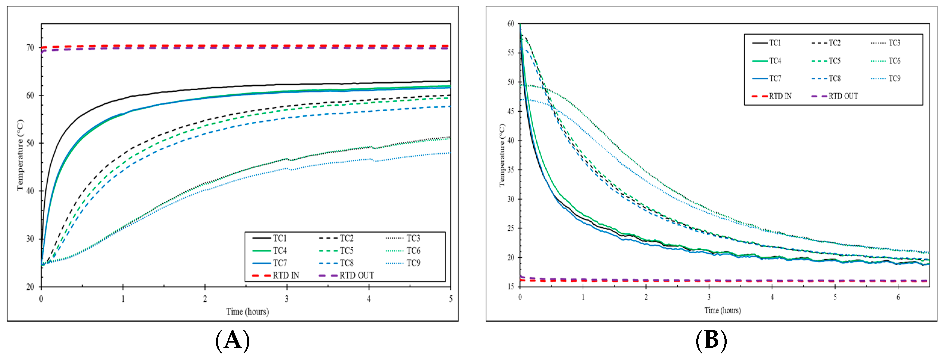
The 20-fin configuration, featuring 20 uniform-length annular fins, demonstrates a noteworthy enhancement when compared to the benchmark case. Charging the system to full capacity required 5.19 h, marking a remarkable 56.24% reduction in time compared to the benchmark case. Similarly, during the discharging process, completion was achieved in 5.58 h, translating to a 68.26% reduction in time compared to the benchmark.
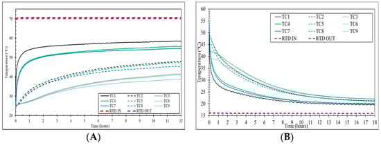
In Figure 9A, we can observe that the temperature distribution of sand for the configuration 1b during the charging process closely resembles that of configuration 1a, albeit with a quicker response owing to the increased interfacial surface area due to the higher number of fins. In this figure, it is notable that all thermocouples positioned near the fins reach the temperature plateau within the initial hour of charging, while those located farthest from the heat transfer surface require more time to attain the final temperature. This same pattern is observed during the discharging process, as depicted in Figure 9B.
Figure 9.
The recorded temperature data for the configuration with 20 annular fins during (A) charging and (B) discharging.
For a more comprehensive view of the thermal behavior of the system, the thermal images taken during the charging process for configuration with 20 annular fins are illustrated in Figure 10.
Figure 10.
Thermal images taken during the charging of the system assisted by twenty annular fins.
3.3. Radial Fin Configurations
Table 3 presents data related to the charging and discharging processes of the cases assisted with the radial fin configurations. The table includes the percentage reduction in time compared to the benchmark case for reference. The incorporation of radial fins notably reduced the charging and discharging time for the system. Nevertheless, the inclusion of radial fins effectively increased the interfacial surface area and thermal penetration between the HTF and SHSM, resulting in reduced charging and discharging times when compared to the benchmark.
Table 3.
The total charging and discharging durations for radial configurations, with a percentage decrease compared to the benchmark case.
3.3.1. Four-Radial-Fin Configuration
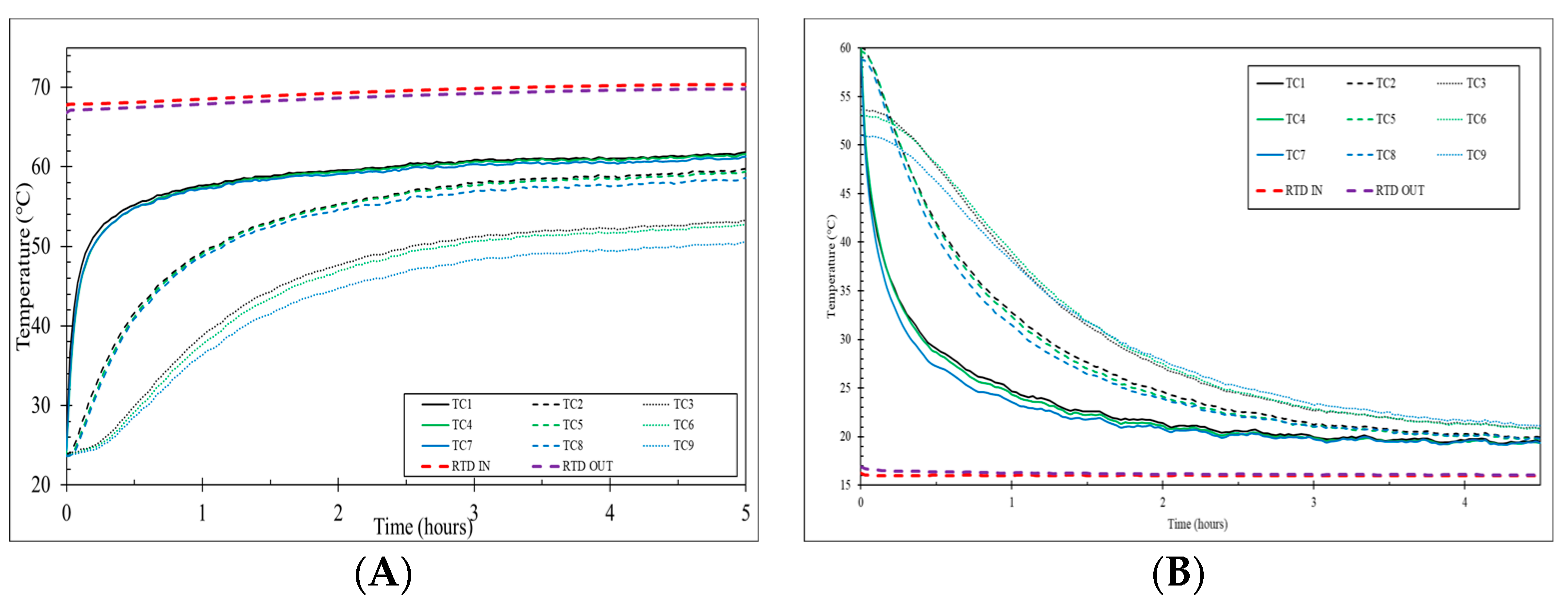
Among the four configurations examined, the use of radial fins yielded the most significant reductions in both charging and discharging times compared to configurations with annular fins. The four-radial-fin configuration, for instance, requires 4.86 h for a full charge and 5.42 h for a complete discharge. This configuration demonstrates a remarkable 59.02% reduction in charging time and a 69.17% decrease in discharging time compared to the benchmark case.
To further illustrate these findings, Figure 11 depicts the temperature distribution within the SHSM during both the charging and discharging processes of configuration with four radial fins. In Figure 11A, during the charging process, the temperature behavior in the four-radial-fin configuration closely mirrors that of the benchmark case but with a shorter time required for complete charging. Notably, TC1 experiences an initial temperature increase before TC4 and TC7, a pattern consistent across all the finned configurations.
Figure 11.
Measured temperatures for the configuration with four radial fins during (A) charging and (B) discharging.
These results underscore the efficacy of radial fins in enhancing thermal performance and expediting energy storage and release processes in the system. The thermal pictures of the system for configuration with four radial fins can be seen in Figure 12.
Figure 12.
Thermal images taken during the charging of the case assisted with four radial fins.
3.3.2. Eight-Radial-Fin Configuration
As observed in the cases involving four radial fins, the utilization of eight radial fins proves to be more efficient in both charging and discharging processes. The subsequent section dives into the temperature distributions within the SHSM for these fin configurations.
Prior research has established that increasing the number of fins while maintaining consistent geometry, fin material volume, and fin length leads to a reduction in both charging and discharging times [28]. This reduction can be achieved by decreasing the fin thickness while simultaneously increasing the fin count. In both scenarios discussed, where the number of fins is increased while preserving the volume of copper and the length, a reduction in both charging and discharging times is observed, thus corroborating the earlier findings.
In the eight-radial-fin configuration, the complete charging cycle requires 4.30 h, while the discharge cycle only requires 3.78 h. These times represent a substantial improvement when compared to the benchmark case, with charging and discharging durations reduced by 63.74% and 78.50%, respectively. Figure 13 illustrates the SHSM temperature distribution during both the charging and discharging phases of configuration with eight radial fins.
Figure 13.
Measured temperatures for the configuration with eight radial fins during (A) charging and (B) discharging.
Interestingly, the thermal behavior of the SHSM in this configuration closely resembles that of configuration with four radial fins. However, it is noteworthy that the configuration with eight radial fins requires less time to reach full charge and discharge. For a visual representation of the thermal characteristics of the configuration with eight radial fins, refer to the thermal images of the system displayed in Figure 14.
Figure 14.
Thermal images taken during the charging of the system assisted by eight radial fins.
The configurations featuring fins demonstrated notable improvements in both charging and discharging when compared to the benchmark case. A distinct trend emerges when employing uniform fins as opposed to the benchmark case: a consistent reduction in total times for both charging and discharging processes. Notably, the 2b configuration outperformed others when considering the combined total times for charging and discharging processes. A comprehensive comparison of all cases for charging, discharging, and total time can be found in Figure 15.
Figure 15.
Comparison of all cases in charging, discharging, and total time.
3.4. System Energy Response
Evaluating the energy response of the system serves as a crucial validation step for analyzing the charging and discharging processes. To determine the thermal power transferred to or from the system (denoted as ), Equation (1) is employed. In this equation, represents the mass flow rate of the HTF (in this case, water) through the central pipe, cp is the specific heat of water, and ∆T is the temperature difference between the inlet and outlet of the heat transfer fluid as measured by the RTDs.
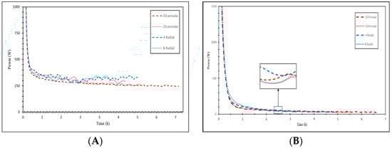
In the case of finned configurations, as depicted in Figure 16A,B, a notable trend is observed where an increase in the number of fins, both in the annular and radial designs, enhances the power supply to the system during the charging process. The presence of fins results in significantly higher initial heat transfer rates at the commencement of charging and discharging operations. This facilitates quicker charging and discharging of the system. The finned setups deliver a greater amount of thermal power to the sand within the initial hours of the charging process compared to the benchmark. In Figure 16A, it is evident that eight-radial-fin configuration, which achieved the quickest charging time, absorbs more thermal energy within the first hour when compared to all other configurations. This behavior is also observed during the discharging process of configuration 2b, where it releases a larger amount of thermal energy within the first two hours, resulting in the shortest discharging duration, as demonstrated in Figure 16B.
Figure 16.
Average thermal power (A) provided to the sand during the charging of the finned configurations and (B) extracted from the sand during the discharging.
4. Conclusions
This experimental study evaluated the thermal performance of a silica sand-based sensible heat thermal energy storage system enhanced by fins. By comparing various fin configurations and silica sand particle sizes, the study demonstrated significant improvements in heat transfer, particularly with fine sand and radial fin designs. Two sand particle sizes, fine and coarse, were first explored to determine the optimal SHSM for the system. It was found that the fine sand took 11.86 h to charge and 17.58 h to discharge, while the coarse sand took 13.36 h to charge and 16.55 h to discharge. Based on the energy chart, the fine sand had a higher energy storage rate. Four distinct fin configurations were tested, encompassing scenarios with ten annular fins, twenty annular fins, four radial fins, and eight radial fins. All fin configurations were designed to maintain the same amount of copper material. The most effective configuration, featuring eight radial fins, reduced charging and discharging times by 63.74% and 78.50%, respectively, when compared to the baseline case without fins. In terms of practical applicability, the findings from this research hold promise for enhancing energy storage systems in applications focused on energy efficiency, especially in renewable energy sectors such as concentrated solar power and industrial waste heat recovery. The use of silica sand as a storage medium provides a cost-effective and abundant alternative to other heat storage materials, making this system suitable for large-scale thermal storage needs where economic and material efficiency are critical. The advantages of the proposed system lie in its simplicity, cost-effectiveness, and ability to improve thermal performance through fin enhancements. However, certain limitations must be considered. While the radial fin configurations significantly improve the system’s charging and discharging times, the overall energy storage density of the silica sand remains lower compared to that of latent heat systems, which may limit its use in applications where space is a critical constraint. Future challenges involve scaling this system for commercial use while maintaining or improving performance. Further studies should explore optimizing the fin designs for larger-scale systems and testing under different operational conditions to ensure versatility and adaptability in real-world scenarios. Additionally, the effect of repeated heating and cooling cycles on heat transfer efficiency, long-term durability, and maintenance requirements for the fins and sand should be thoroughly investigated.
Author Contributions
Conceptualization, S.T. and H.T.; methodology, S.T.; software, P.N.; validation, P.N. and C.R.; formal analysis, P.N. and C.R.; investigation, P.N. and C.R.; resources, S.T. and H.T.; data curation, P.N. and C.R.; writing—original draft preparation, C.R. and P.N.; writing—review and editing, S.T. and H.T.; visualization, C.R. and P.N.; supervision, S.T.; project administration, S.T.; funding acquisition, S.T. All authors have read and agreed to the published version of the manuscript.
Funding
This research received no external funding.
Data Availability Statement
The raw data supporting the conclusions of this article will be made available by the authors on request.
Acknowledgments
The authors would like to thank Gannon University for the support of this project.
Conflicts of Interest
The authors declare no conflicts of interest.
References
- Gautam, A.; Saini, R. A review on sensible heat based packed bed solar thermal energy storage system for low temperature applications. Sol. Energy 2020, 207, 937–956. [Google Scholar] [CrossRef]
- Shank, K.; Tiari, S. Computational thermal analysis of a latent heat storage unit augmented with porous fins. Case Stud. Therm. Eng. 2023, 49, 103383. [Google Scholar] [CrossRef]
- Shank, K.; Tiari, S. A Review on Active Heat Transfer Enhancement Techniques within Latent Heat Thermal Energy Storage Systems. Energies 2023, 16, 4165. [Google Scholar] [CrossRef]
- Fernandez, A.I.; Martínez, M.; Segarra, M.; Martorell, I.; Cabeza, L.F. Selection of materials with potential in sensible thermal energy storage. Sol. Energy Mater. Sol. Cells 2010, 94, 1723–1729. [Google Scholar] [CrossRef]
- Suresh, C.; Saini, R.P. Thermal performance of sensible and latent heat thermal energy storage systems. Int. J. Energy Res. 2020, 44, 4743–4758. [Google Scholar] [CrossRef]
- Mabrouk, R.; Naji, H.; Benim, A.C.; Dhahri, H. A State of the Art Review on Sensible and Latent Heat Thermal Energy Storage Processes in Porous Media: Mesoscopic Simulation. Appl. Sci. 2022, 12, 6995. [Google Scholar] [CrossRef]
- Lugolole, R.; Mawire, A.; Lentswe, K.; Okello, D.; Nyeinga, K. Thermal performance comparison of three sensible heat thermal energy storage systems during charging cycles. Sustain. Energy Technol. Assess. 2018, 30, 37–51. [Google Scholar] [CrossRef]
- Shank, K.; Bernat, J.; Justice, Q.; Niksiar, P.; Tiari, S. Experimental study of a latent heat thermal energy storage system assisted by variable-length radial fins. J. Energy Storage 2023, 68, 107692. [Google Scholar] [CrossRef]
- Khatod, K.J.; Katekar, V.P.; Deshmukh, S.S. An evaluation for the optimal sensible heat storage material for maximizing solar still productivity: A state-of-the-art review. J. Energy Storage 2022, 50, 104622. [Google Scholar] [CrossRef]
- Chandra Sekhara Reddy, M. (Ed.) Volume 1: Aerospace Heat Transfer; Computational Heat Transfer; Education; Environmental Heat Transfer; Fire and Combustion Systems; Gas Turbine Heat Transfer; Heat Transfer in Electronic Equipment; Heat Transfer in Energy Systems. In Proceedings of the ASME 2017 Heat Transfer Summer Conference, Bellevue, WA, USA, 8–11 July 2017; American Society of Mechanical Engineers: New York, NY, USA, 2017; Volume 1, p. 07092017. [Google Scholar]
- Kuravi, S.; Trahan, J.; Goswami, Y.; Jotshi, C.; Stefanakos, E.; Goel, N. Investigation of a High-Temperature Packed-Bed Sensible Heat Thermal Energy Storage System With Large-Sized Elements. J. Sol. Energy Eng. 2016, 135, 041008. [Google Scholar] [CrossRef]
- Sorour, M. Performance of a small sensible heat energy storage unit. Energy Convers. Manag. 1988, 28, 211–217. [Google Scholar] [CrossRef]
- Tehrani, S.S.M.; Shoraka, Y.; Taylor, R.A.; Menictas, C. Performance Analysis of High Temperature Sensible Heat Thermal Energy Storage Systems for Concentrated Solar Thermal Power Plants. In Proceedings of the ASME 2017 Heat Transfer Summer Conference, American Society of Mechanical Engineers Digital Collection, Bellevue, WA, USA, 9–12 July 2017. [Google Scholar] [CrossRef]
- Sharma, P.; Kshetrimayum, C.; A Faruqui, T.; Chauhan, A.; Kumar, P. Experimental characterization of a Sensible Heat Thermal Energy Storage using pebbles for charging. IOP Conf. Ser. Mater. Sci. Eng. 2020, 912, 042063. [Google Scholar] [CrossRef]
- Rao, C.R.C.; Niyas, H.; Muthukumar, P. Performance tests on lab–scale sensible heat storage prototypes. Appl. Therm. Eng. 2018, 129, 953–967. [Google Scholar] [CrossRef]
- Tiskatine, R.; Oaddi, R.; El Cadi, R.A.; Bazgaou, A.; Bouirden, L.; Aharoune, A.; Ihlal, A. Suitability and characteristics of rocks for sensible heat storage in CSP plants. Sol. Energy Mater. Sol. Cells 2017, 169, 245–257. [Google Scholar] [CrossRef]
- Prasad, L.; Muthukumar, P. Design and optimization of lab-scale sensible heat storage prototype for solar thermal power plant application. Sol. Energy 2013, 97, 217–229. [Google Scholar] [CrossRef]
- Elouali, A.; Kousksou, T.; El Rhafiki, T.; Hamdaoui, S.; Mahdaoui, M.; Allouhi, A.; Zeraouli, Y. Physical models for packed bed: Sensible heat storage systems. J. Energy Storage 2019, 23, 69–78. [Google Scholar] [CrossRef]
- Özrahat, E.; Ünalan, S. Thermal performance of a concrete column as a sensible thermal energy storage medium and a heater. Renew. Energy 2017, 111, 561–579. [Google Scholar] [CrossRef]
- Vijayan, S.; Arjunan, T.; Kumar, A.; Matheswaran, M. Experimental and thermal performance investigations on sensible storage based solar air heater. J. Energy Storage 2020, 31, 101620. [Google Scholar] [CrossRef]
- Zhang, L.; Qiao, L.; Wang, E.; Guan, C.; Fan, L.; Yu, Z. Thermal performance of a novel high-temperature sensible heat thermal storage steam generation system using solid graphite as material. J. Energy Storage 2023, 64, 107204. [Google Scholar] [CrossRef]
- Wang, S.; Abdulridha, A.; Naito, C.; Quiel, S.; Suleiman, M.; Romero, C.; Neti, S. Enhancement of conventional concrete mix designs for sensible thermal energy storage applications. J. Energy Storage 2023, 61, 106735. [Google Scholar] [CrossRef]
- Türkakar, G. Performance analysis and optimal charging time investigation of solar air heater with packed bed sensible heat storage device. Sol. Energy 2021, 224, 718–729. [Google Scholar] [CrossRef]
- Qiu, K.; Huang, Y.; Han, F.; Yang, Q.; Yu, W.; Cheng, L.; Cao, H. Numerical Simulation of Heat Transfer of Porous Rock Layers in Cold Sandy Regions. Atmosphere 2023, 14, 1812. [Google Scholar] [CrossRef]
- Tiari, S.; Hockins, A. An experimental study on the effect of annular and radial fins on thermal performance of a latent heat thermal energy storage unit. J. Energy Storage 2021, 44, 103541. [Google Scholar] [CrossRef]
- Thermocouple Probes with PFA Insulated Lead Wire|Omega. Available online: https://www.omega.com/en-us/temperaturemeasurement/temperature-probes/probes-with-lead-wires/tj36-icin/p/TJ36-CASS-18G-6-BX (accessed on 11 March 2024).
- RTD Probe with Insulated Wire and Shrink-Tube Support. Available online: https://www.omega.com/en-us/temperature-measurement/temperatureprobes/probes-with-lead-wires/pr-10/p/PR-10E-3-100-1-4-4 (accessed on 11 March 2024).
- F-1000-Blue-White Industries. Available online: https://www.blue-white.com/product/f-1000-digital-paddlewheel-flow-meter/ (accessed on 11 March 2024).
- “HT-18 Thermal Imager (220 × 160),” Hti. Available online: https://hti-instrument.com/products/ht18-thermal-imager (accessed on 11 March 2024).
- Moffat, R.J. Describing the uncertainties in experimental results. Exp. Therm. Fluid Sci. 1988, 1, 3–17. [Google Scholar] [CrossRef]
Disclaimer/Publisher’s Note: The statements, opinions and data contained in all publications are solely those of the individual author(s) and contributor(s) and not of MDPI and/or the editor(s). MDPI and/or the editor(s) disclaim responsibility for any injury to people or property resulting from any ideas, methods, instructions or products referred to in the content. |
© 2024 by the authors. Licensee MDPI, Basel, Switzerland. This article is an open access article distributed under the terms and conditions of the Creative Commons Attribution (CC BY) license (https://creativecommons.org/licenses/by/4.0/).















